搜索

x

留言板

姓名
邮箱
手机号码
标题
留言内容
验证码

引用本文:
Citation:

刘铭婕, 田亚莉, 王瑜, 李晓筱, 和小虎, 宫廷, 孙小聪, 郭古青, 邱选兵, 李传亮
cstr: 32037.14.aps.74.20241435

Calculation of $ {\mathrm{O}}^ -_2 $ spectroscopic constants with spin-orbit coupling

LIU Mingjie, TIAN Yali, WANG Yu, LI Xiaoxiao, HE Xiaohu, GONG Ting, SUN Xiaocong, GUO Guqing, QIU Xuanbing, LI Chuanliang
cstr: 32037.14.aps.74.20241435
科大讯飞翻译 (iFLYTEK Translation)
PDF
HTML
导出引用
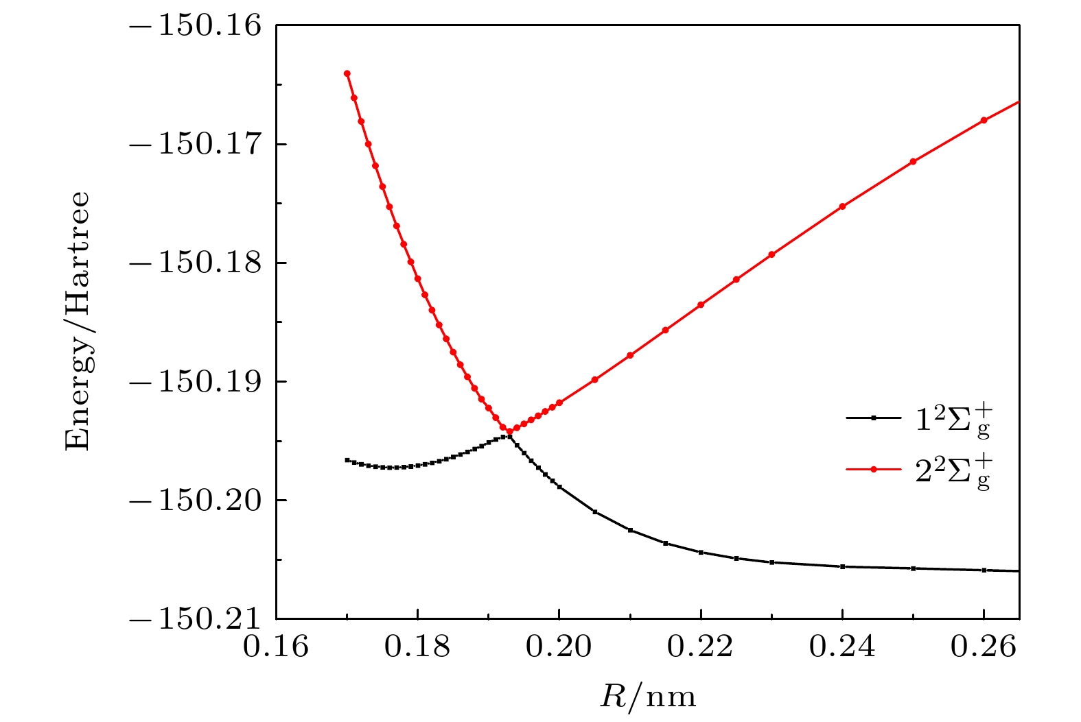
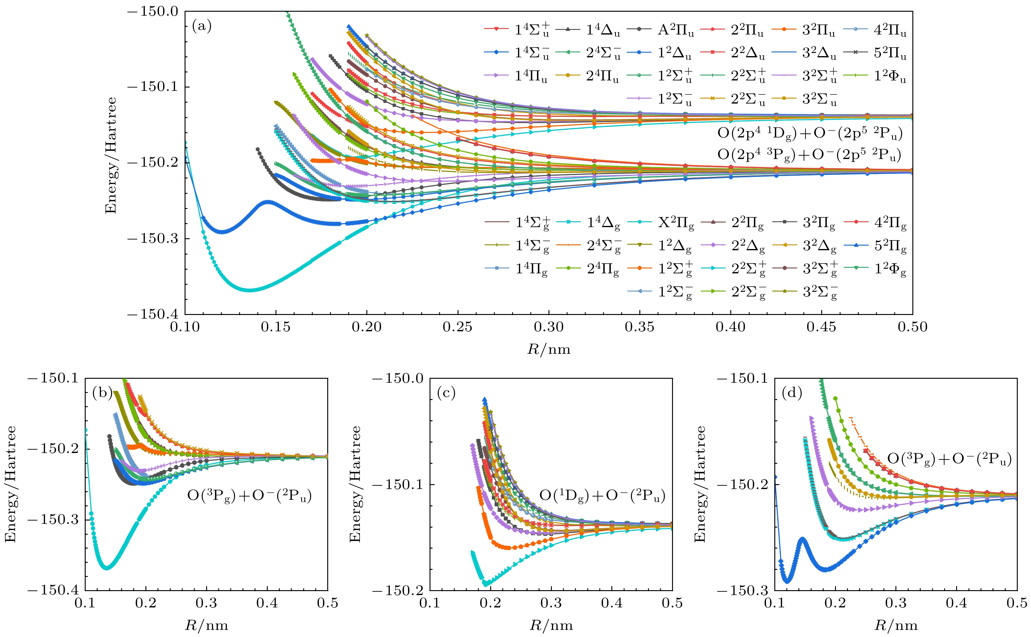
  • 本文采用完全活性空间自洽场(complete active space self-consistent field, CASSCF)和加戴维森校正的多参考组态相互作用(multireference configuration interaction with Davidson correction, MRCI+Q)方法, 研究了超氧阴离子(${\text{O}}_{2}^{{ - }}$)的低激发电子态及自旋-轨道耦合(spin-orbit coupling, SOC)效应对电子态的影响. 使用aug-cc-pV5Z-dk基组, 计算了${\text{O}}_{2}^{{ - }}$第一和第二解离极限对应的42个Λ-S态的势能曲线(potential energy curves, PECs)以及束缚态的光谱常数. 同时考虑SOC效应, 计算了这42个Λ-S态分裂形成的84个Ω态的PECs和部分束缚态的光谱常数. 其中第一解离极限结果与已有文献高度一致, 第二解离极限结果为本文计算提供. 这些结果为研究${\text{O}}_{2}^{{ - }}$的电子结构和光谱性质提供了重要的理论依据. 针对${{\text{a}}^{4}}{{\Sigma }}_{\text{u}}^{{ - }}$态的双势阱现象, 本文通过比较不同基组下的计算结果, 证实了${{\text{a}}^{4}}{{\Sigma }}_{\text{u}}^{{ - }}$态的双势阱形成源于与${{2}^{4}}{{\Sigma }}_{\text{u}}^{{ - }}$态的避免交叉影响. 此外, 研究发现基组大小直接影响${{\text{a}}^{4}}{{\Sigma }}_{\text{u}}^{{ - }}$态的首个势阱深度, 这进一步表明基组选择对光谱常数计算的精确性至关重要. 本文数据集可在科学数据银行https://doi.org/10.57760/sciencedb.j00213.00076中访问获取.
    A comprehensive theoretical study on the low-energy electronic states of superoxide anion (${\text{O}}_{2}^{{ - }}$) is carried out, focusing on the influence of spin-orbit coupling (SOC) on these states. Utilizing the complete active space self-consistent field (CASSCF) method combined with the multireference configuration interaction method with Davidson correction (MRCI+Q) and employing the aug-cc-pV5Z-dk basis set that includes Douglas-Kroll relativistic corrections, the electron correlation and relativistic effects are accurately considered in this work. This work concentrates on the first and second dissociation limits of ${\text{O}}_{2}^{{ - }}$, calculating the potential energy curves (PECs) and spectroscopic constants of 42 Λ-S states. After introducing SOC, 84 Ω states are obtained through splitting, and their PECs and spectroscopic constants are calculated. Detailed data of the electronic states related to the second dissociation limit are provided. The results show excellent agreement with those in the existing literature, thus validating the reliability of the method. This work confirms through calculations with different basis sets that the double-well structure of the ${{\text{a}}^{4}}{{\Sigma }}_{\text{u}}^{{ - }}$ state originates from avoiding crossing with the ${{2}^{4}}{{\Sigma }}_{\text{u}}^{{ - }}$ state, and finds that the size of the basis set can significantly affect the depth of its potential well. After considering SOC, the total energy of the system decreases, especially for the states with high orbital angular momentum (such as the ${{1}^{2}}{{\Phi }}_{\text{u}}$ and ${{1}^{4}}{{{\Delta }}_{\text{g}}}$ states), leading to energy level splitting and energy reduction, while other spectroscopic constants remain essentially unchanged. These findings provide valuable theoretical insights into the electronic structure and spectroscopic properties of ${\text{O}}_{2}^{{ - }}$, present important reference data for future research in fields such as atmospheric chemistry, plasma physics, and molecular spectroscopy. The datasets provided in this work are available from https://doi.org/10.57760/sciencedb.j00213.00076.
      通信作者: 李传亮, clli@tyust.edu.cn
    • 基金项目: 国家重点研发计划(批准号: 2023YFF0718100)、国家自然科学基金(批准号: 62475182, 52076145, 12304403)、山西省科技创新人才团队专项(批准号: 202304051001034)、山西省重点研发计划(批准号: 202302150101006)、山西省基础研究计划(批准号: 202303021221147, 202203021222204)和量子光学与光量子器件国家重点实验室开放课题(批准号: KF202305)资助的课题.
      Corresponding author: LI Chuanliang, clli@tyust.edu.cn
    • Funds: Project supported by the National Key Research and Development Program of China (Grant No. 2023YFF0718100), the National Natural Science Foundation of China (Grant Nos. 62475182, 52076145, 12304403), the Special Fund for Science and Technology Innovation Teams of Shanxi Province, China (Grant No. 202304051001034), the Key Research and Development Program of Shanxi Province, China (Grant No. 202302150101006), the Fundamental Research Program of Shanxi Province, China (Grant Nos. 202303021221147, 202203021222204), and the Program of State Key Laboratory of Quantum Optics and Quantum Optics Devices, China (Grant No. KF202305).
    [1]

    [2]

    [3]

    [4]

    [5]

    [6]

    [7]

    [8]

    [9]

    [10]

    [11]

    [12]

    [13]

    [14]

    [15]

    [16]

    [17]

    [18]

    [19]

    [20]

    [21]

    [22]

    [23]

    [24]

    [25]

    [26]

    [27]

    [28]

    [29]

    [30]

    [31]

    [32]

    [33]

    [34]

    [35]

    [36]

    [37]

  • 原子态 能级/cm–1 Λ-S态 Ω态
    本文 NIST[32]
    O(2s22p4 3Pg)+O(2s22p5 2Pu) 0 0 ${{\rm X}}{}^{2}{{{\Pi }}_{{\rm g}}}$ ${{\rm X}}{}^{2}{{{\Pi }}_{{{\rm g, 3/2}}}}$, ${{\rm X}}{}^{2}{{{\Pi }}_{{{\rm g, 1/2}}}}$
    ${2}{}^{2}{{{\Pi }}_{{\rm g}}}$ ${2}{}^{2}{{{\Pi }}_{{{\rm g, 3/2}}}}$, ${2}{}^{2}{{{\Pi }}_{{{\rm g, 1/2}}}}$
    ${1}{}^{2}{{{\Delta }}_{{\rm g}}}$ ${1}{}^{2}{{{\Delta }}_{{{\rm g, 5/2}}}}$, ${1}{}^{2}{{{\Delta }}_{{{\rm g, 3/2}}}}$
    ${{1}^{2}}{{\Sigma }}_{{\rm g}}^{+}$ ${{1}^{2}}{{\Sigma }}_{{{\rm g, 1/2}}}^{+}$
    ${{1}^{2}}{{\Sigma }}_{{\rm g}}^{{ - }}$ ${{1}^{2}}{{\Sigma }}_{{{\rm g, 1/2}}}^{{ - }}$
    ${{2}^{2}}{{\Sigma }}_{{\rm g}}^{{ - }}$ ${{2}^{2}}{{\Sigma }}_{{{\rm g, 1/2}}}^{{ - }}$
    ${{\rm A}}{}^{2}{{{\Pi }}_{{\rm u}}}$ ${{\rm A}}{}^{2}{{{\Pi }}_{{{\rm u, 1/2}}}}$, ${{\rm A}}{}^{2}{{{\Pi }}_{{{\rm u, 3/2}}}}$
    ${2}{}^{2}{{{\Pi }}_{{\rm u}}}$ ${2}{}^{2}{{{\Pi }}_{{{\rm u, 1/2}}}}$, ${2}{}^{2}{{{\Pi }}_{{{\rm u, 3/2}}}}$
    ${1}{}^{2}{\Delta _{{\rm u}}}$ ${1}{}^{2}{\Delta _{{{\rm u, 5/2}}}}$, ${1}{}^{2}{\Delta _{{{\rm u, 3/2}}}}$
    ${{1}^{2}}{{\Sigma }}_{{\rm u}}^{+}$ ${{1}^{2}}{{\Sigma }}_{{{\rm u, 1/2}}}^{+}$
    ${{1}^{2}}{{\Sigma }}_{{\rm u}}^{{ - }}$ ${{1}^{2}}{{\Sigma }}_{{{\rm u, 1/2}}}^{{ - }}$
    ${{2}^{2}}{{\Sigma }}_{{\rm u}}^{{ - }}$ ${{2}^{2}}{{\Sigma }}_{{{\rm u, 1/2}}}^{{ - }}$
    ${1}{}^{4}{{{\Pi }}_{{\rm g}}}$ ${1}{}^{4}{{{\Pi }}_{{{\rm g, 5/2}}}}$, ${1}{}^{4}{{{\Pi }}_{{{\rm g, 3/2}}}}$, ${1}{}^{4}{{{\Pi }}_{{{\rm g, 1/2}}}}$, ${1}{}^{4}{{{\Pi }}_{{{\rm g, -1/2}}}}$
    ${2}{}^{4}{{{\Pi }}_{{\rm g}}}$ ${2}{}^{4}{{{\Pi }}_{{{\rm g, 5/2}}}}$, ${2}{}^{4}{{{\Pi }}_{{{\rm g, 3/2}}}}$, ${2}{}^{4}{{{\Pi }}_{{{\rm g, 1/2}}}}$, ${2}{}^{4}{{{\Pi }}_{{{\rm g, -1/2}}}}$
    ${1}{}^{4}{{{\Delta }}_{{\rm g}}}$ ${1}{}^{4}{{{\Delta }}_{{{\rm g, 7/2}}}}$, ${1}{}^{4}{{{\Delta }}_{{{\rm g, 5/2}}}}$, ${1}{}^{4}{{{\Delta }}_{{{\rm g, 3/2}}}}$, ${1}{}^{4}{{{\Delta }}_{{{\rm g, 1/2}}}}$
    $ {{1}^{4}}{{\Sigma }}_{{\rm g}}^{+} $ $ {{1}^{4}}{{\Sigma }}_{{{\rm g, 1/2}}}^{+} $, $ {{1}^{4}}{{\Sigma }}_{{{\rm g, 3/2}}}^{+} $
    $ {{1}^{4}}{{\Sigma }}_{{\rm g}}^{{ - }} $ $ {{1}^{4}}{{\Sigma }}_{{{\rm g, 1/2}}}^{{ - }} $, $ {{1}^{4}}{{\Sigma }}_{{{\rm g, 3/2}}}^{{ - }} $
    $ {{2}^{4}}{{\Sigma }}_{{\rm g}}^{{ - }} $ $ {{2}^{4}}{{\Sigma }}_{{{\rm g, 1/2}}}^{{ - }} $, $ {{2}^{4}}{{\Sigma }}_{{{\rm g, 3/2}}}^{{ - }} $
    ${1}{}^{4}{{{\Pi }}_{{\rm u}}}$ ${1}{}^{4}{{{\Pi }}_{{{\rm u, 5/2}}}}$, ${1}{}^{4}{{{\Pi }}_{{{\rm u, 3/2}}}}$, ${1}{}^{4}{{{\Pi }}_{{{\rm u, 1/2}}}}$, ${1}{}^{4}{{{\Pi }}_{{{\rm u, -1/2}}}}$
