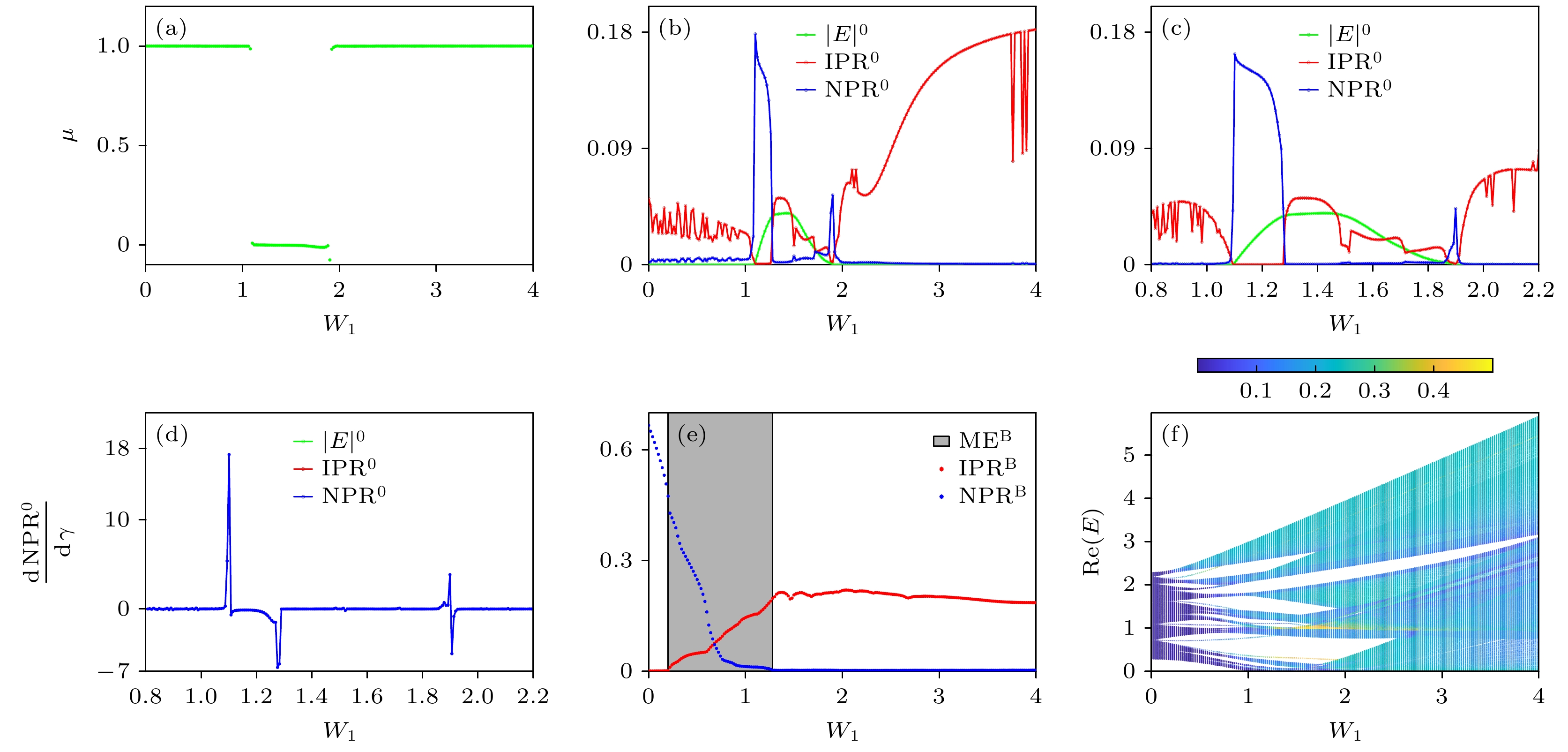
The localization is one of the active and fundamental research areas in topology physics. In this field, a comprehensive understanding of how wave functions distribute within a system is crucial. This work delves into this topic by proposing a novel systematic method based on a generalized Su-Schrieffer-Heeger (SSH) model. This model incorporates a quasiperiodic non-Hermitian term that appears at an off-diagonal position, adding a layer of complexity to the traditional SSH framework.By utilizing this model, we analyze the localization behaviors of both bulk state and edge state. For the bulk states, the analysis reveals a fascinating transition sequence. Specifically, the bulk states can undergo an extended-coexisting-localized-coexisting-localized transition, which is induced by the introduction of quasidisorder. This transition is not arbitrary but is rather conformed by the inverse participation ratio (IPR), a metric that quantifies the degree of localization of a wave function. As quasidisorder increases, the bulk states initially remain extended, but gradually, some states begin to be localized. A coexistence region appears where both extended and localized states are present. Further increase in quasidisorder leads to a complete localization of all bulk states. However, remarkably, within a certain range of quasidisorder strengths, the localized states can once again transition back to an extended state, creating another coexistence region. This complex behavior demonstrates the rich and diverse localization properties of the bulk states in non-Hermitian quasiperiodic systems.In addition to the IPR, other metrics such as the normalized participation ratio (NPR) and the fractal dimension of the eigenstates also play important roles in characterizing the localization behavior. These metrics provide a more in-depth understanding of the transition process and help to confirm the existence of the coexistence regions.Overall, we comprehensively analyze the localization behaviors of bulk and edge states in non-Hermitian quasiperiodic systems based on a generalized SSH model. The proposed systematic method present new insights into the complex interplay between quasidisorder, non-Hermiticity, and localization properties in topological physics.