-
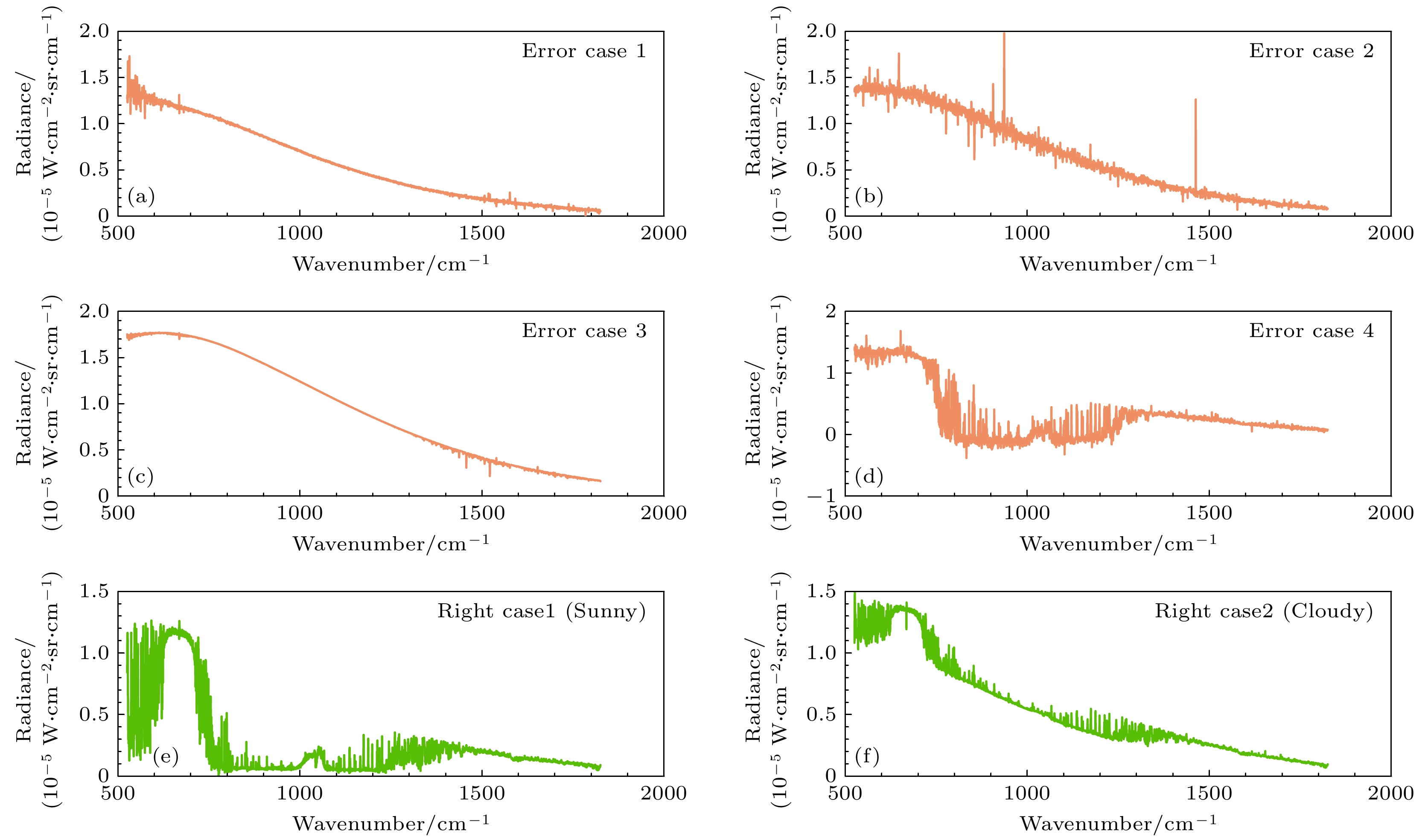
云是地基红外高光谱仪器探测大气的重要干扰源, 有效云检测不可或缺. 水汽干扰和高云识别精度低是云检测面临的两个关键挑战. 本文利用大气红外光谱探测仪(ASSIST)在云南丽江、西藏自治区墨脱和西藏自治区日土的观测数据, 分析了晴空和有云条件下的光谱特征差异, 并据此提出了一种光谱特征增强的机器学习云检测方法. 结合同步观测的激光雷达、气象站及全天空成像仪数据, 系统评估了该方法在不同相对湿度(RH)和不同云底高度(CBH)条件下的检测性能. 实验结果表明: 该方法与激光雷达检测结果的一致性高达97.61%. 在不同RH条件下, 该方法精度均优于使用原始光谱特征的方法, 尤其在RH > 70%时, 对晴空光谱的识别精度提升明显, 从86.01%提高至91.89%. 同样, 在不同CBH条件下, 新方法也展现出优于使用原始光谱特征方法的性能, 特别在识别3 km < CBH 5 km的中云和CBH > 5 km的高云时, 精度提升尤为明显. 当3 km < CBH 5 km时, 精度从95.45%提升至98.64%; 当CBH > 5 km时, 精度从87.5%提升至91.67%.Clouds exert a significant influence on infrared radiation, making cloud detection a crucial step in the application of infrared hyperspectral data. In particular, water vapor interference and the limited accuracy in high-cloud identification constitute two key challenges for ground-based infrared hyperspectral cloud detection. Traditional threshold-based cloud detection methods are difficult to adapt to different locations and dynamically changing atmospheric conditions,while machine learning methods can achieve cloud detection with higher accuracy, greater robustness, and improved automation. Building on the advantages of machine learning, observational data from the atmospheric sounder spectrometer by infrared spectral technology (ASSIST), collected at Lijiang (Yunnan), Motuo (Xizang Autonomous Region), and Ritu (Xizang Autonomous Region) in China, are used to analyze the spectral differences between sunny and cloudy conditions in this study. Based on these differences, a spectral feature enhancement-driven machine learning method for cloud detection is proposed. Finally, by incorporating synchronous observations from lidar, meteorological stations, and all-sky imagers, the proposed method is systematically evaluated under different relative humidity (RH) and cloud base height (CBH) conditions. The experimental results show that the consistency between the results obtained by the proposed