搜索

x

留言板

姓名
邮箱
手机号码
标题
留言内容
验证码

引用本文:
Citation:

程宇清, 刘海风, 李琼, 王帅创, 王丽芳, 方俊, 高兴誉, 孙博, 宋海峰, 王建国
cstr: 32037.14.aps.74.20250861

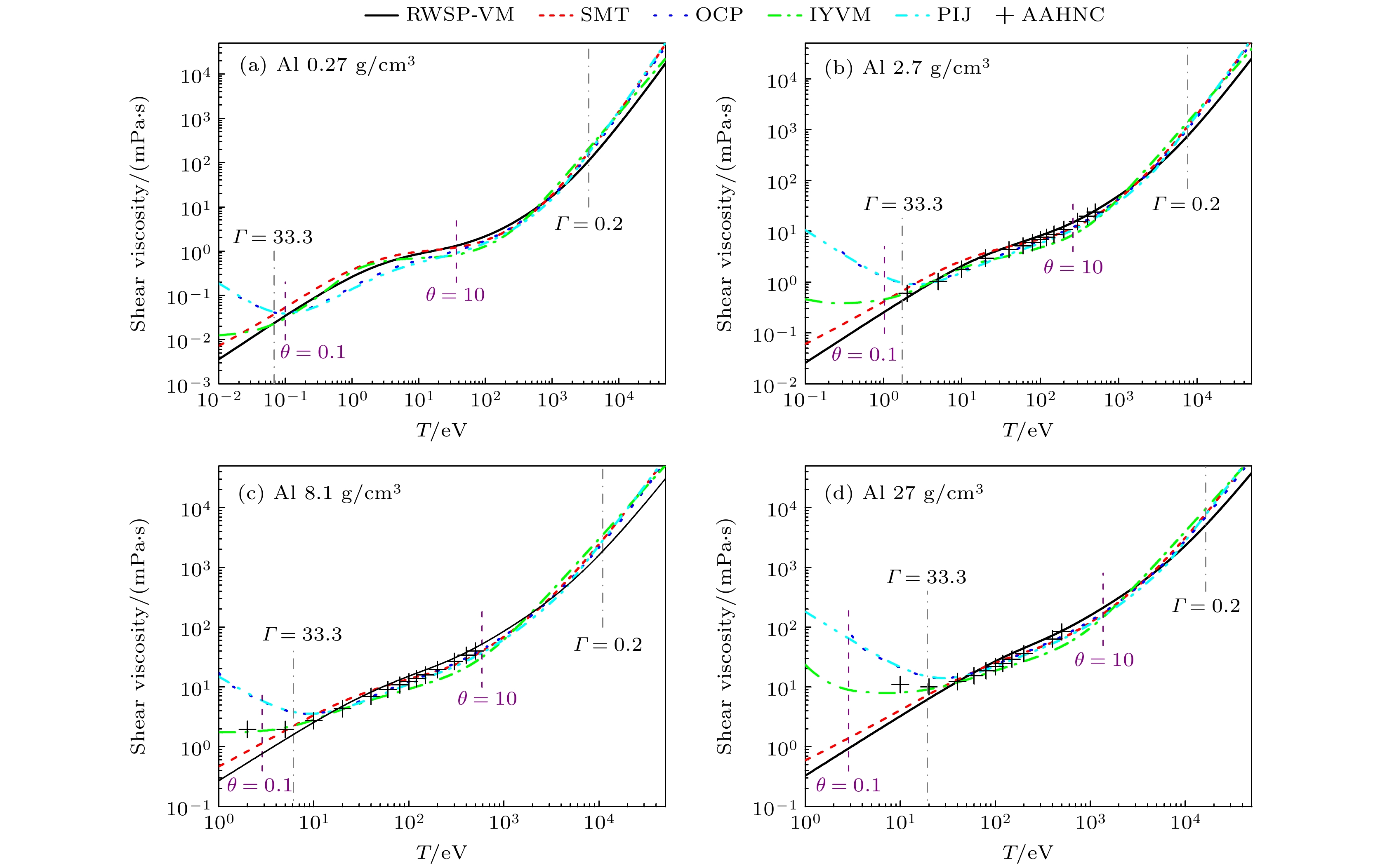
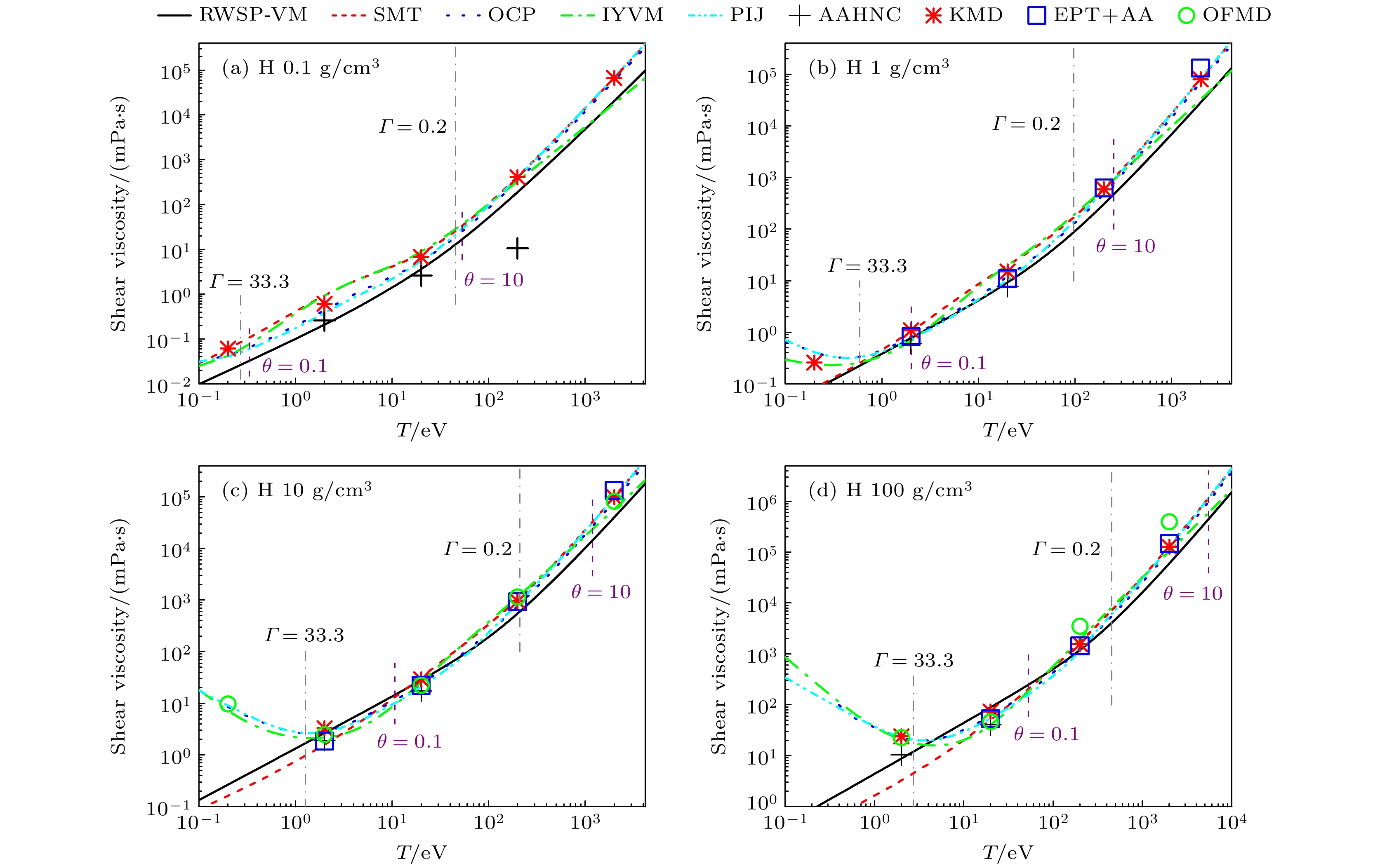
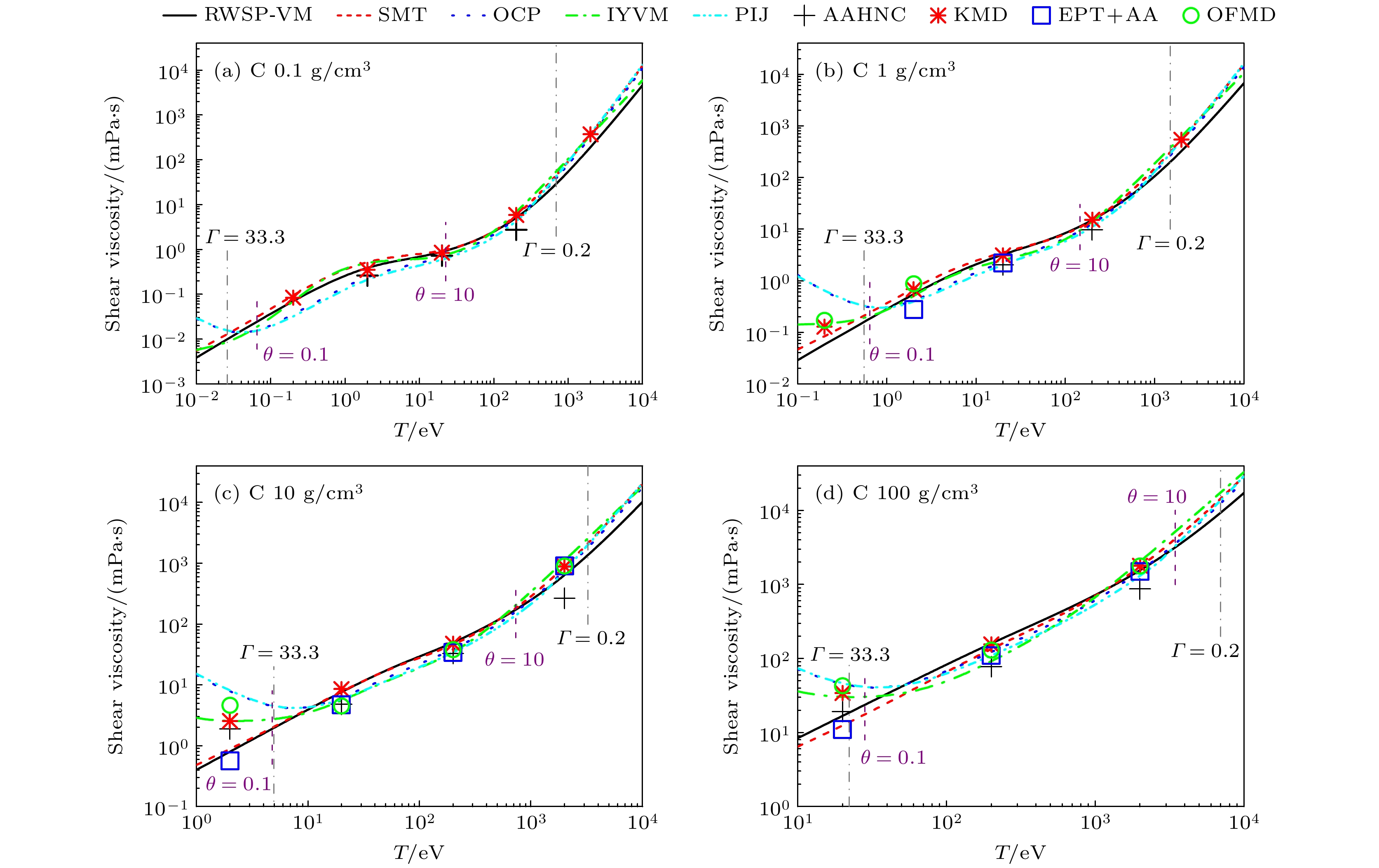
Research progress and data assessment of shear viscosity under extreme conditions of warm and hot dense matters

CHENG Yuqing, LIU Haifeng, LI Qiong, WANG Shuaichuang, WANG Lifang, FANG Jun, GAO Xingyu, SUN Bo, SONG Haifeng, WANG Jianguo
cstr: 32037.14.aps.74.20250861
Article Text (iFLYTEK Translation)
PDF
HTML
导出引用
在线预览
计量
  • 文章访问数:  986
  • PDF下载量:  39
  • 被引次数: 0
出版历程
  • 收稿日期:  2025-07-01
  • 修回日期:  2025-09-06
  • 上网日期:  2025-10-11
  • 刊出日期:  2025-12-20

返回文章
返回
Baidu
map