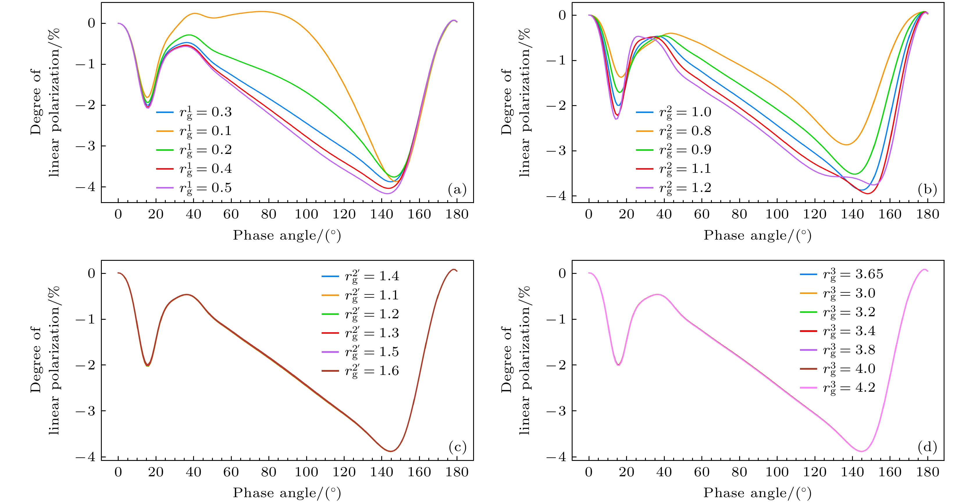
The PyMieDAP radiative transfer model is used in this work to simulate the radiation characteristics of Venus clouds and haze, thereby investigating how their microphysical characteristics affect linear polarization by comparing near-infrared polarization data from the SPICAV IR instrument on the Venus Express. The results show that single-scattered fluxes of the four particle modes decrease in a phase angle range from 0° to 120°, but increase near 160°. Mode 1 particles (upper haze) exhibit Rayleigh scattering characteristics, with polarization changing from positive to negative as the wavelength increases. Mode 2 and Mode 2' particles display two positive polarization peaks near 15° and 160°, respectively, with polarization reversing in the near-infrared. Mode 3 particles show oscillations in polarization near 105°, flipping from positive to negative between 155° and 165°. The primary polarization peak occurs near 15°, corresponding to the main rainbow, while a secondary peak between 150° and 160° is attributed to anomalous diffraction.The microphysical properties of upper clouds and haze (Mode 1 and Mode 2) significantly affect the linear polarization of Venus, while those of lower clouds (Mode 2' and Mode 3) have a minimum influence. A reduction in Mode 1 column density increases the polarization peak at the main rainbow, while an increase in Mode 2 column density has the opposite effect. Changes in modal radius enhance polarization peaks for Mode 1 and Mode 2, while increasing geometric standard deviation reduces polarization peaks and shifts their phase angles. The real part of the complex refractive index has a greater influence on polarization than the imaginary part. Simulations using the multilayer model show better agreement with SPICAV IR data and consistency with the larger particle sizes in Venus’ haze. The integrated linear polarization across the Venus disk varies with wavelength and phase angle, with the polarization being higher at the disk's edge. The variation in cloud coverage also influences polarization, with areas with fewer clouds exhibiting higher values. In the future, further research will be conducted on the influence of cloud and haze parameters on line polarization, for the inversion of these parameters is beyond the scope of this work.