    ${2}{}^{4}{{{\Pi }}_{{\rm u}}}$ ${2}{}^{4}{{{\Pi }}_{{{\rm u, 5/2}}}}$, ${2}{}^{4}{{{\Pi }}_{{{\rm u, 3/2}}}}$, ${2}{}^{4}{{{\Pi }}_{{{\rm u, 1/2}}}}$, ${2}{}^{4}{{{\Pi }}_{{{\rm u, -1/2}}}}$
    ${1}{}^{4}{{{\Delta }}_{{\rm u}}}$ $1^4\Delta_{\rm u, 7/2}, 1^4\Delta_{\rm u, 5/2},1^4\Delta_{\rm u, 3/2}, 1^4\Delta_{\rm u, 1/2} $
    $ {{1}^{4}}{{\Sigma }}_{{\rm u}}^{+} $ $ {1}^{4}{\Sigma}_{{\rm u}, {\rm 1/2}}^{+} $, $ {1}^{4}{\Sigma}_{{\rm u}, {\rm 3/2}}^{+} $
    ${{{\rm a}}^{4}}{{\Sigma }}_{{\rm u}}^{{ - }}$ $ {{\rm a}}^{4}{\Sigma}_{{\rm u}, {\rm 1/2}}^{-} $, $ {{\rm a}}^{4}{\Sigma}_{{\rm u}, {\rm 3/2}}^{-} $
    ${{2}^{4}}{{\Sigma }}_{{\rm u}}^{{ - }}$ $ {2}^{4}{{\Sigma}}_{{\rm u}, {1/2}}^{-} $, $ {2}^{4}{{ \Sigma}}_{{\rm u}, {3/2}}^{-} $
    O(2s22p4 1Dg)+O(2s22p5 2Pu) 15878.24 15867.86 ${3}{}^{2}{{{\Pi }}_{{\rm g}}}$ ${3}{}^{2}{{{\Pi }}_{{{\rm g, 3/2}}}}$, ${3}{}^{2}{{{\Pi }}_{{{\rm g, 1/2}}}}$
    ${4}{}^{2}{{{\Pi }}_{{\rm g}}}$ ${4}{}^{2}{{{\Pi }}_{{{\rm g, 3/2}}}}$, ${4}{}^{2}{{{\Pi }}_{{{\rm g, 1/2}}}}$
    ${5}{}^{2}{{{\Pi }}_{{\rm g}}}$ $5{}^{2}{{{\Pi }}_{{{\rm g, 3/2}}}}$, ${5}{}^{2}{{{\Pi }}_{{{\rm g, 1/2}}}}$
    ${1}{}^{2}{{\Phi }}_{{\rm g}}$ ${1}{}^{2}{{\Phi }}_{{{\rm g, 7/2}}}$, ${1}{}^{2}{{\Phi }}_{{{\rm g, 5/2}}}$
    ${2}{}^{2}{{{\Delta }}_{{\rm g}}}$ ${2}{}^{2}{{{\Delta }}_{{{\rm g, 5/2}}}}$, ${2}{}^{2}{{{\Delta }}_{{{\rm g, 3/2}}}}$
    ${3}{}^{2}{{{\Delta }}_{{\rm g}}}$ ${3}{}^{2}{{{\Delta }}_{{{\rm g, 5/2}}}}$, ${3}{}^{2}{{{\Delta }}_{{{\rm g, 3/2}}}}$
    ${{2}^{2}}{{\Sigma }}_{{\rm g}}^{+}$ $ {2}^{2}{\Sigma}_{{\rm g}, {\rm 1/2}}^{+} $
    ${{3}^{2}}{{\Sigma }}_{{\rm g}}^{+}$ $ {3}^{2}{\Sigma}_{{\rm g}, {\rm 1/2}}^{+} $
    ${{3}^{2}}{{\Sigma }}_{{\rm g}}^{{ - }}$ $ {3}^{2}{\Sigma}_{{\rm g}, {\rm 1/2}}^{-} $
    ${3}{}^{2}{{{\Pi }}_{{\rm u}}}$ ${3}{}^{2}{{{\Pi }}_{{{\rm u, 3/2}}}}$, ${3}{}^{2}{{{\Pi }}_{{{\rm u, 1/2}}}}$
    ${4}{}^{2}{{{\Pi }}_{{\rm u}}}$ ${4}{}^{2}{{{\Pi }}_{{{\rm u, 3/2}}}}$, ${4}{}^{2}{{{\Pi }}_{{{\rm u, 1/2}}}}$
    ${5}{}^{2}{{{\Pi }}_{{\rm u}}}$ ${5}{}^{2}{{{\Pi }}_{{{\rm u, 3/2}}}}$, ${5}{}^{2}{{{\Pi }}_{{{\rm u, 1/2}}}}$
    ${1}{}^{2}{{\Phi }}_{{\rm u}}$ ${1}{}^{2}{{\Phi }}_{{{\rm u, 7/2}}}$, ${1}{}^{2}{{\Phi }}_{{{\rm u, 5/2}}}$
    ${2}{}^{2}{{{\Delta }}_{{\rm u}}}$ ${2}{}^{2}{{{\Delta }}_{{{\rm u, 5/2}}}}$, ${2}{}^{2}{{{\Delta }}_{{{\rm u, 3/2}}}}$
    ${3}{}^{2}{{{\Delta }}_{{\rm u}}}$ ${3}{}^{2}{{{\Delta }}_{{{\rm u, 5/2}}}}$, ${3}{}^{2}{{{\Delta }}_{{{\rm u, 3/2}}}}$
    ${{2}^{2}}{{\Sigma }}_{{\rm u}}^{+}$ $ {2}^{2}{\Sigma}_{{\rm u}, {\rm 1/2}}^{+} $
    ${{3}^{2}}{{\Sigma }}_{{\rm u}}^{+}$ $ {3}^{2}{\Sigma}_{{\rm u}, {\rm 1/2}}^{+} $
    ${{3}^{2}}{{\Sigma }}_{{\rm u}}^{{ - }}$ $ {3}^{2}{\Sigma}_{{\rm u}, {\rm 1/2}}^{-} $
    下载: 导出CSV

