-
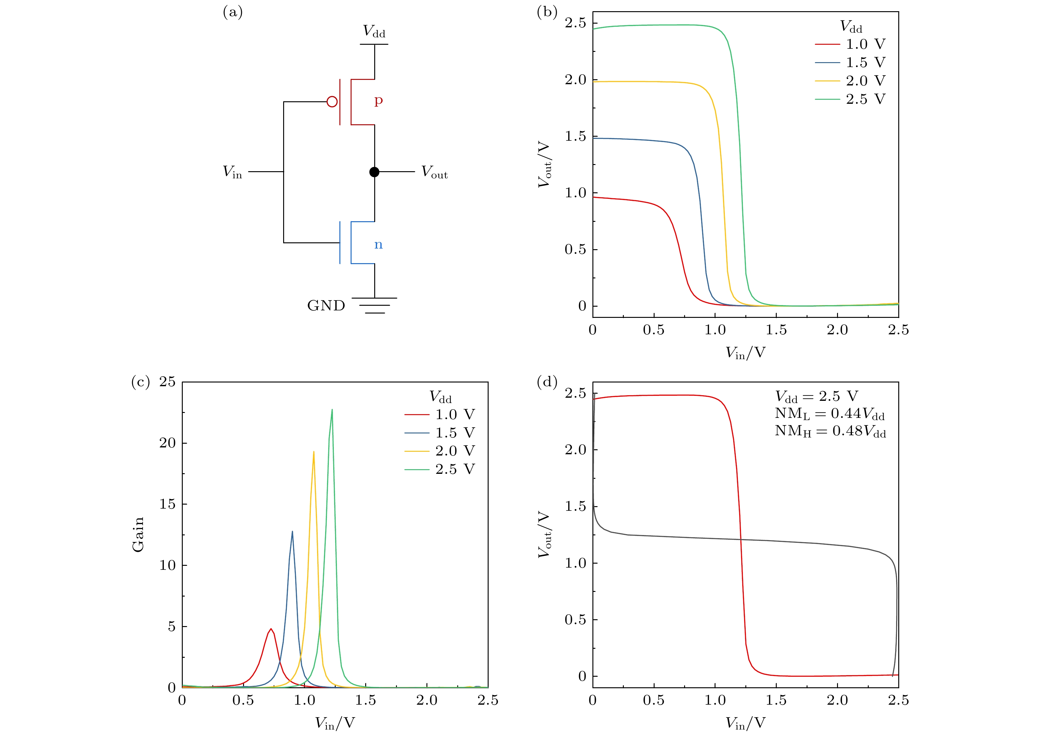
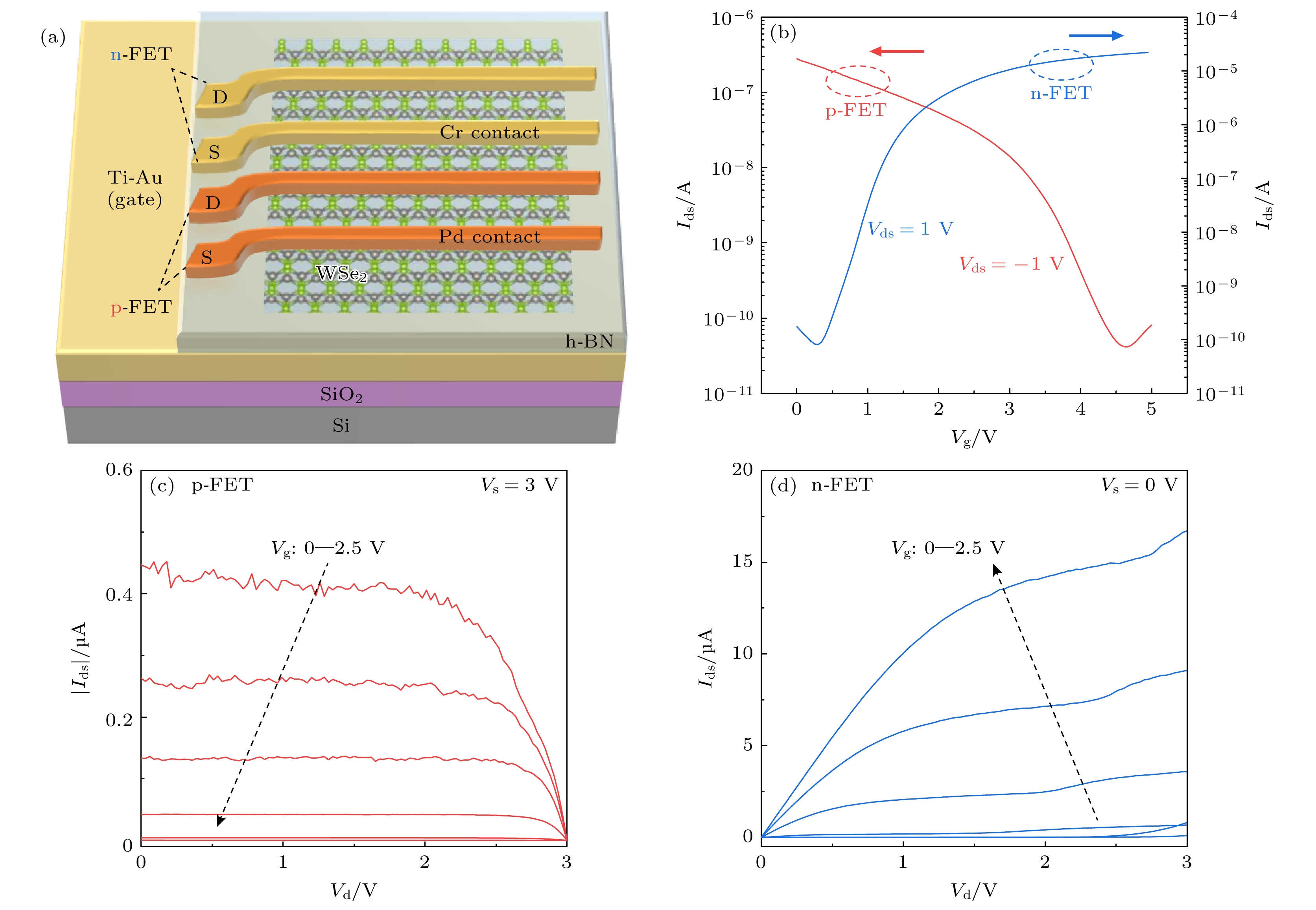
二维半导体材料凭借其独特的物理特性与优异的电学性能, 在后摩尔时代集成电路发展中展现出巨大潜力. 开发与二维材料兼容的极性调控方法, 已成为基于二维半导体构建互补逻辑电路、实现低功耗且高稳定性信息处理功能的关键, 有望为持续提升集成电路性能提供新路径. 本研究报道了一种基于一步退火工艺的二维半导体极性调控策略, Pd电极接触的WSe2晶体管的导电特性经退火由n型主导转变为p型主导; 而Cr电极接触的器件则始终保持n型主导的导电特性. 在此基础上, 通过在同一WSe2上选择性制备不同金属材料的源漏电极并结合一步退火工艺, 实现了互补晶体管的单片集成, 进而通过器件互联实现了反相器功能. 在2.5 V的电源电压(Vdd)下, 反相器增益达23, 总噪声容限达2.3 V(0.92 Vdd). 该研究为二维半导体的极性调控提供了全新的技术路径.Two-dimensional (2D) semiconductor materials exhibit tremendous potential for post-Moore integrated circuits due to their unique physical properties and superior electrical characteristics. However, critical challenges in polarity modulation and complementary integration have significantly hindered the practical applications of 2D materials. The development of compatible polarity-modulation techniques has emerged as a critical step in achieving device functional integration for constructing 2D materials-based complementary circuits. This study innovatively proposes a one-step-annealing-driven polarity-modulation strategy for 2D semiconductors. It is demonstrated in this study that the conduction behavior of Pd-contacted WSe2 transistors transitions from n-type to p-type dominance after annealing, while Cr-contacted devices maintain n-type dominance. Based on this polarity-modulation strategy, by selectively fabricating source and drain electrodes with different metal materials (Pd and Cr) on the same WSe2, combined with a one-step annealing process, the monolithic integration of complementary transistors is achieved, thereby realizing inverter function through device interconnection. The fabricated inverters exhibit a high voltage gain of 23 and a total noise margin of 2.3 V(0.92 Vdd) at an applied Vdd of 2.5 V. This work not only establishes a novel technical pathway for polarity modulation in 2D materials but also provides crucial technological support for developing 2D semiconductor-based complementary logic circuits.
-
Keywords:
- tungsten diselenide /
- polarity modulation /
- complementary transistors
-
[1] [2] [3] [4] [5] [6] [7] [8] [9] [10] [11] [12] [13] [14] [15] [16] [17] [18] [19] [20] [21] [22] [23] [24] [25] [26] [27] [28] [29] [30] [31] [32] [33] [34] [35]
计量
- 文章访问数: 399
- PDF下载量: 8
- 被引次数: 0








下载: