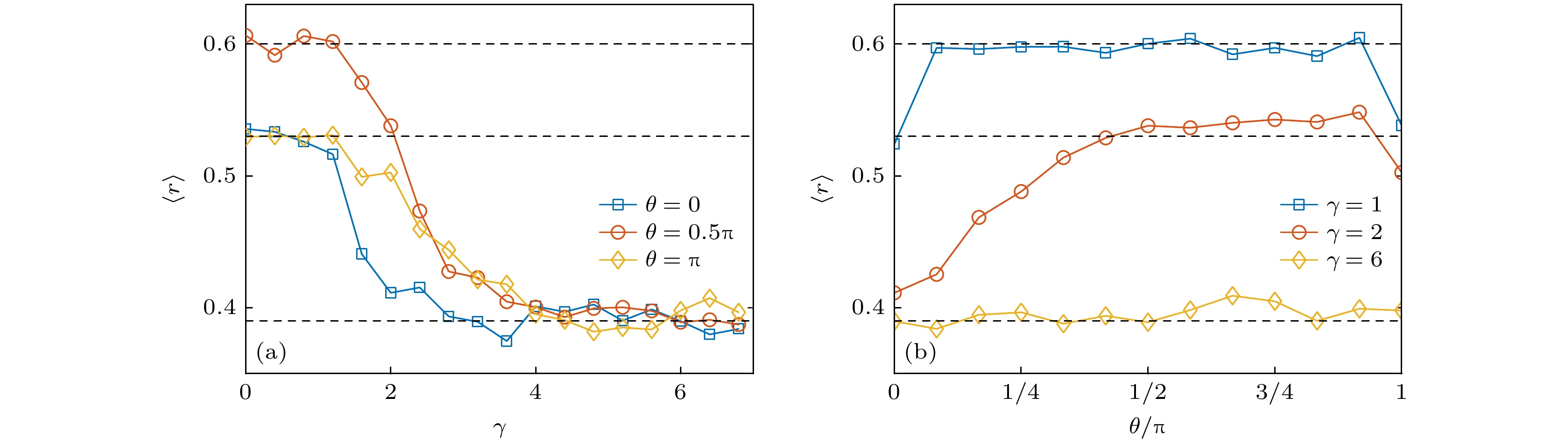
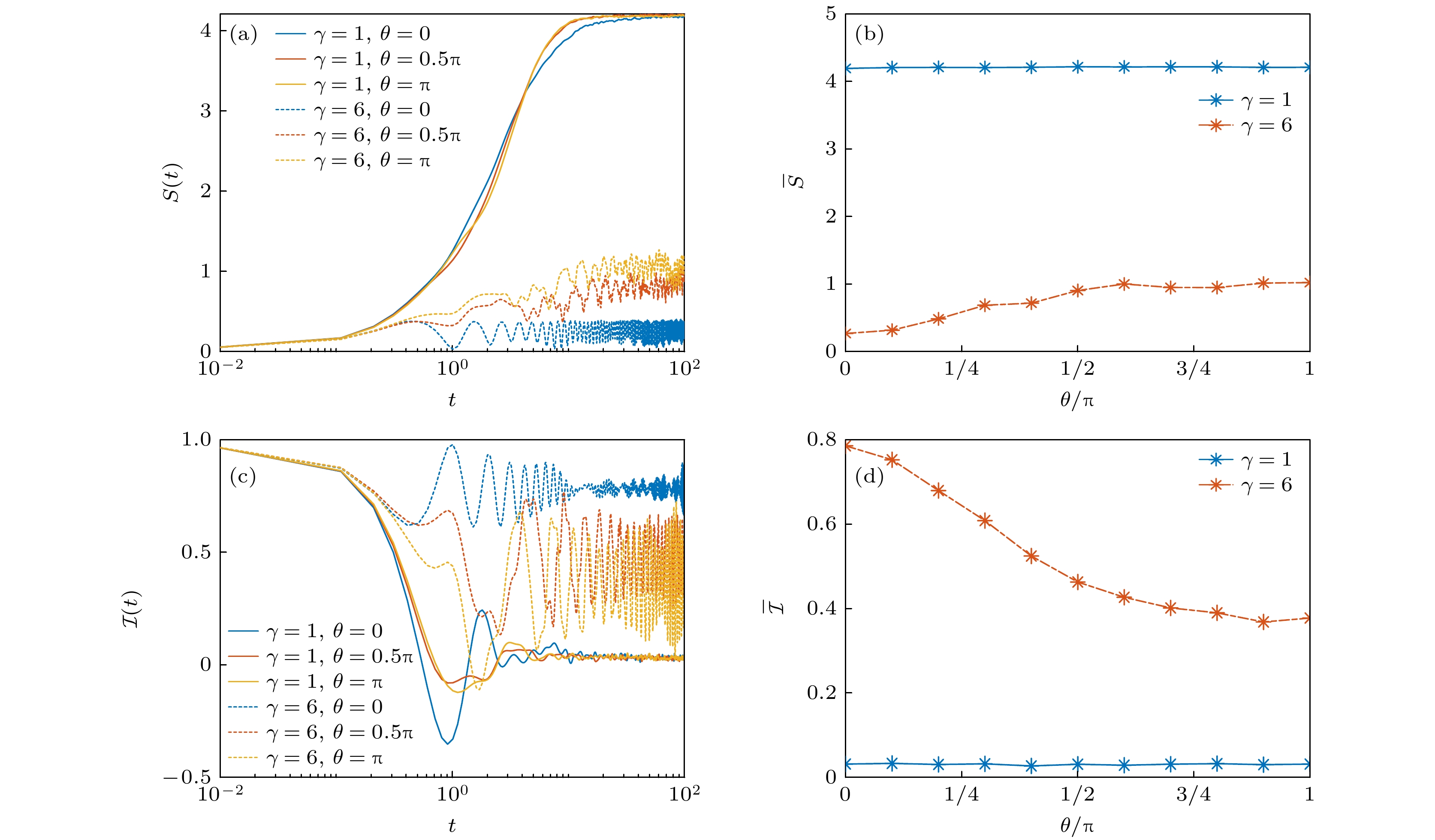
In this paper, we study a one-dimensional interacting anyon model with a Stark potential in the finite size. Using the fractional Jordan Wigner transformation, the anyons in the one-dimensional system are mapped onto bosons, which are described by the following Hamiltonian:$ \begin{aligned} \hat{H}^{\text{boson}}=-J\sum_{j=1}^{L-1}\left( \hat{b}_{j}^{\dagger}\hat{b}_{j+1}e^{i\theta \hat{n}_{j}}+h.c.\right)+\frac{U}{2}\sum_{j=1}^{L}\hat{n}_{j}\left( \hat{n}_{j}-1\right)+\sum_{j=1}^{L}{h}_{j}\hat{n}_{j},\;\;\;\;\;\;\;\;(7)\end{aligned}$where θ is the statistical angle, and the on-site potential is $h_{j}=-\gamma\left(j-1\right) +\alpha\left( \dfrac{j-1}{L-1}\right)^{2}$ with γ representing the strength of the Stark linear potential and α being the strength of the nonlinear part.Using the exact diagonalization method, we numerically analyze the spectral statistics, half-chain entanglement entropy and particle imbalance to investigate the onset of many-body localization (MBL) in this interacting anyon system, induced by the increasing of the linear potential strength. As the Stark linear potential strength increases, the spectral statistics transition from a Gaussian ensemble to a Poisson ensemble. In the ergodic phase, except for $\theta=0$ and π, where the mean value of the gap-ratio parameter $\left\langle r\right\rangle\approx 0.53$, due to the broken time reversal symmetry, the Hamiltonian matrix becomes a complex hermit one and $\left\langle r\right\rangle\approx 0.6$. In the MBL phase, $\left\langle r\right\rangle\approx 0.39$, which is independent of θ. However, in the intermediate γ regime, the value of $\left\langle r\right\rangle$ strongly depends on the choice of θ. The average of the half-chain entanglement entropy transitions from a volume law to an area law, which allows us to construct a θ-dependent MBL phase diagram. The time evolution of the half-chain entanglement entropy $S(t)$ increases linearly with time in the ergodic phase. In the MBL phase, $S(t)$ grows logarithmically with time, reaching a stable value that depends on the anyon statistical angle. The localization of particles in a quench dynamics can provide evidence for the breakdown of ergodicity and is experimentally observable. We observe that with the increasing of γ, the even-odd particle imbalance changes from zero to non-zero values in the long-time limit. In the MBL phase, the long-time mean value of the imbalance is dependent on the anyon statistical angle θ. From the Hamiltonian $\hat{H}^{\text{boson}}$, it can be inferred that the statistical behavior of anyon system equally changes the hopping interactions in boson system, which is a many-body effect. By changing the statistical angle θ, the many-body interactions in the system are correspondingly altered. And the change of the many-body interaction strength affects the occurrence of the MBL transition, which is also the reason for MBL transition changes with the anyon statistical angle θ. Our results provide new insights into the study of MBL in anyon systems and whether such phenomena persist in the thermodynamic limit needs further discussion in the future.