    $\Lambda$-S态 $\Lambda$-S态在$R_{e}$处的主要组态
    ${\mathrm{X}}^{2}\Pi_{\mathrm{g}}$ $3\sigma_{\mathrm{g}}^{2}1\pi_{\mathrm{u}}^{4}1\pi_{\mathrm{g}}^{3}3\sigma_{\mathrm{u}}^{0}$ (98.05%)
    $1^{2}\Sigma^+_{\mathrm{g}}$ $3\sigma_{\mathrm{g}}^{1}1\pi_{\mathrm{u}}^{4}1\pi_{\mathrm{g}}^{4}3\sigma_{\mathrm{u}}^{0}$ (96.32%)
    $1^{2}\Sigma^-_{\mathrm{g}}$ $3\sigma_{\mathrm{g}}^{2}1\pi_{\mathrm{u}}^{3}1\pi_{\mathrm{g}}^{3}3\sigma_{\mathrm{u}}^{1}$ (97.30%)
    ${\mathrm{A}}^{2}\Pi_{\mathrm{u}}$ $3\sigma_{\mathrm{g}}^{2}1\pi_{\mathrm{u}}^{4}1\pi_{\mathrm{g}}^{3}3\sigma_{\mathrm{u}}^{0}$ (92.88%)
    $1^{2}\Delta_{\mathrm{u}}$ $3\sigma_{\mathrm{g}}^{2}1\pi_{\mathrm{u}}^{4}1\pi_{\mathrm{g}}^{2}3\sigma_{\mathrm{u}}^{1}$ (60.17%)$3\sigma_{\mathrm{g}}^{2}1\pi_{\mathrm{u}}^{2}1\pi_{\mathrm{g}}^{4}3\sigma_{\mathrm{u}}^{1}$ (34.59%)
    $1^{2}\Sigma ^-_{\mathrm{u}}$ $3\sigma_{\mathrm{g}}^{2}1\pi_{\mathrm{u}}^{4}1\pi_{\mathrm{g}}^{2}3\sigma_{\mathrm{u}}^{1}$ (73.86%)
    $1^{4}\Pi_{\mathrm{g}}$ $3\sigma_{\mathrm{g}}^{1}1\pi_{\mathrm{u}}^{3}1\pi_{\mathrm{g}}^{4}3\sigma_{\mathrm{u}}^{1}$ (99.97%)
    $1^{4}\Delta_{\mathrm{g}}$ $3\sigma_{\mathrm{g}}^{2}1\pi_{\mathrm{u}}^{3}1\pi_{\mathrm{g}}^{3}3\sigma_{\mathrm{u}}^{1}$ (70.71%)
    $1^{4}\Sigma^+_{\mathrm{g}}$ $3\sigma_{\mathrm{g}}^{2}1\pi_{\mathrm{u}}^{3}1\pi_{\mathrm{g}}^{3}3\sigma_{\mathrm{u}}^{1}$ (70.71%)
    $1^{4}\Sigma^-_{\mathrm{g}}$ $3\sigma_{\mathrm{g}}^{1}1\pi_{\mathrm{u}}^{4}1\pi_{\mathrm{g}}^{2}3\sigma_{\mathrm{u}}^{2}$ (69.48%)$3\sigma_{\mathrm{g}}^{2}1\pi_{\mathrm{u}}^{3}1\pi_{\mathrm{g}}^{3}3\sigma_{\mathrm{u}}^{1}$ (48.39%)
    $1^{4}\Pi_{\mathrm{u}}$ $3\sigma_{\mathrm{g}}^{1}1\pi_{\mathrm{u}}^{4}1\pi_{\mathrm{g}}^{3}3\sigma_{\mathrm{u}}^{1}$ (99.85%)
    $2^{4}\Pi_{\mathrm{u}}$ $3\sigma_{\mathrm{g}}^{2}1\pi_{\mathrm{u}}^{3}1\pi_{\mathrm{g}}^{2}3\sigma_{\mathrm{u}}^{2}$ (99.87%)
    ${\mathrm{a}}^{4}\Sigma^-_{\mathrm{u}}$ (1st well) $3\sigma_{\mathrm{g}}^{2}1\pi_{\mathrm{u}}^{4}1\pi_{\mathrm{g}}^{2}3\sigma_{\mathrm{u}}^{1}$ (97.21%)
    ${\mathrm{a}}^{4}\Sigma^-_{\mathrm{u}}$ (2nd well) $3\sigma_{\mathrm{g}}^{2}1\pi_{\mathrm{u}}^{4}1\pi_{\mathrm{g}}^{2}3\sigma_{\mathrm{u}}^{1}$ (61.53%)$3\sigma_{\mathrm{g}}^{2}1\pi_{\mathrm{u}}^{3}1\pi_{\mathrm{g}}^{4}3\sigma_{\mathrm{u}}^{1}$ (32.34%)
    $3^{2}\Pi_{\mathrm{g}}$ $3\sigma_{\mathrm{g}}^{1}1\pi_{\mathrm{u}}^{3}1\pi_{\mathrm{g}}^{4}3\sigma_{\mathrm{u}}^{1}$ (63.92%)
    $2^{2}\Delta_{\mathrm{g}}$ $3\sigma_{\mathrm{g}}^{1}1\pi_{\mathrm{u}}^{4}1\pi_{\mathrm{g}}^{2}3\sigma_{\mathrm{u}}^{2}$ (50.21%) $3\sigma_{\mathrm{g}}^{2}1\pi_{\mathrm{u}}^{3}1\pi_{\mathrm{g}}^{3}3\sigma_{\mathrm{u}}^{1}$ (35.45%)
    $2^{2}\Sigma^+_{\mathrm{g}}$ $3\sigma_{\mathrm{g}}^{2}1\pi_{\mathrm{u}}^{3}1\pi_{\mathrm{g}}^{3}3\sigma_{\mathrm{u}}^{1}$ (85.66%)
    $3^{2}\Sigma^+_{\mathrm{g}}$ $3\sigma_{\mathrm{g}}^{2}1\pi_{\mathrm{u}}^{3}1\pi_{\mathrm{g}}^{3}3\sigma_{\mathrm{u}}^{1}$ (42.42%)$3\sigma_{\mathrm{g}}^{1}1\pi_{\mathrm{u}}^{2}1\pi_{\mathrm{g}}^{4}3\sigma_{\mathrm{u}}^{2}$ (35.42%)$3\sigma_{\mathrm{g}}^{1}1\pi_{\mathrm{u}}^{4}1\pi_{\mathrm{g}}^{2}3\sigma_{\mathrm{u}}^{2}$ (29.42%)
    $3^{2}\Pi_{\mathrm{u}}$ $3\sigma_{\mathrm{g}}^{1}1\pi_{\mathrm{u}}^{4}1\pi_{\mathrm{g}}^{3}3\sigma_{\mathrm{u}}^{1}$ (73.79%)$3\sigma_{\mathrm{g}}^{2}1\pi_{\mathrm{u}}^{3}1\pi_{\mathrm{g}}^{4}3\sigma_{\mathrm{u}}^{0}$ (30.12%)
    $1^{2}\Phi_{\mathrm{u}}$ $3\sigma_{\mathrm{g}}^{2}1\pi_{\mathrm{u}}^{3}1\pi_{\mathrm{g}}^{2}3\sigma_{\mathrm{u}}^{2}$ (50.00%)
    $2^{2}\Delta_{\mathrm{u}}$ $3\sigma_{\mathrm{g}}^{1}1\pi_{\mathrm{u}}^{3}1\pi_{\mathrm{g}}^{3}3\sigma_{\mathrm{u}}^{2}$ (49.87%)$3\sigma_{\mathrm{g}}^{2}1\pi_{\mathrm{u}}^{4}1\pi_{\mathrm{g}}^{2}3\sigma_{\mathrm{u}}^{1}$ (28.13%) $3\sigma_{\mathrm{g}}^{2}1\pi_{\mathrm{u}}^{2}1\pi_{\mathrm{g}}^{4}3\sigma_{\mathrm{u}}^{1}$ (21.31%)
    $3^{2}\Sigma ^+_{\mathrm{u}}$ $3\sigma_{\mathrm{g}}^{1}1\pi_{\mathrm{u}}^{3}1\pi_{\mathrm{g}}^{3}3\sigma_{\mathrm{u}}^{2}$ (40.05%)$3\sigma_{\mathrm{g}}^{2}1\pi_{\mathrm{u}}^{4}1\pi_{\mathrm{g}}^{2}3\sigma_{\mathrm{u}}^{1}$ (37.78%) $3\sigma_{\mathrm{g}}^{2}1\pi_{\mathrm{u}}^{2}1\pi_{\mathrm{g}}^{4}3\sigma_{\mathrm{u}}^{1}$ (30.08%)
    下载: 导出CSV

    Te/cm–1 Re/nm ωe/cm–1 ωeχe/cm–1 Be/cm–1 αe/(102 cm–1) De/eV
    ${{\text{X}}^{2}}{{{\Pi }}_{\text{g}}}$ 本文 0 0.1350 1073.6 7.8 1.1526 1.45 4.2284
    Cal.[27] 0 0.1346 1122.2 8.8 1.1601 1.31 4.2764
    Exp.[35] 0 0.1348(8) 1108(20) [9] 1.1610 4.1724
    Exp.[6] 0 4.2484
    Exp.[34] 0 0.135 1090.0 8.0(1) 4.1573
    Exp.[4] 0 0.1347(5) 1073(50)
    Cal.[21] 0 0.144 1010.0 4.0000
    Cal.[24] 0 0.1348 1132.0 4.0762
    Cal.[35] 0 0.1356 1112.0
    Cal.[36] 0 0.1356 1098.0 9.0 1.1350 1.51 4.1290
    Cal.[18] 0 0.1352 1130.0 12.7 1.1430 1.56 4.2100
    Cal.[5] 0 0.1354 1163.0 9.2
    Cal.[20] 0 0.1365 3.9300
    Cal.[37] 0 0.1373 1065.0 8.8
    Cal.[22] 0 0.1362 1107.2 13.0 1.1361 1.37 4.0560
    ${{\text{A}}^{2}}{{{\Pi }}_{\text{u}}}$ 本文 25775.21 0.1790 547.2 6.9 0.6562 0.91 1.0327
    Cal.[27] 25707.72 0.1787 553.2 6.8 0.6721 1.45 0.9731
    Exp.[34] (25300.00) (574.5) (7.1)
    Exp.[15] 27310.00 0.1730 592.0 6.0
    Exp.[6] 0.1680 0.77±0.15
    Cal.[36] 0.1828 484.6 11.1 0.6260 1.37 0.7550
    Cal.[18] 27400.00 0.1817 506.3 10.4 0.6330 1.27 0.8130
    Cal.[19] 23632.04 0.1920 452.1 4.0 0.5700 0.79 1.2300
    Cal.[5] 28580.00 0.1743 604.0 6.0
    Cal.[35] 27342.18 0.1758 557.0
    Cal.[25] 25003.18 0.1806 535.0 8.9
    Cal.[20] 0.1847 0.7500
    下载: 导出CSV

