搜索

x
中国物理学会期刊

过渡金属二硫族化合物异质结构中层间激子的形成判定与调控机制

CSTR:32037.14.aps.74.20250890

Formation, identification, and regulation mechanisms of interlayer excitons in transition metal dichalcogenides heterostructures

CSTR:32037.14.aps.74.20250890
PDF
HTML
导出引用
  • 层间激子是由范德瓦耳斯异质结构中相邻材料层内的电子与空穴通过库仑作用束缚形成的激子, 通常表现出空间间接性, 因而具有较大结合能、长寿命及主要沿垂直方向分布的电偶极矩, 在低维激子物理与新型光电器件研究中具有重要意义. 过渡金属二硫族化合物异质结构因其天然的能带对齐特性成为理想研究平台. 本文综述了层间激子的形成机制与判定方法, 总结了在典型能带结构下激子的能量分布、空间归属与态属性, 并归纳了光致发光光谱分析、瞬态吸收和电调制吸收等表征手段的识别特征. 在此基础上, 系统梳理了电场、磁场、光场、应力、扭转角等外部条件对激子能级、复合行为与光谱特征的调控规律, 并介绍了温度变化、多激子作用和多层堆叠结构等辅助策略, 揭示了层间激子的行为受能带结构、界面耦合影响及局域势场共同作用的复杂性, 对构建可控激子态与激子功能器件具有重要意义, 有望推动其在低功耗逻辑、量子光源与集成光电子芯片等领域的实际应用.

    Interlayer excitons (IXs), formed in type-II van der Waals (vdW) heterostructures where electrons and holes reside in adjacent monolayers, have attracted increasing interest due to their spatially indirect nature, long lifetime, strong Coulomb binding, and unique out-of-plane dipole moment. These features make IXs a promising platform for exploring many-body physics and realizing next-generation excitonic devices. This review systematically presents the formation mechanisms, identification methods, and external modulation strategies of interlayer excitons in two-dimensional materials.
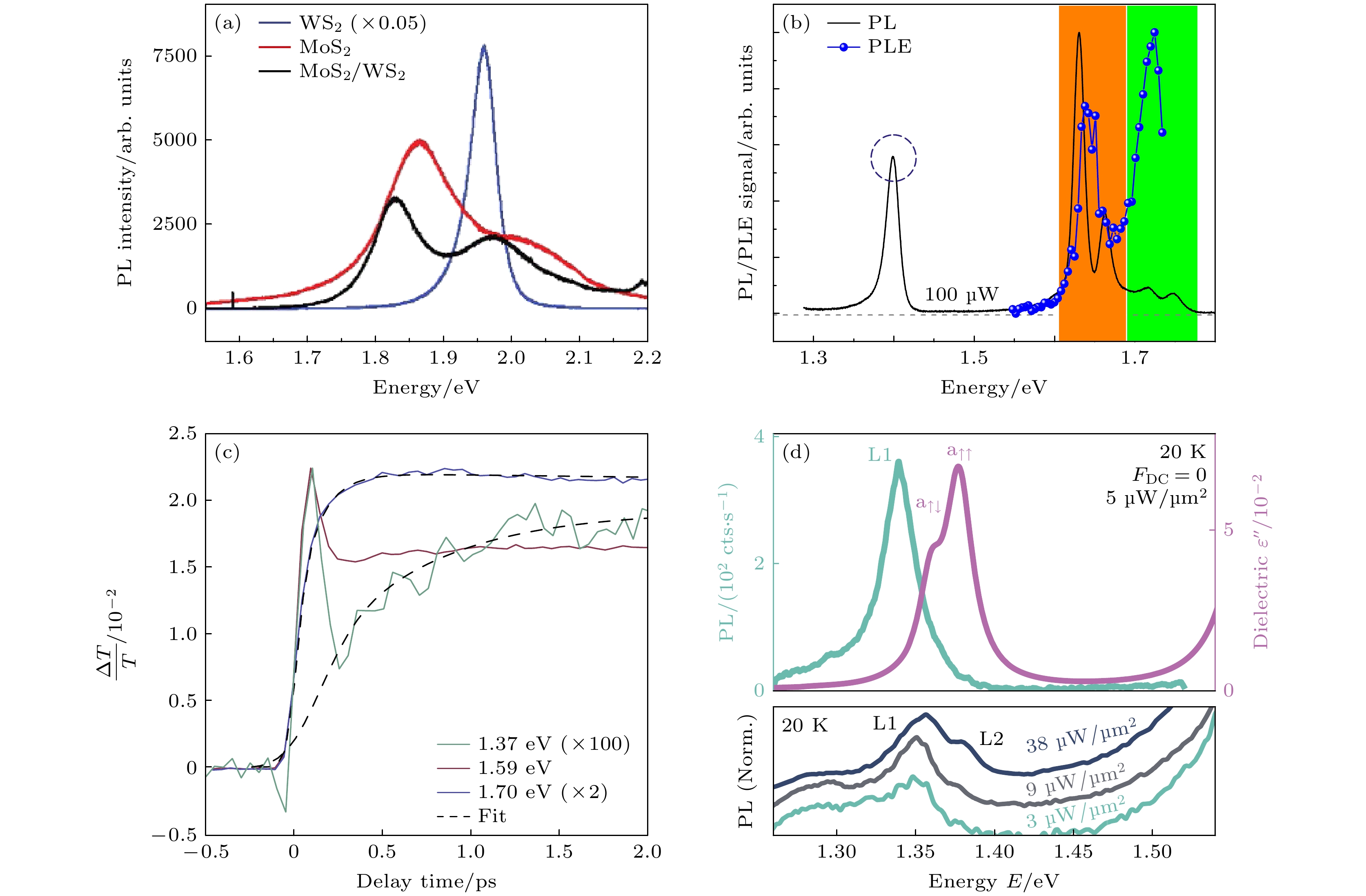
    First, we analye the prerequisites for the IX formation, emphasizing the role of band alignment, interlayer charge transfer, and momentum mismatch. Recent studies have also revealed that direct interlayer absorption is an alternative pathway for IX generation. For identification, we summarize multiple optical techniques, including photoluminescence (PL), photoluminescence excitation (PLE), transient absorption (TA), and electro-absorption (EA). These techniques can detect IX energy positions, binding energies, and recombination pathways. However, distinguishing interlayer excitons from defect-bound or momentum-indirect excitons remains challenging in experiment due to spectral overlap and measurement-dependent explanation.
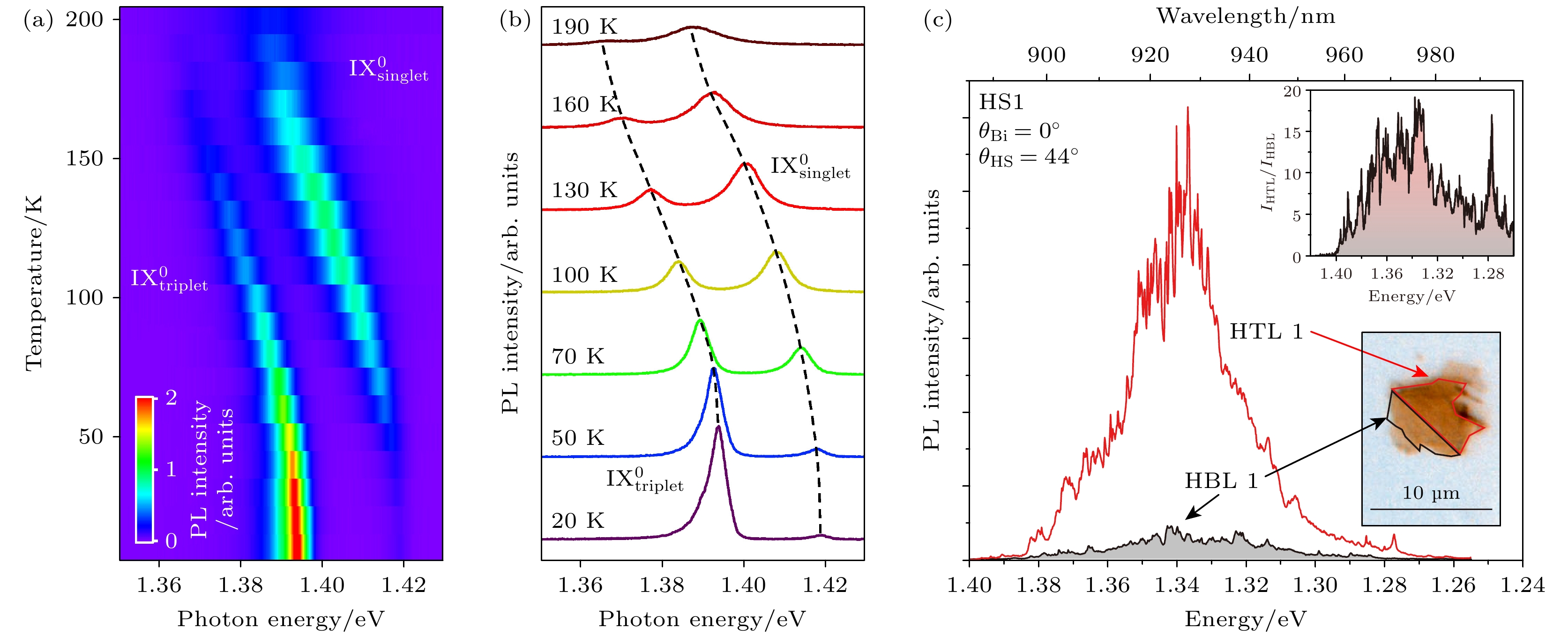
    Then, we review five primary external modulation methods: electric field, strain, magnetic field, twist angle, and optical cavities. Electric fields can realize fast, reversible tuning of exciton energy levels, especially for excitons with large dipole moments. Strain provides nanoscale spatial control and can reshape local potential landscapes. Magnetic fields affect the spin-valley configurations and allow access to exciton polarization dynamics. Moiré engineering via twist angles introduces periodic potential landscapes, yielding moiré-trapped IXs and novel hybrid exciton–polaritons. Optical cavities enhance exciton radiative recombination via light–matter coupling and open up possibilities for strong coupling regimes. We further discuss additional strategies such as substrate-induced screening, dielectric environment, probe-induced local stress, and ferroelectric gating, all of which enrich the modulation toolbox.
    To facilitate cross-comparison, we present a comprehensive summary table comparing different modulation approaches in terms of tuning targets, dimensionality, efficiency, dynamic responsiveness, and implementation complexity.
    Finally, we discuss emerging applications of IXs in optoelectronic and quantum devices. Their tunable emission and long-lived nature make them suitable for exciton-based memory, logic, lasers, and reconfigurable photonic circuits. With the development of material synthesis, interface engineering, and hybrid integration, interlayer excitons are evolving from basic quasiparticles to programmable excitonic elements in chip-scale photonics and quantum information technologies.

    目录

    返回文章
    返回
    Baidu
    map