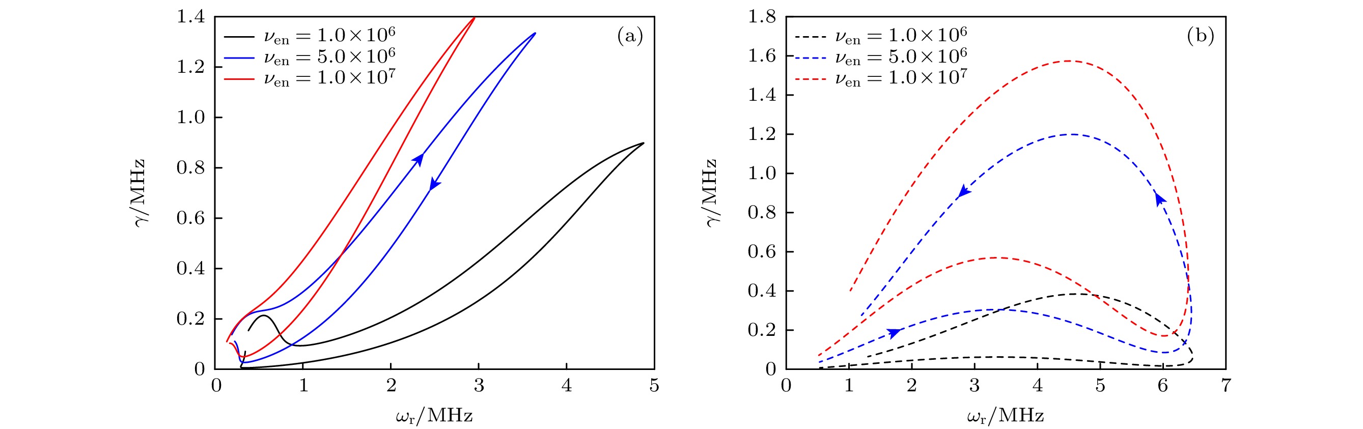
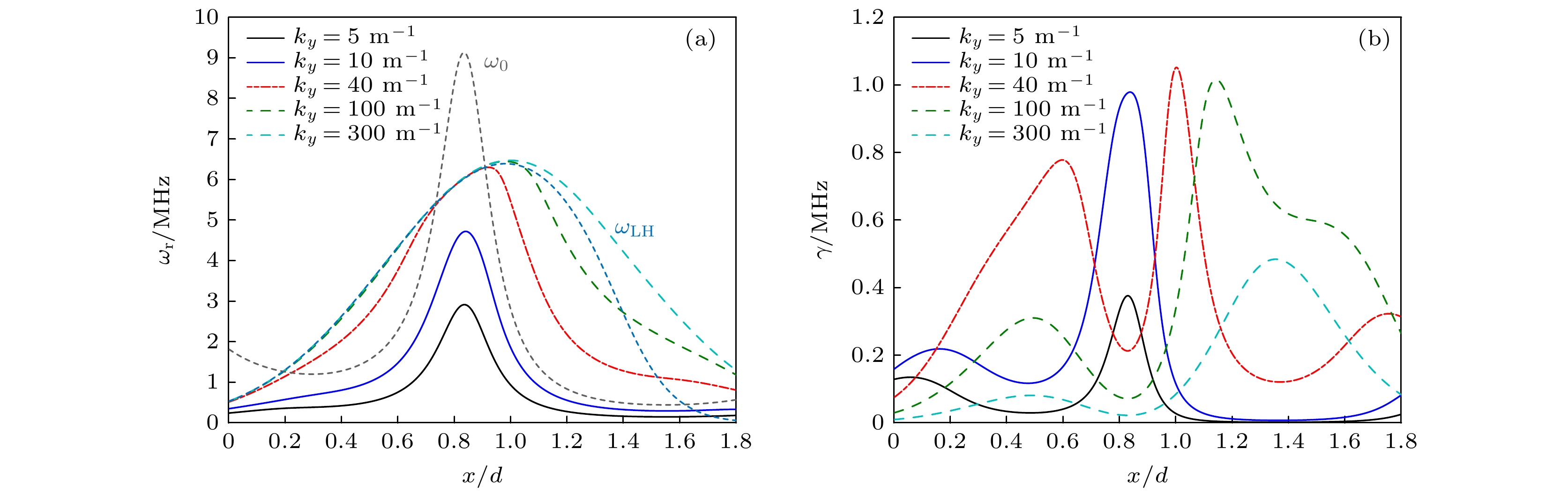
The free energy contained in electron drift, electron collision, and plasma density gradient, temperature, magnetic field gradient can trigger off the instabilities with different frequencies and wavelengths in hall thrusters. The instabilities will destroy the stable discharge of plasma, affecting the matching degree between the thruster and the power processing unit, and reducing the performance of the thruster. Based on this, the instabilities triggered off by electron collision, plasma density gradient, and magnetic field gradient in the hall thruster are studied by using dispersion relation derived from the fluid model. The results are shown below. 1) When in the model includes the effects of electron inertia, collision between electrons and neutral atoms, and electron drift, instability can be excited at any axial position from the near anode region to the plume region of the thruster. With the increase of azimuthal wavenumber ${k_y} = 2\pi /\lambda $, the lower-hybrid mode excited by electron collision transitions into the ion sound mode, where ${k_y} = 2{\text{π }}/\lambda $, $\lambda $being the wave length. The real frequency ${\omega _{\text{r}}}$ corresponding to the maximum growth rate ${\gamma _{\max }}$ slightly decreases with collision frequency increasing for ${k_y} = 10{\text{ }}{{\text{ m}}^{ - 1}}$. However, the maximum real frequency and real frequency ${\omega _{\text{r}}}$ corresponding to the maximum growth rate ${k_y} = 300{{\text{ m}}^{ - 1}}$ will not change with collision frequency for ${k_y} = 300{\text{ }}{{\text{ m}}^{ - 1}}$. Independent of the value of ${k_y}$, the growth rate of mode triggered off by electron collision increases with collision frequency increasing. 2) The plasma density gradient effect plays a dominant role in triggering off instabilities when the electron inertia, electron-neutral collisions and plasma density gradient are simultaneously included in the model. The dynamic behavior of the model does not change with the increase of ${k_y}$, but the eigenvalue of the model increases with the ${k_y}$ increasing. Since the sign of anti-drift frequency induced by the plasma density gradient is changed, the mode eigenvalues have the opposite change trend on both sides of point ${\kappa _{\text{N}}}$. When the sign of ${\omega _r}$ and ${\omega _r}$ are opposite, the density gradient effect has a stabilization effect on instability excitation (${\kappa _{\text{N}}} > 0$). When the sign of ${\omega _{\text{s}}}$ and ${\omega _{\text{r}}}$ are the same, the density gradient effect enhances the excitation of instability (${\kappa _{\text{N}}} < 0$). 3) If the plasma density gradient, magnetic field gradient, electron inertia and electron-neutral collisions are included in the dispersion, the mode eigenvalue relies on the electron drift frequency, and the diamagnetic drift frequency induced by the density gradient and magnetic field gradient. When the density gradient effect and the magnetic field gradient effect are considered, there is a stable window in the discharge channel. However, if the electron inertia and electron-neutral collisions are also included, the stable window will disappear.