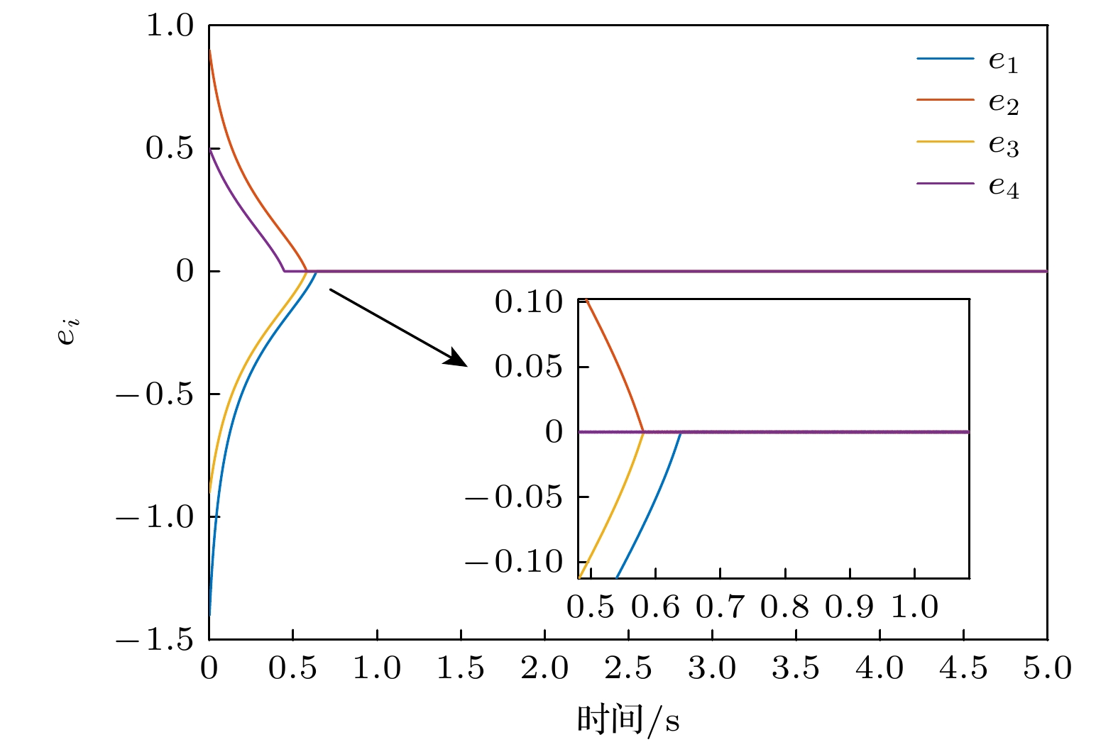
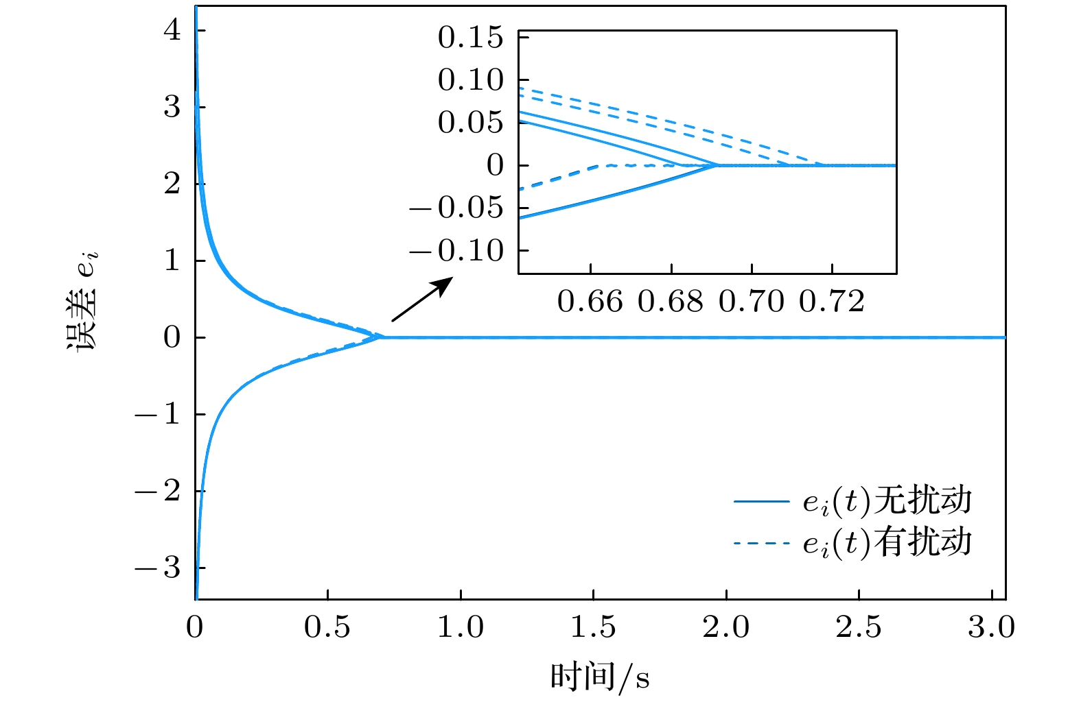
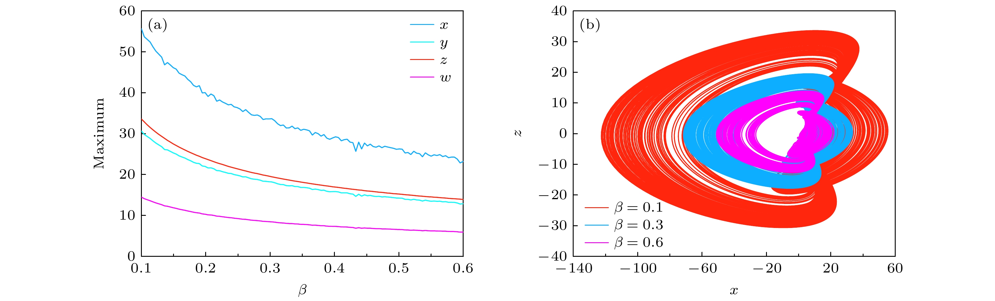
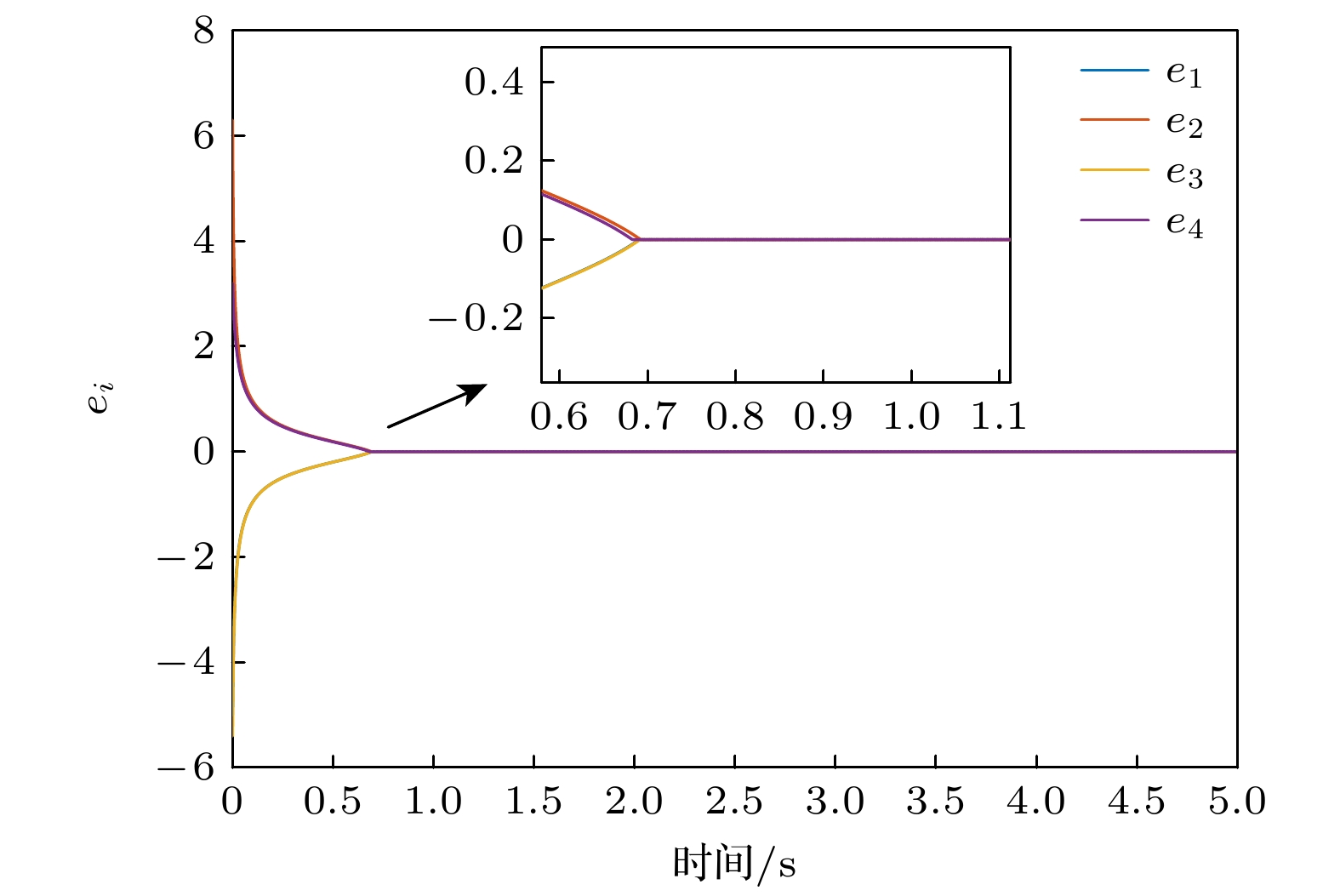
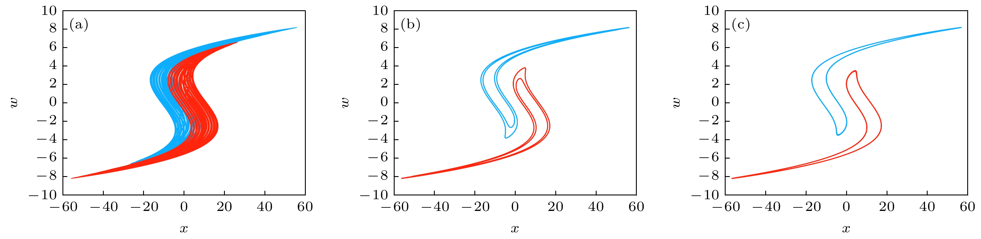
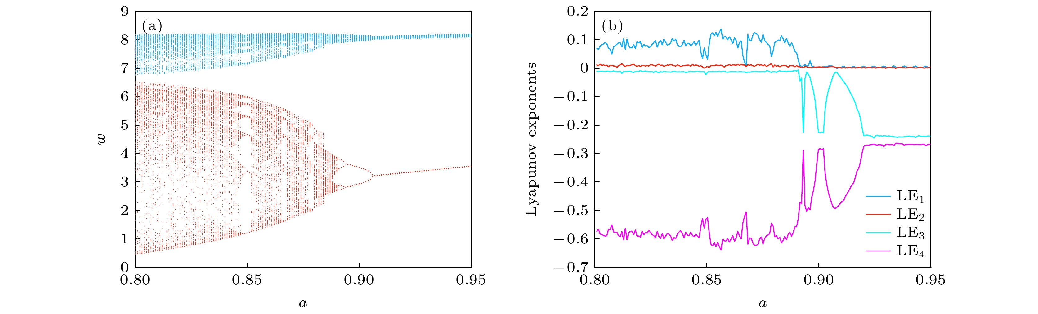
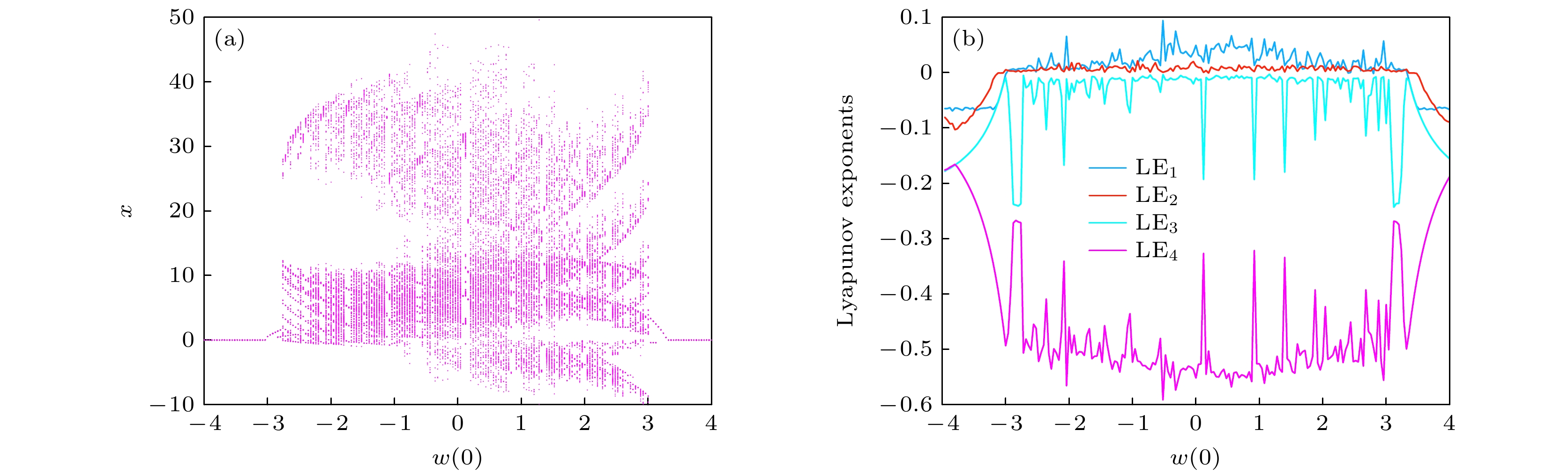
The rich dynamical analysis and predefined-time synchronization of simple memristive chaotic systems are of great significance in fully understanding the mechanism of dynamics formation and expanding the potential applications of chaotic systems. A four-dimensional memristive chaotic system with only a single nonlinear term is proposed to reveal various dynamic behaviors under the change of parameters and initial conditions, and to realize effective synchronization control. Based on dissipativity analysis and Lyapunov exponent computation, and combined with bifurcation analysis and multi steady state exploration, it is shown that the system possesses an infinite number of unstable equilibrium points and exhibits homogeneous and heterogeneous multistability, including point attractors, periodic attractors, and chaotic attractors. Moreover, it is found that amplitude modulation of the output signals of the system can be precisely achieved by adjusting internal parameters of the memristor, thus providing a theoretical basis for achieving effective amplitude modulation of periodic and chaotic signals. A predefined-time sliding mode surface with linear and bidirectional power-law nonlinear decay terms is constructed to address synchronization. Sufficient conditions for predefined-time convergence of synchronization errors are derived using Lyapunov stability theory, and a double-stage sliding mode controller with an adjustable upper bound on synchronization time is designed. The resulting control law ensures an adjustable synchronization time bound and rapid error suppression under arbitrary disturbances. Numerical simulations further confirm the effectiveness and robustness of the proposed control scheme, indicating that even under external disturbances or significant variations in initial conditions, the error variables can still converge precisely within the predefined time.