搜索

x

留言板

姓名
邮箱
手机号码
标题
留言内容
验证码

引用本文:
Citation:

王凌云, 刘宏伟, 袁建强, 谢卫平, 栾崇彪, 李洪涛, 张建德, 谌怡, 何泱, 刘小俐, 高彬
cstr: 32037.14.aps.74.20241608

Various operating modes of optically controlled multi-gate thyristors

WANG Lingyun, LIU Hongwei, YUAN Jianqiang, XIE Weiping, LUAN Chongbiao, LI Hongtao, ZHANG Jiande, CHEN Yi, HE Yang, LIU Xiaoli, GAO Bin
cstr: 32037.14.aps.74.20241608
Article Text (iFLYTEK Translation)
PDF
HTML
导出引用
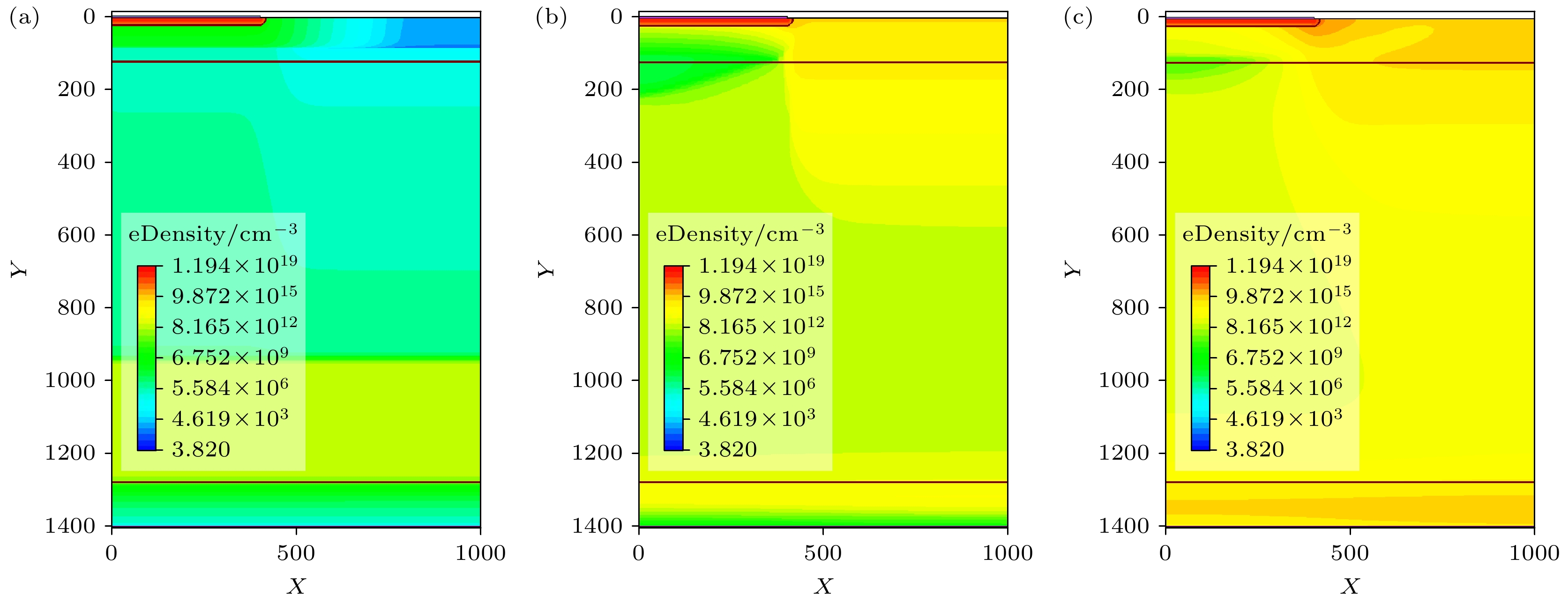
  • 为了提升半导体开关的峰值功率与导通速度, 针对光控多门极晶闸管结构开展了系列实验研究, 重点探讨了不同光注入参数对开关特性的影响. 研究发现, 在不同激光峰值功率条件下, 开关芯片展现出不同的导通特性. 通过建立开关模型, 并对注入光参数及电路参数进行对比分析, 本工作提出了光控多门极晶闸管的3种工作模式设想: 光致线性模式(A模式)、场致非线性模式(C模式)和混合放大模式(B模式). 为验证这些工作模式, 我们进行了针对性的验证测试, 结果证实了该光控多门极晶闸管具有不同导通特性的工作模式. 开关多工作模式的发现与验证, 大幅度提升了功率半导体开关器件的导通速度(di/dt)水平和峰值功率. 在23 mm直径芯片上, A模式获得了4 kV, 8 kA, 440 kA/μs的窄脉冲; C模式获得了8.5 kV, 6.0 kA, 55 kA/μs的宽脉冲; 在38 mm直径芯片上, B模式获得了4.6 kV, 8.5 kA, 129 kA/μs的宽脉冲. 这些成果为超高峰值功率半导体开关组件的研发奠定了坚实的理论与实验基础.
    In order to meet the switching requirements of high-frequency pulsed-power systems and further enhance the peak power and turn-on speed of solid-state switches, comparative experiments on the structure of optically controlled multi-gate thyristors and the parameter of injected light are investigated in this work. The research results show that semiconductor chips based on the multi-gate thyristor structure exhibit different conduction characteristics under varying laser injection conditions, resulting in unique inflection point curves. By establishing a switching model and changing the injected light parameters and circuit parameter models, three conceptual operating modes for the optically controlled multi-gate thyristor are proposed, they being photonic linear mode (Mode A), field-induced nonlinear mode (Mode C), and hybrid amplification mode (Mode B).Based on these concepts, the experimental validation tests are conducted, and the three distinct operating characteristics of the optically controlled multi-gate thyristor are confirmed. In Mode A, the conduction process is mainly related to the injected light power parameters, which is similar to the scenario in the linear mode of traditional light-guided switches, thus Mode A is suitable for the narrow pulse width applications. Mode C mainly focuses on carrier multiplication after injection, resembling the conduction characteristics of super thyristors (SGTO), and this mode is suitable for wide pulse width and high current applications. In Mode B, its initial conduction is related to the injected light parameters, while the later carrier multiplication continues from the earlier photonic linear mode, achieving characteristics of both fast rise time and wide pulse width, effectively integrating the advantages of light-guided switches and SGTOs.In Mode A, when injected laser energy is 8.5 mJ, a pulse width is 10 ns, and peak power is 0.85 MW, the switch operates at a voltage of 5.2 kV, an output current of 8.1 kA, turn-on time (10%–90%) of 18.4 ns, with a di/dt value reaching 440 kA/μs. The main characteristic is that the di/dt of the switch is linearly related to the injected laser energy, thereby achieving a fast rise time output, which reflects the photonic linear conduction mode. This mode is suitable for high-power, narrow-pulse, and fast-rise-time applications, such as high-power microwave sources, and its characteristics are similar to those of gas switches.In Mode C, when triggering laser energy is set to 250 μJ, a pulse width is 210 ns, and peak power is 1200 W, the switch operates at a voltage of 8.5 kV, a short-circuit current of 6 kA and a current rise time of 110 ns, achieving a di/dt value exceeding 55 kA/μs. The key characteristic is that the di/dt of the switch is unrelated to the injected laser energy but is related to the electric field applied across the switch, thus it can operates at large current and wide pulse width, which reflects the field-induced nonlinear conduction mode. This mode is suitable for high-power, wide-pulse, and slower-rise-time applications, such as large current detonation and electromagnetic drives, and its characteristics are similar to those of igniter tubes and triggered light.In Mode B, when triggering laser energy is set to 10 mJ, a pulse width is 20 ns, and peak power is 0.5 MW, the switch operates at a voltage of 4.6 kV, with a short-circuit current reaching 8.5 kA and a current rise time of 66 ns, achieving a di/dt value exceeding 129 kA/μs. The main characteristic is that the initial conduction of the switch satisfies the photonic linear conduction mode, while the later conduction exhibits the field-induced nonlinear conduction mode, thus achieving both fast-rise-time output and the capability for large current and wide pulse width, reflecting a hybrid conduction mode. This mode is suitable for high-power and wide-pulse applications, such as accelerator power supplies, its characteristics are similar to those of hydrogen thyratrons and pseudo-spark switches.The discovery and validation of multiple operating modes for the switch significantly enhance the di/dt and peak power of power semiconductor switching devices, laying a theoretical and experimental foundation for the development of semiconductor switches with ultra-high peak power. Additionally, the switching devices are packaged according to their different operating modes and have been used in accelerator power supplies, solid-state detonators, and high-stability pulse drive sources, achieving positive results.
      通信作者: 王凌云, 101kpa@sina.com
    • 基金项目: 装发预研基金(批准号: 614260501030117)和国家自然科学基金(批准号: 51807185)资助的课题.
      Corresponding author: WANG Lingyun, 101kpa@sina.com
    • Funds: Project supported by the Equipment Development Pre-research Fund, China (Grant No. 614260501030117) and the National Natural Science Foundation of China (Grant No. 51807185).
    [1]

    [2]

    [3]

    [4]

    [5]

    [6]

    [7]

    [8]

    [9]

    [10]

    [11]

    [12]

    [13]

    [14]

    [15]

    [16]

    [17]

    [18]

    [19]

    [20]

    [21]

    [22]

    [23]

    [24]

    [25]

  • 激光功率
    /MW
    激光能量
    /mJ
    充电电压
    /kV
    电压下降
    时间/ns
    电流峰值
    /kA
    电流上升
    时间/ns
    导通延迟
    时间/ns
    电流脉冲
    宽度/ns
    开关峰值
    功率/MW
    功率
    比值 N
    di/dt/
    (kA·μs–1)
    2.16 21.6 4.5 44.3 10.54 67.2 13.5 652 47.4 22 157
    1.92 19.2 4.5 44.6 10.54 67.3 12.6 654 47.4 25 157
    1.68 16.8 4.5 45.4 10.48 65.3 12.1 665 47.2 28 160
    1.47 14.7 4.5 45.4 10.42 66.4 11 667 46.9 32 157
    1.32 13.2 4.5 46.3 10.34 64.3 10.1 661 46.5 35 161
    1.08 10.8 4.5 48.6 10.35 68 8.88 663 46.6 43 152
    0.87 8.7 4.5 50.2 10.07 71.6 10.2 684 45.3 52 141
    0.678 6.78 4.5 46 9.71 65.1 13.7 742 43.7 64 149
    0.6 6 4.5 47.4 9.71 65.1 13.5 742 43.7 73 149
    0.54 5.4 4.5 52.5 9.41 62.7 13.5 765 42.3 78 150
    0.46 4.6 4.5 60.3 9.17 63.3 13.4 795.6 41.3 90 145
    0.39 3.9 4.5 68 8.62 63 14.1 832 38.8 99 137
    0.3 3 4.5 128 8.52 70.5 15.4 829 38.3 128 121
    0.24 2.4 4.5 158.4 8.48 95.8 18.6 835 38.2 159 89
    0.162 1.62 4.5 196 8.39 130.4 25.9 842 37.8 233 64
    0.072 0.72 4.5 221 8.13 222 52.6 857 36.6 508 37
    0.057 0.57 4.5 254 8.23 199 96 848 37.0 650 41
    0.0474 0.474 4.5 249.7 8.23 202 102 850 37.0 781 41
    0.0438 0.438 4.5 263 8.22 197.8 108 869 37.0 845 42
    0.0372 0.372 4.5 265 8.19 208.9 119 858 36.9 991 39
    0.0312 0.312 4.5 278 8.17 218 133 852 36.8 1178 37
    0.0252 0.252 4.5 252 8.16 212 153 874 36.7 1457 38
    0.0186 0.186 4.5 251 8.13 203 181 878 36.6 1967 40
    0.0126 0.126 4.5 271 7.97 212 276 897 35.9 2846 38
    0.0048 0.048 4.5 351 7.78 245 406 955 35.0 7294 32
    下载: 导出CSV

    激光
    能量/mJ
    工作
    电压/kV
    短路
    电流/kA
    电流
    前沿/ns
    电流
    脉宽/ns
    di/dt
    /(kA·μs–1)
    0.9 4 1.88 66.8 75.0 28
    2.1 4 3.42 40 49.0 86
    2.6 4 3.75 36.6 46.0 102
    3.6 4 5.65 20.4 36.7 277
    4.6 4 5.84 18.8 36.0 311
    5.4 4 6.48 18.9 38.0 343
    6.3 4 7 18.7 37.7 374
    7.4 4 7.3 18.6 38.7 392
    8.5 4 7.91 18.6 38.3 425
    下载: 导出CSV

    激光
    能量/μJ
    工作
    电压
    /kV
    短路
    电流/kA
    电流
    前沿
    /ns
    di/dt
    /
    (kA·μs–1)
    2005.02.012816
    2006.02.812123
    2007.03.911833
    2008.05.411149
    2008.56.011055
    下载: 导出CSV
    Baidu
  • [1]

    [2]

    [3]

    [4]

    [5]

    [6]

    [7]

    [8]

    [9]

    [10]

    [11]

    [12]

    [13]

    [14]

    [15]

    [16]

    [17]

    [18]

    [19]

    [20]

    [21]

    [22]

    [23]

    [24]

    [25]

  • [1] 李聘滨, 滕浩, 田文龙, 黄振文, 朱江峰, 钟诗阳, 运晨霞, 刘文军, 魏志义. 基于平凹多通腔的非线性脉冲压缩技术. 必威体育下载 , 2024, 73(12): 124206. doi: 10.7498/aps.73.20240110
    [2] 李建鹏, 靳伍银, 赵以德. 多模式离子推力器输入参数设计及工作特性研究. 必威体育下载 , 2022, 71(7): 075203. doi: 10.7498/aps.71.20212045
    [3] 李建鹏, 赵以德, 靳伍银, 张兴民, 李娟, 王彦龙. 多模式离子推力器放电室和栅极设计及其性能实验研究. 必威体育下载 , 2022, 71(19): 195203. doi: 10.7498/aps.71.20220720
    [4] 柴金华, 陈飞. 准平行光干涉的滤波型多抖动相控方法研究. 必威体育下载 , 2018, 67(1): 014202. doi: 10.7498/aps.67.20171562
    [5] 祁云平, 南向红, 摆玉龙, 王向贤. 基于SPPs-CDEW混合模式的亚波长单缝多凹槽结构全光二极管. 必威体育下载 , 2017, 66(11): 117102. doi: 10.7498/aps.66.117102
    [6] 崔岁寒, 吴忠振, 肖舒, 刘亮亮, 郑博聪, 林海, 傅劲裕, 田修波, 朱剑豪, 谭文长, 潘锋. 筒内高功率脉冲磁控放电的电磁控制与优化. 必威体育下载 , 2017, 66(9): 095203. doi: 10.7498/aps.66.095203
    [7] 史国栋, 张海明, 包伯成, 冯霏, 董伟. 脉冲序列控制双断续导电模式BIFRED变换器的动力学建模与多周期行为. 必威体育下载 , 2015, 64(1): 010501. doi: 10.7498/aps.64.010501
    [8] 薛创, 丁宁, 孙顺凯, 肖德龙, 张扬, 黄俊, 宁成, 束小建. 脉冲功率驱动器与Z箍缩负载耦合的全电路数值模拟. 必威体育下载 , 2014, 63(12): 125207. doi: 10.7498/aps.63.125207
    [9] 周建伟, 梁静秋, 梁中翥, 田超, 秦余欣, 王维彪. 光控液晶光子晶体微腔全光开关. 必威体育下载 , 2013, 62(13): 134208. doi: 10.7498/aps.62.134208
    [10] 黄培培, 刘大刚, 刘腊群, 王辉辉, 夏梦局, 陈颖. 单路脉冲功率真空装置的三维数值模拟研究. 必威体育下载 , 2013, 62(19): 192901. doi: 10.7498/aps.62.192901
    [11] 向飞, 谭杰, 罗敏, 王淦平, 康强. 多模块快直线变压器高功率脉冲源的研究. 必威体育下载 , 2011, 60(6): 064102. doi: 10.7498/aps.60.064102
    [12] 李伟昌, 王兆华, 刘成, 滕浩, 魏志义. 飞秒超强激光多通预放大过程中的脉冲信噪比研究. 必威体育下载 , 2011, 60(12): 124210. doi: 10.7498/aps.60.124210
    [13] 王金平, 许建平, 徐杨军. 恒定导通时间控制buck变换器多开关周期振荡现象分析. 必威体育下载 , 2011, 60(5): 058401. doi: 10.7498/aps.60.058401
    [14] 郝艳捧, 阳林, 涂恩来, 陈建阳, 朱展文, 王晓蕾. 实验研究大气压多脉冲辉光放电的模式和机理. 必威体育下载 , 2010, 59(4): 2610-2616. doi: 10.7498/aps.59.2610
    [15] 杨炳星, 夏光琼, 林晓东, 吴正茂. 光脉冲注入下VCSEL的偏振开关特性. 必威体育下载 , 2009, 58(3): 1480-1483. doi: 10.7498/aps.58.1480
    [16] 屈光辉, 施 卫. 光导开关中的感生电流与传导电流. 必威体育下载 , 2006, 55(11): 6068-6072. doi: 10.7498/aps.55.6068
    [17] 令维军, 王兆华, 王 鹏, 贾玉磊, 田金荣, 魏志义. 双向抽运钛宝石的高效率多通脉冲主放大研究. 必威体育下载 , 2005, 54(3): 1208-1212. doi: 10.7498/aps.54.1208
    [18] 程兆谷, 李现勤, 柴雄良, 高海军, 刘翠青. 预电离脉冲群开关技术高功率脉冲CO2激光器. 必威体育下载 , 2004, 53(5): 1362-1366. doi: 10.7498/aps.53.1362
    [19] 邵浩, 刘国治. 向外发射同轴型虚阴极振荡器研究. 必威体育下载 , 2001, 50(12): 2387-2392. doi: 10.7498/aps.50.2387
    [20] 张树葵, 文国庆, 周丕璋, 王晓东, 满永在, 彭翰生, 王清月. 双向抽运钛宝石啁啾脉冲激光多通放大的理论与实验研究. 必威体育下载 , 1997, 46(5): 908-914. doi: 10.7498/aps.46.908
计量
  • 文章访问数:  1107
  • PDF下载量:  32
  • 被引次数: 0
出版历程
  • 收稿日期:  2024-11-19
  • 修回日期:  2025-01-10
  • 上网日期:  2025-01-14
  • 刊出日期:  2025-03-05

返回文章
返回
Baidu
map