    Te/cm–1 Re/nm ωe/cm–1 ωeχe/cm–1 Be/cm–1 102αe/cm–1 De/eV
    ${{1}^{2}}{{{\Delta }}_{\text{u}}}$ 本文 25773.25 0.1949 423.2 6.7 0.5535 1.01 1.0501
    Cal.[27] 25744.15 0.1948 426.4 6.4 0.5558 1.03 1.0636
    Cal.[19] 22664.17 0.1980 524.7 4.8 0.5400 0.65 1.3500
    ${{1}^{2}}{{\Sigma }}_{\text{g}}^ + $ 本文 37694.72 0.1761 530.9 3.7 0.6779 1.85 0.1445
    Cal.[27] (1st well) 36812.48 0.1758 526.7 2.5 0.6977 5.05 0.1019
    Cal.[27] (2nd well) 34143.01 0.6343 8.9 1.3 0.0484 0.19 0.0074
    Cal.[19] 39682.46 0.1950 603.2 24.1 0.5500 1.95 1.1400
    Cal.[25] 38391.98 0.1776 538.0 5.0
    ${{1}^{2}}{{\Sigma }}_{\text{u}}^ + $ 本文 27050.77 0.2039 366.8 6.0 0.5056 0.99 0.8917
    Cal.[27] 27043.01 0.2027 366.2 2.1 0.5121 0.92 0.9121
    Cal.[19] 23228.76 0.2000 514.4 4.9 0.5200 0.63 1.2800
    ${{1}^{2}}{{\Sigma }}_{\text{g}}^{{ - }}$ 本文 27485.00 0.2156 361.3 5.8 0.4523 0.88 0.8379
    Cal.[27] 27540.34 0.2161 358.9 5.7 0.4511 0.95 0.8087
    Cal.[19] 24357.93 0.2180 451.5 3.5 0.4400 0.45 1.1400
    ${{1}^{2}}{{\Sigma }}_{\text{u}}^{{ - }}$ 本文 29701.21 0.1914 434.8 8.2 0.5738 0.94 0.5633
    Cal.[27] 29783.15 0.1912 447.1 7.2 0.5762 1.01 0.3411
    Cal.[36] 0.2010 439.0 10.0 0.5190 1.00 0.4000
    Cal.[19] 30407.09 0.1990 484.4 12.9 0.5300 1.04 0.3900
    下载: 导出CSV

    Te/cm–1 Re/nm ωe/cm–1 ωeχe/cm–1 Be/cm–1 αe/(102 cm–1) De/eV
    ${{\text{a}}^{4}}{{\Sigma }}_{\text{u}}^{{ - }}$ 本文(1st well) 16385.20 0.1200 1612.7 9.3 1.4591 1.64 1.0826
    Cal.[27] 9661.49 0.1194 1612.3 9.9 2.1694 50.24 1.8791
    本文(2nd well) 18779.71 0.1837 546.3 6.2 0.6226 0.46 1.2756
    Cal.[27] 18854.63 0.1832 546.1 6.0 0.6284 0.86 1.6961
    Cal.[36] 19357.30 0.1850 582.0 9.6 0.6080 1.00 1.6700
    Cal.[19] 16534.36 0.1880 604.8 3.4 0.6000 0.61 2.0700
    Cal.[5] 22540.00 0.1846 572.0 5.6
    Cal.[35] 19357.30 0.1808 569.0
    Cal.[25] 16534.36 0.1880 604.8 3.4 0.6000 0.61 2.1100
    ${{1}^{4}}{{{\Delta }}_{\text{g}}}$ 本文 25061.91 0.2132 390.3 3.4 0.4625 0.82 1.1346
    Cal.[27] 25032.62 0.2126 397.2 5.7 0.4664 0.81 1.1131
    Cal.[19] 20970.41 0.2120 503.7 2.9 0.4700 0.39 1.5300
    ${{1}^{4}}{{\Sigma }}_{\text{g}}^{+}$ 本文 25289.44 0.2143 383.8 5.5 0.4579 0.81 1.1064
    Cal.[27] 25324.30 0.2134 391.7 5.5 0.4628 0.81 1.1371
    Cal.[19] 21051.06 0.2130 504.1 3.0 0.4600 0.37 1.5500
    ${{1}^{4}}{{{\Pi }}_{\text{u}}}$ 本文 31129.29 0.2408 233.0 5.7 0.3626 1.01 0.3675
    Cal.[27] 31221.58 0.2389 240.6 5.7 0.3695 1.01 0.3806
    Exp.[34] 97800.00 1044.0 10.0
    Cal.[19] 31052.33 0.2480 345.6 8.9 0.3400 0.04 0.3100
    ${{1}^{4}}{{\Sigma }}_{\text{g}}^{{ - }}$ 本文 33621.36 0.2792 112.1 6.7 0.2696 1.53 0.0684
    Cal.[27] 33784.61 0.2784 118.2 6.7 0.2729 1.41 0.0385
    ${{2}^{4}}{{{\Pi }}_{\text{u}}}$ 本文 33819.65 0.3045 94.5 5.4 0.2268 1.27 0.0398
    Cal.[27] 33914.10 0.4770 151.1 42.6 0.0813 41.48 0.0443
    ${{1}^{4}}{{{\Pi }}_{\text{g}}}$ 本文 34022.34 0.4769 1.1 4.2 0.0925 3.28 0.0088
    Cal.[27] 34163.64 0.4586 55.6 8.3 0.0995 1.23 0.0134
    下载: 导出CSV

    Te/cm–1 Re/nm ωe/cm–1 ωeχe/cm–1 Be/cm–1 αe/(102 cm–1) De/eV
    ${{3}^{2}}{{{\Pi }}_{\text{g}}}$ 48109.82 0.2896 160.7 3.8 0.2508 0.62 0.2048
    ${{2}^{2}}{{{\Delta }}_{\text{g}}}$ 48397.03 0.2812 131.1 2.2 0.2659 0.59 0.1839
    ${{2}^{2}}{{\Sigma }}_{\text{g}}^{+}$ 37199.41 0.1760 508.0 5.4 0.6787 1.12 1.5565
    ${{3}^{2}}{{\Sigma }}_{\text{g}}^{+}$ 48872.32 0.3153 128.7 3.9 0.2115 0.72 0.1573
    ${{3}^{2}}{{{\Pi }}_{\text{u}}}$ 45234.02 0.2303 296.8 4.9 0.3965 1.01 0.5552
    ${{1}^{2}}{{\Phi }}_{\text{u}}$ 49874.49 0.3158 73.4 5.6 0.2109 1.68 0.0258
    ${{2}^{2}}{{{\Delta }}_{\text{u}}}$ 49752.52 0.6162 54.6 1.6 0.0554 0.44 0.0290
    ${{3}^{2}}{{\Sigma }}_{\text{u}}^{+}$ 48753.89 0.3139 135.9 3.9 0.2134 0.67 0.1268
    下载: 导出CSV

    Te/cm–1 Re/nm ωe/cm–1 Be/cm–1 De/eV
    ${{\text{X}}^{2}}{{{\Pi }}_{{\text{g, 3/2}}}}$ 本文 0 0.1354 1083.07 1.1471 4.2520
    Cal.[27] 0 0.1353 1123.34 4.2663
    ${{\text{X}}^{2}}{{{\Pi }}_{{\text{g, 1/2}}}}$ 本文 166.72 0.1353 1078.97 1.1481 4.2405
    Cal.[27] 154.29 0.1353 1093.64 4.2485
    ${{\text{A}}^{2}}{{{\Pi }}_{{\text{u, 1/2}}}}$ 本文 26008.90 0.1810 547.04 0.6412 1.0273
    Cal.[27] 25725.94 0.1785 550.50 0.9681
    ${{\text{A}}^{2}}{{{\Pi }}_{{\text{u, 3/2}}}}$ 本文 26131.12 0.1811 547.20 0.6410 1.0213
    Cal.[27] 25844.45 0.1785 551.40 0.9754
    ${{1}^{4}}{{{\Pi }}_{{\text{g, 5/2}}}}$ 本文 33938.02 0.4862 16.80 0.0889 0.0121
    Cal.[27] 34153.98 0.4573 52.43 0.0135
    ${{1}^{4}}{{{\Pi }}_{{\text{g, 3/2}}}}$ 本文 33985.59 0.4860 16.45 0.0890 0.0122
    Cal.[27] 34217.41 0.4580 50.49 0.0136
    ${{1}^{4}}{{{\Pi }}_{{\text{g, 1/2}}}}$ 本文 34033.17 0.4815 19.32 0.0907 0.0122
    Cal.[27] 34255.16 0.4584 50.87 0.0134
    ${{1}^{4}}{{{\Pi }}_{{\rm {g,-1/2}}}}$ 本文 34080.74 0.4814 19.09 0.0907 0.0122
    Cal.[27] 34267.45 0.4586 52.36 0.0135
    ${{1}^{4}}{{{\Pi }}_{{\rm {u,-1/2}}}}$ 本文 31043.47 0.2408 233.14 0.3627 0.3399
    Cal.[27] 31224.44 0.2388 240.87 0.3844
    ${{1}^{4}}{{{\Pi }}_{{\text{u, 1/2}}}}$ 本文 31092.18 0.2408 233.09 0.3626 0.3397
    Cal.[27] 31273.82 0.2388 240.29 0.3820
    ${{1}^{4}}{{{\Pi }}_{{\text{u, 3/2}}}}$ 本文 31140.89 0.2408 233.05 0.3626 0.3396
    Cal.[27] 31322.32 0.2384 237.18 0.3808
    ${{1}^{4}}{{{\Pi }}_{{\text{u, 5/2}}}}$ 本文 31189.60 0.2408 233.00 0.3626 0.3395
    Cal.[27] 31371.48 0.2384 237.23 0.3799
    ${{2}^{4}}{{{\Pi }}_{{\text{u, - 1/2}}}}$ 本文 33993.00 0.3019 92.79 0.2306 0.0484
    Cal.[27] 33933.85 0.4765 151.63 0.0442
    ${{2}^{4}}{{{\Pi }}_{{\text{u, 1/2}}}}$ 本文 34036.11 0.3096 88.01 0.2194 0.0485
    Cal.[27] 33946.63 0.4786 150.73 0.0432
    ${{2}^{4}}{{{\Pi }}_{{\text{u, 3/2}}}}$ 本文 34079.23 0.3031 93.86 0.2289 0.0434
    Cal.[27] 33967.94 0.4774 153.22 0.0438
    ${{2}^{4}}{{{\Pi }}_{{\text{u, 5/2}}}}$ 本文 34122.35 0.3030 93.97 0.2289 0.0432
    Cal.[27] 34000.35 0.4769 149.84 0.0445
    下载: 导出CSV

    Te/cm–1 Re/nm ωe/cm–1 Be/cm–1 De/eV
    ${{1}^{2}}{{{\Delta }}_{{\text{u, 5/2}}}}$ 本文 26005.19 0.1960 414.18 0.5471 1.0476
    Cal.[27] 25820.31 0.1948 426.27 1.0660
    ${{1}^{2}}{{{\Delta }}_{{\text{u, 3/2}}}}$ 本文 26017.40 0.1960 414.32 0.5472 1.0525
    Cal.[27] 25894.06 0.1943 423.62 1.0613
    ${{1}^{4}}{{{\Delta }}_{{\text{g, 7/2}}}}$ 本文 25190.59 0.2129 388.26 0.4636 1.1344
    Cal.[27] 25013.30 0.2125 397.39 1.1184
    ${{1}^{4}}{{{\Delta }}_{{\text{g, 5/2}}}}$ 本文 25281.54 0.2127 387.98 0.4647 1.1345
    Cal.[27] 25091.22 0.2126 397.31 1.1146
    ${{1}^{4}}{{{\Delta }}_{{\text{g, 3/2}}}}$ 本文 25372.49 0.2129 390.39 0.4640 1.1345
    Cal.[27] 25211.93 0.2125 395.57 1.1133
    ${{1}^{4}}{{{\Delta }}_{{\text{g, 1/2}}}}$ 本文 25463.44 0.2127 388.44 0.4647 1.1346
    Cal.[27] 25290.28 0.2126 393.75 1.1115
    下载: 导出CSV

    Te/cm–1 Re/nm ωe/cm–1 Be/cm–1 De/eV
    ${{3}^{2}}{{{\Pi }}_{{\text{g, 1/2}}}}$ 48084.30 0.2916 155.27 0.2472 0.1952
    ${{3}^{2}}{{{\Pi }}_{{\text{g, 3/2}}}}$ 48109.85 0.2907 158.14 0.2487 0.2017
    ${{3}^{2}}{{{\Pi }}_{{\text{u, 1/2}}}}$ 45212.53 0.2316 291.66 0.3920 0.5514
    ${{3}^{2}}{{{\Pi }}_{{\text{u, 3/2}}}}$ 45226.50 0.2319 291.93 0.3910 0.5587
    ${{1}^{2}}{{\Phi }}_{{\text{u, 5/2}}}$ 49926.23 0.3158 73.24 0.2108 0.0257
    ${{1}^{2}}{{\Phi }}_{{\text{u, 7/2}}}$ 50055.56 0.3156 73.49 0.2111 0.0259
    ${{2}^{2}}{{{\Delta }}_{{\text{g, 3/2}}}}$ 48942.47 0.2841 126.81 0.2605 0.1671
    ${{2}^{2}}{{{\Delta }}_{{\text{g, 5/2}}}}$ 48997.29 0.2814 130.77 0.2655 0.1672
    下载: 导出CSV
    Baidu
  • [1]

