-
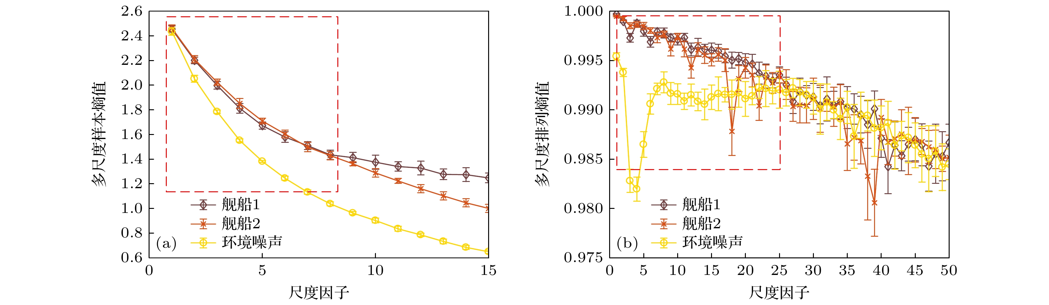
复杂系统的非线性动力学研究一直是物理学领域的重点, 因为其有助于提高系统建模的精度, 从而实现更准确的系统分析与预测. 非线性特征参数, 如熵和李雅普诺夫指数, 能够有效揭示复杂系统中隐含的动力学特性. 与传统的一维时间序列数据相比, 多通道阵列数据包含更多关于非线性系统动力学的信息, 相空间重构后的数据矩阵在结构上也与多通道阵列数据展现出相似的特性. 然而, 现有的非线性特征参数计算方法仅适用于一维时间序列. 仅选取多通道数据中的一个通道来计算非线性特征参数, 会导致大量系统信息的浪费, 从而降低了非线性特征参数的性能与精度. 本文针对含有相空间重构的多尺度样本熵与多尺度排列熵两种经典非线性特征参数, 利用阵列多通道数据代替算法中的相空间重构以提升算法性能. 通过分析相空间重构参数与实际阵列结构参数之间的关系, 给出嵌入维数、时间延迟与阵元个数、阵元间距之间的关系. 通过构造多组仿真阵列数据, 分别计算其多尺度样本熵和多尺度排列熵. 结果表明, 使用阵列数据代替相空间重构可以有效地提升两种熵算法的性能. 其中, 使用阵列数据的多尺度样本熵算法可以在低信噪比下对含噪目标信号与背景噪声进行有效地区分, 而使用阵列数据的多尺度排列熵算法可以更准确地揭示信号在不同时间尺度上的复杂度. 进一步地, 实测阵列数据分析也与仿真结果一致, 证明了阵列数据含有更丰富的系统信息. 而其隐含的更多信息可以有效地提升非线性特征参数的性能, 实现对不同类型系统的准确区分.Phase space reconstruction plays a pivotal role in calculating features of nonlinear systems. By mapping one-dimensional time series onto a high-dimensional phase space using phase space reconstruction techniques, the dynamical characteristics of nonlinear systems can be revealed. However, existing nonlinear analysis methods are primarily based on phase space reconstruction of single-channel data and cannot directly utilize the rich information contained in multi-channel array data. The reconstructed data matrix shows the structural similarities with multi-channel array data. The relationship between phase space reconstruction and array data structure, as well as the gain in nonlinear features brought by array data, has not been sufficiently studied. In this paper, two classical nonlinear features: multiscale sample entropy and multiscale permutation entropy are adopted. The array multi-channel data are used to replace the phase space reconstruction step in algorithms so as to enhance the algorithmic performance. Initially, the relationship between phase space reconstruction parameters and actual array structures is analyzed, and conversion relationships are established. Then, multiple sets of simulated and real-world array data are used to evaluate the performances of the two entropy algorithms. The results show that substituting array data for phase space reconstruction effectively improves the performances of both entropy algorithms. Specifically, the multiscale sample entropy algorithm, when applied to array data, allows for distinguishing between noisy target signals from background noise at low signal-to-noise ratios. At the same time, the multiscale permutation entropy algorithm using array data reveals the complex structure of signals on different time scales more accurately.
-
Keywords:
- nonlinear dynamics /
- array data analysis /
- multiscale sample entropy /
- multiscale permutation entropy
[1] [2] [3] [4] [5] [6] [7] [8] [9] [10] [11] [12] [13] [14] [15] [16] [17] [18] [19] [20] [21] [22] [23] [24] [25] [26] -
舰船
类型通道1-
通道2通道2-
通道3通道3-
通道4通道4-
通道5平均时间
延迟舰船1 22 23 22 18 21.25 舰船2 20 21 21 17 19.75 -
[1] [2] [3] [4] [5] [6] [7] [8] [9] [10] [11] [12] [13] [14] [15] [16] [17] [18] [19] [20] [21] [22] [23] [24] [25] [26]
计量
- 文章访问数: 648
- PDF下载量: 11
- 被引次数: 0








下载: