搜索

x

留言板

姓名
邮箱
手机号码
标题
留言内容
验证码

引用本文:
Citation:

李岩, 任志红
cstr: 32037.14.aps.74.20250715

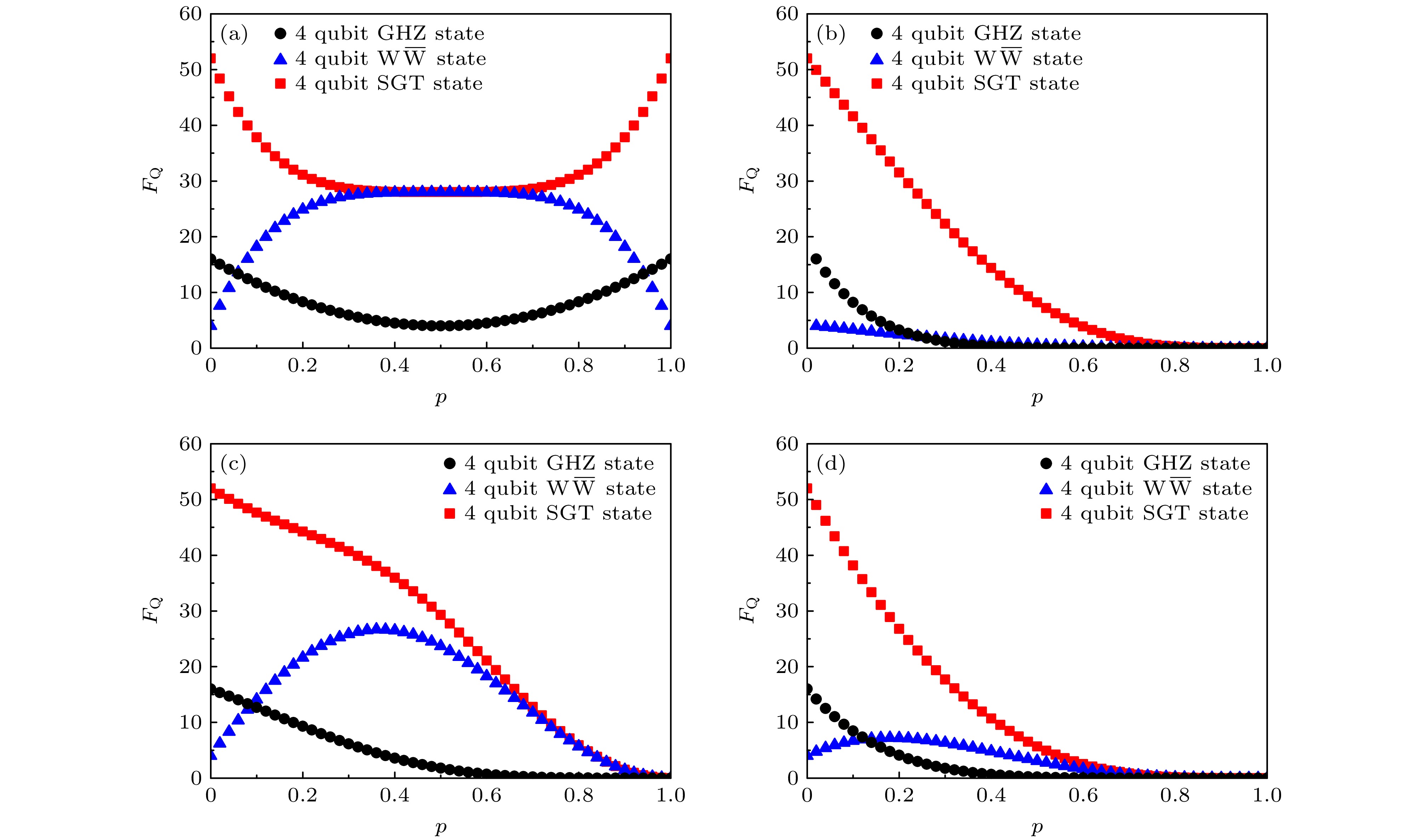
Entanglement detection and classification of multi-qubit GHZ state, ${\mathrm{W}}\overline{{\mathrm{W}}} $ state, and SGT state under one-axis twisting model

LI Yan, REN Zhihong
cstr: 32037.14.aps.74.20250715
Article Text (iFLYTEK Translation)
PDF
HTML
导出引用
计量
  • 文章访问数:  782
  • PDF下载量:  18
  • 被引次数: 0
出版历程
  • 收稿日期:  2025-06-03
  • 修回日期:  2025-07-27
  • 上网日期:  2025-08-26
  • 刊出日期:  2025-10-20

返回文章
返回
Baidu
map