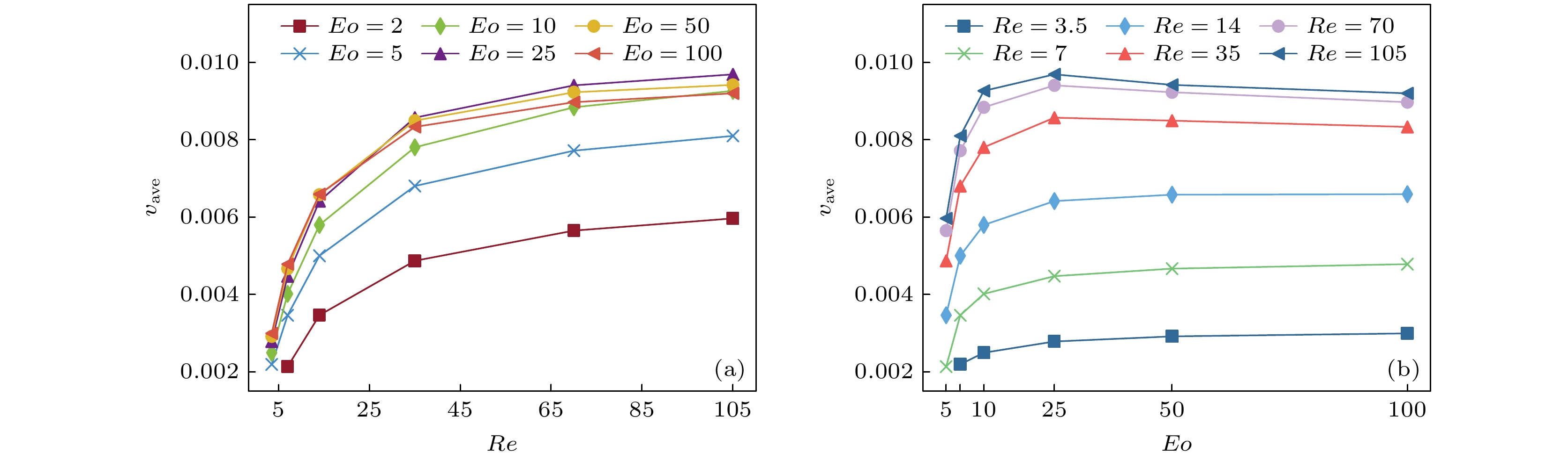
In this paper, a three-dimensional numerical simulation of the motion behavior of bubbles in complex porous medium channels in a large density ratio gas-liquid system is conducted based on the lattice Boltzmann method. The Eötvös number (Eo), contact angle (θ) and Reynolds number (Re) are systematically discussed with emphasis on the law of their coupling effect affecting bubble velocity, morphological evolution and stagnation phenomenon. The results show that the increase of contact angle will reduce the bubble velocity but intensify the velocity fluctuations, making the bubbles tend flat, while the increase of Eo number significantly suppresses the influence of the contact angle, stabilizes the bubble velocity, and makes its shape close to a bullet head shape. When the contact angle is large (θ > 90°) and the Eo number is small (Eo < 10), the adhesion force is significantly enhanced and the bubbles will stagnate inside the porous medium. Re number and contact angle compete in the generation of resistance, and have mutually reinforcing effects on the average velocity of bubbles and interface evolution. The larger contact angle makes the deformation of the bubble tail intensify and becomes unstable, and as the Re number further increases, the tail tentacles are more likely to break, forming residual bubbles. It is also found in this work that the coupling between Eo number and Re number significantly affects bubble behavior in motion and morphological evolution. Under the conditions of high Eo number (Eo ≥ 25) and high Re number (Re ≥14), the bubble velocity increases with the Eo number rising, and the trend becomes more significant as the Re number increases; while under the conditions of low Eo number (Eo < 25) and low Re number (Re < 14), the speed change pattern is completely opposite. This phenomenon is due to the high instability of bubble morphology under the conditions of high Eo number and high Re number, which affects the buoyancy and speed performance. The research results provide important guidance for optimizing the flow behavior of bubbles in porous medium.