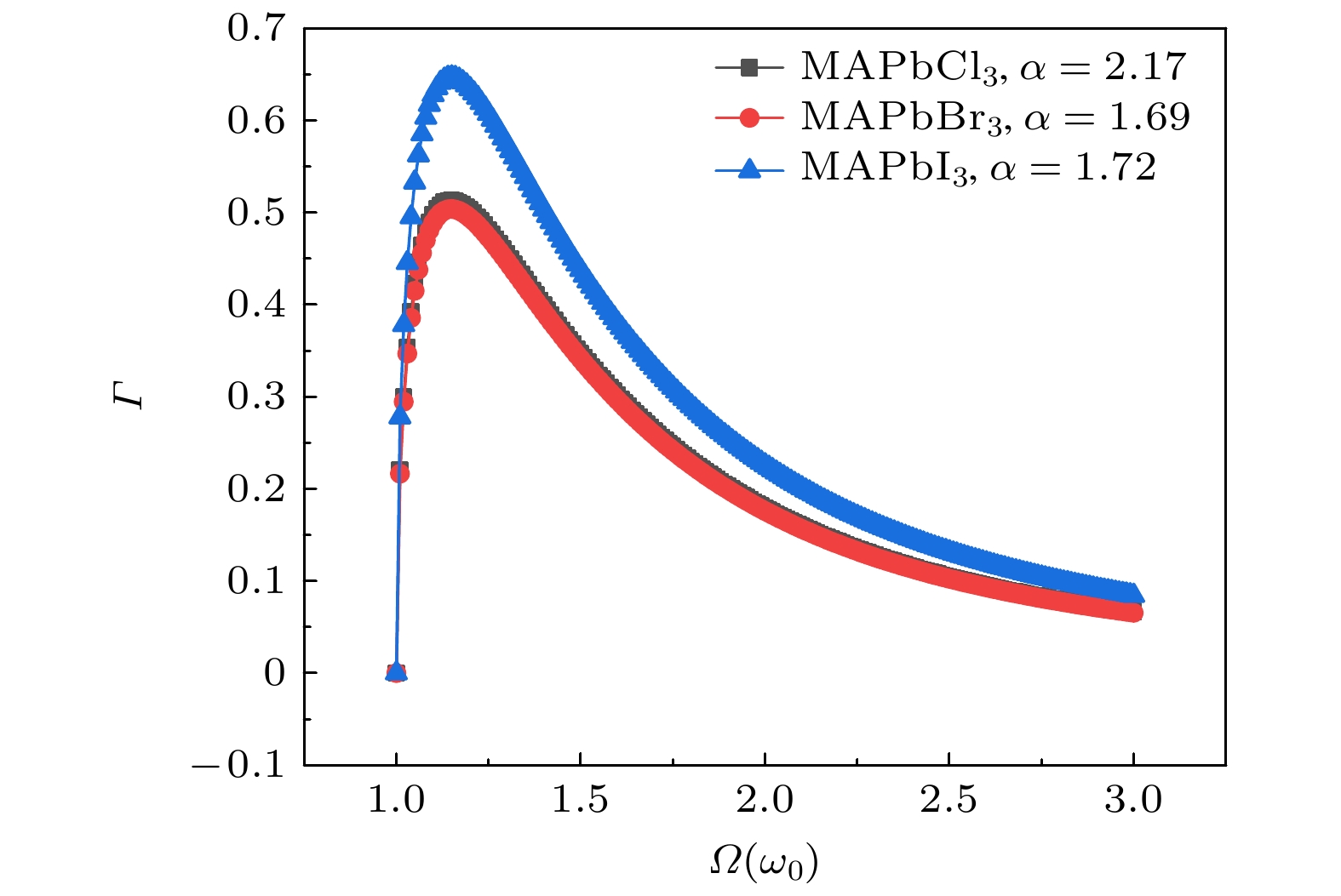
Perovskite quantum dots, as an emerging class of nanomaterial, have demonstrated significant potential applications in the field of optoelectronic energy conversion due to their unique optoelectronic properties. In particular, polarons play a crucial role in the optical and optoelectronic performance of perovskite quantum dots. Polaron formation, which involves the coupling of electrons with lattice phonons, can induce charge shielding effect and localization effect, thereby protecting charge carriers from scattering and recombining. This leads to longer carrier lifetimes and diffusion lengths, thereby enhancing the efficiency of optoelectronic energy conversion. In this study, a polaronic light absorption model is established using unitary transformation and the Larsen method, revealing the dependence of polaronic transition optical absorption on the electron-phonon coupling constant and effective mass in perovskite quantum dots. The results indicate that the vibration frequency, excited-state energy of polarons, and the transition spectral line frequency are closely related to the electron-phonon coupling strength and effective mass. Specifically, as the electron-phonon coupling constant increases, the vibration frequency and excited-state energy of polarons decrease, while the transition spectral line frequency increases. This finding not only elucidates the physical mechanism of polaronic optical absorption but also provides new insights and methods for optimizing the performance of perovskite quantum dot materials. Moreover, this research expands the application scope of perovskite quantum dots in fields such as photodetectors, light-emitting diodes (LEDs), and solar cells. For instance, in LEDs, the high photoluminescence quantum yield and tunable bandgap of perovskite quantum dots make them ideal luminescent materials. In solar cells, their excellent optoelectronic conversion efficiency and carrier transport properties can significantly enhance device performance. By further optimizing polaron-related characteristics, it is expected that the performance of perovskite quantum dots in these applications can be further improved.