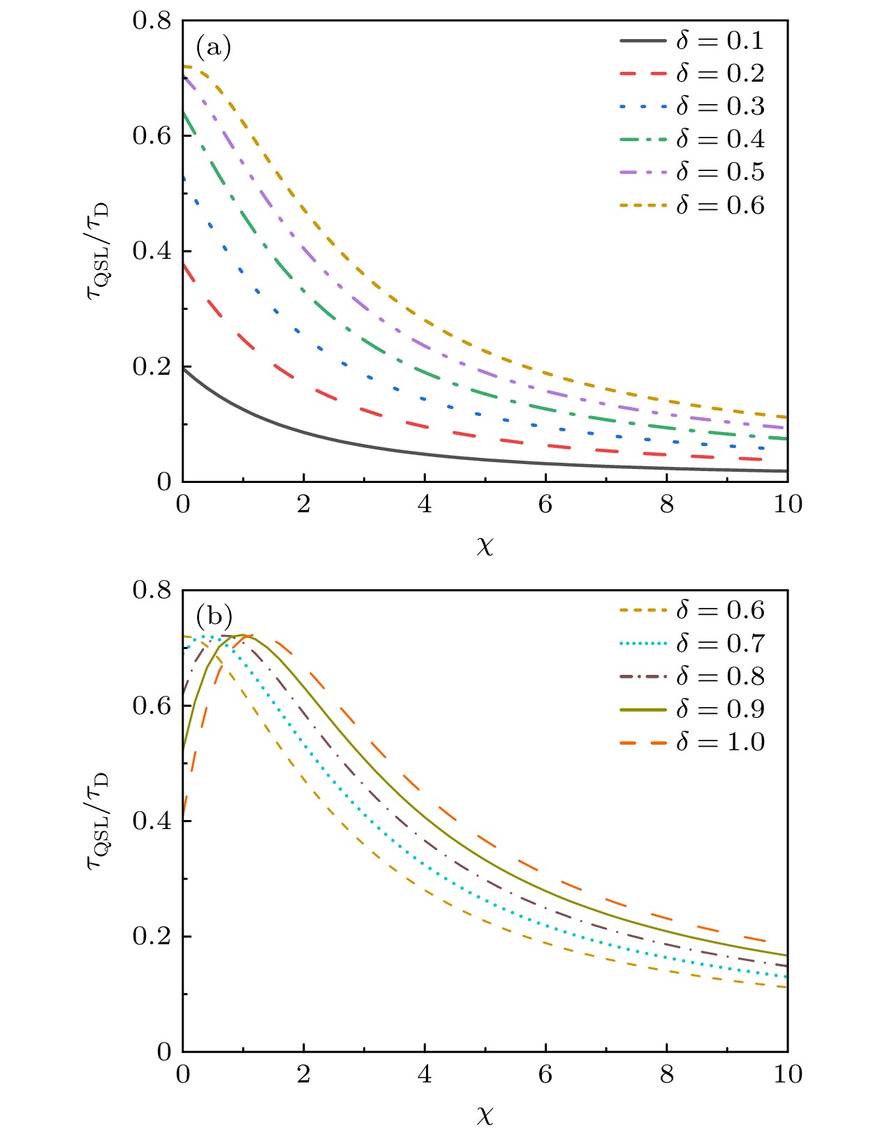
The exploration of the quantum nature of gravity has always been the focus of academic research. In this work, we consider a double “gravitational cat state” quantum system consisting of a pair of massive particles coupled with gravitational interaction confined in their respective double potential wells. Specifically, we model the double “gravitational cat state” system as a two-qubit system by assuming that the system is initially in the two-qubit Bell state, and investigate the effects of stable classical field and decayed field noise on the quantum speed limit time (QSLT) and trace distance discord (TDD) dynamics of the double “gravitational cat state”. The results show that the QSLT can be controlled by changing the parameters of the system and the environment, and the quantum state dynamic evolution of the system with massive particles can be accelerated. The quantum state evolution can be accelerated by increasing the gravitational coupling intensity between the two massive particles. The decay rate of the decaying field can also regulate the QSLT of the system to a certain extent, so as to accelerate the quantum state evolution. Under the influence of decaying field noise, it is worth noting that the intensity of gravitational coupling affects the frequency of quantum discord oscillations in this two-particle system. The QSLT shows an oscillating trend with time: rapidly increasing to a certain value in a short period of time, then beginning to decline, and then oscillating until it reaches a stable value. That is to say, the evolution of quantum states goes through an oscillatory cycle of first deceleration and then acceleration until the evolution rate becomes stable after a certain period of time. At the same time, there are similar oscillations in the dynamics of quantum discord. Moreover, by comparing these two, it is found that the QSLT decreases in the process of increasing the quantum discord in the system. When the discord oscillation has regularity, the QSLT tends to a certain value, and the quantum discord of the double “gravitational cat state” system has a certain relationship with the QSLT. In other words, the quantum discord will affect the rate of quantum state evolution to some extent, and the increase of quantum discord between systems will be more conducive to the evolution of quantum states.