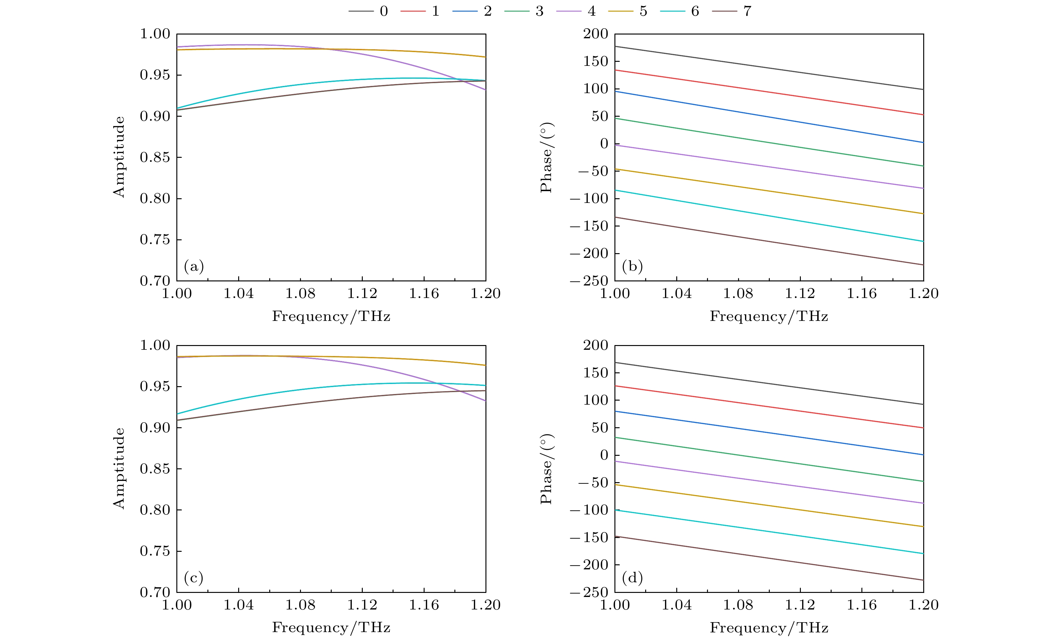
Metasurfaces have the characteristics of simple structure, easy fabrication, easy integration, etc., and can flexibly control electromagnetic waves. They are widely used in terahertz filters, lenses, polarization converters, wavefront adjustment and terahertz imaging and so on. By encoding and arranging unit cells with different amplitudes and phases according to a certain rule, the metasurfaces can achieve various functions such as imaging, focusing, beam splitting, and vortex beam. The reported coding metasurfaces are phase-modulated according to geometric phase or transmission phase theory. However, geometric phase has spin-locking property and transmission phase has single-frequency property, which hinder the applications of a unified metasurface in simultaneously regulating geometric phase and transmission phase.To address the above issues, in this work, we propose an radian and rotation co-induced phase modulation metasurface, whose unit cell independently modulates the cross-polarized reflection phases of LCP wave and RCP wave and has a certain bandwidth, which meets therequirement in a frequency region of 1–1.2 THz. Through the principle of phase convolution and shared aperture, the metasurface realizes the vortex beams with a topological charge of ±1, focusing with a focal length of 1500 μm, the deflected vortex beams with a topological charge of ±2, the quasi-perfect vortex beams, and the multichannel vortex beams. The structure has the advantages of simple structure, flexible and convenient regulation, and compact size, which improves the utilization of the electromagnetic space and has a broad application prospect in the future terahertz communication systems.