    [2]

    [3]

    [4]

    [5]

    [6]

    [7]

    [8]

    [9]

    [10]

    [11]

    [12]

    [13]

    [14]

    [15]

    [16]

    [17]

    [18]

    [19]

    [20]

    [21]

    [22]

    [23]

    [24]

    [25]

    [26]

    [27]

    [28]

    [29]

    [30]

    [31]

    [32]

    [33]

    [34]

    [35]

    [36]

    [37]

  • [1] 邢伟, 李胜周, 孙金锋, 曹旭, 朱遵略, 李文涛, 李悦毅, 白春旭. AlH分子10个Λ-S态和26个Ω态光谱性质的理论研究. 必威体育下载 , 2023, 72(16): 163101. doi: 10.7498/aps.72.20230615
    [2] 马赟娥, 乔鑫, 高瑞, 梁俊成, 张爱霞, 薛具奎. 可调自旋-轨道耦合玻色-爱因斯坦凝聚体的隧穿动力学. 必威体育下载 , 2022, 71(21): 210302. doi: 10.7498/aps.71.20220697
    [3] 孙海明. Bi2Te3(111)和Al2O3(0001)衬底对Bi(111)双原子层的电子结构及拓扑性质的影响. 必威体育下载 , 2022, 71(13): 137101. doi: 10.7498/aps.71.20220060
    [4] 周永香, 薛迅. 自旋-轨道耦合系统的电子涡旋. 必威体育下载 , 2022, 71(21): 210301. doi: 10.7498/aps.71.20220751
    [5] 邢伟, 李胜周, 孙金锋, 李文涛, 朱遵略, 刘锋. BH分子8个Λ-S态和23个Ω态光谱性质的理论研究. 必威体育下载 , 2022, 71(10): 103101. doi: 10.7498/aps.71.20220038
    [6] 高峰, 张红, 张常哲, 赵文丽, 孟庆田. SiH+(X1Σ+)的势能曲线、光谱常数、振转能级和自旋-轨道耦合理论研究. 必威体育下载 , 2021, 70(15): 153301. doi: 10.7498/aps.70.20210450
    [7] 邢伟, 孙金锋, 施德恒, 朱遵略. icMRCI+Q理论研究BF+离子电子态的光谱性质和预解离机理. 必威体育下载 , 2018, 67(6): 063301. doi: 10.7498/aps.67.20172114
    [8] 魏长立, 廖浩, 罗太盛, 任银拴, 闫冰. Na2+离子较低电子态势能曲线和光谱常数的理论研究. 必威体育下载 , 2018, 67(24): 243101. doi: 10.7498/aps.67.20181690
    [9] 邢伟, 刘慧, 施德恒, 孙金锋, 朱遵略. icMRCI+Q理论研究CF+离子12个-S态和23个态的光谱性质. 必威体育下载 , 2016, 65(3): 033102. doi: 10.7498/aps.65.033102
    [10] 李志, 王建忠. 自旋-轨道耦合玻色-爱因斯坦凝聚势垒散射特性的研究. 必威体育下载 , 2013, 62(10): 100306. doi: 10.7498/aps.62.100306
    [11] 刘慧, 邢伟, 施德恒, 孙金锋, 朱遵略. PS自由基X2Π态的势能曲线和光谱性质. 必威体育下载 , 2013, 62(20): 203104. doi: 10.7498/aps.62.203104
    [12] 王杰敏, 冯恒强, 孙金锋, 施德恒, 李文涛, 朱遵略. SiN自由基X2+, A2和B2+ 电子态的光谱常数研究. 必威体育下载 , 2013, 62(1): 013105. doi: 10.7498/aps.62.013105
    [13] 邢伟, 刘慧, 施德恒, 孙金锋, 朱遵略. MRCI+Q理论研究SiSe分子X1Σ+和A1Π电子态的光谱常数和分子常数. 必威体育下载 , 2013, 62(4): 043101. doi: 10.7498/aps.62.043101
    [14] 刘慧, 邢伟, 施德恒, 孙金锋, 朱遵略. 理论研究B2分子X3g-和A3u态的光谱性质. 必威体育下载 , 2012, 61(20): 203101. doi: 10.7498/aps.61.203101
    [15] 刘新浩, 林景波, 刘艳辉, 金迎九. Full-Heusler合金X2YGa(X=Co,Fe,Ni;Y=V,Cr,Mn)的电子结构、磁性及半金属特性的第一性原理研究. 必威体育下载 , 2011, 60(10): 107104. doi: 10.7498/aps.60.107104
    [16] 刘慧, 施德恒, 孙金锋, 朱遵略. MRCI方法研究CSe(X1Σ+)自由基的光谱常数和分子常数. 必威体育下载 , 2011, 60(6): 063101. doi: 10.7498/aps.60.063101
    [17] 刘慧, 邢伟, 施德恒, 朱遵略, 孙金锋. 用MRCI方法研究CS+同位素离子X2Σ+和A2Π态的光谱常数与分子常数. 必威体育下载 , 2011, 60(4): 043102. doi: 10.7498/aps.60.043102
    [18] 施德恒, 张金平, 孙金锋, 刘玉芳, 朱遵略. 基态S和D原子的低能弹性碰撞及SD(X2Π)自由基的准确相互作用势与分子常数. 必威体育下载 , 2009, 58(11): 7646-7653. doi: 10.7498/aps.58.7646
    [19] 施德恒, 刘玉芳, 孙金锋, 张金平, 朱遵略. 基态O和D原子的低能弹性碰撞及OD(X2Π)自由基的准确解析势与分子常数. 必威体育下载 , 2009, 58(4): 2369-2375. doi: 10.7498/aps.58.2369
    [20] 徐海峰, 郭颖, 李奇峰, 戴静华, 刘世林, 马兴孝. N2O+离子A2Σ+电子态的光谱研究. 必威体育下载 , 2004, 53(4): 1027-1033. doi: 10.7498/aps.53.1027
计量
  • 文章访问数:  458
  • PDF下载量:  29
  • 被引次数: 0
出版历程
  • 收稿日期:  2024-10-14
  • 修回日期:  2024-11-28
  • 上网日期:  2024-12-02
  • 刊出日期:  2025-01-20

返回文章
返回
Baidu
map