method and lidar-based detection is as high as 97.61%. Under different RH conditions, the proposed method outperforms the method based on original spectral features. Notably, when ${\text{RH}} > 70{\text{%}} $, the accuracy of clear-sky spectral identification improves significantly: increasing from 86.01% to 91.89%. Similarly, under different CBH conditions, the proposed method also exhibits superior performance compared with the method in which original spectral features are used. In particular, the accuracy improvements are especially notable when identifying mid-level clouds with ${\text{3 km}} < {\text{CBH}} \leqslant 5{\text{ km}}$, as well as high-level clouds with ${\text{CBH}} > 5{\text{ km}}$. When ${\text{3 km}} < {\text{CBH}} \leqslant 5{\text{ km}}$, the accuracy increases from 95.45% to 98.64% and when ${\text{CBH}} > 5{\text{ km}}$, the accuracy improves from 87.5% to 91.67%. The proposed method significantly enhances the automation and accuracy of cloud detection, thereby providing higher-quality fundamental datasets for supporting subsequent applications such as radiative transfer simulation, remote sensing parameter retrieval, and data assimilation in numerical weather prediction (NWP) models.
-
Keywords:
- ground-based infrared hyperspectroscopy /
- remote sensing /
- machine learning /
- cloud detection
[1] [2] [3] [4] [5] [6] [7] [8] [9] [10] [11] [12] [13] [14] [15] [16] [17] [18] [19] [20] [21] [22] [23] [24] [25] [26] [27] [28] [29] [30] -
地点 晴空样本 多云样本 海拔/km 观测时间 丽江高美古
天文台3357 2826 3.23 2024.03.20—
2024.05.04墨脱气象
观测站1584 3641 0.76 2024.11.29—
2024.12.19
2025.03.15—
2025.03.28日土阿里荒漠环
境综合观测站4052 1543 4.23 2025.05.27—
2025.06.15总计 8993 8010 编号 特征 1 740—760 cm–1波段辐亮度的斜率 2 740—760 cm–1波段辐亮度的截距 3 780—920 cm–1波段辐亮度的斜率 4 780—920 cm–1波段辐亮度的截距 5 1000—1040 cm–1波段辐亮度斜率 6 1000—1040 cm–1波段辐亮度截距 7 1050—1070 cm–1波段辐亮度斜率 8 784.6 cm–1通道辐射与781.7—782.6 cm–1
波段平均辐射之间的比率9 791.8 cm–1通道辐射与789.4—790.4 cm–1
波段平均辐射之间的比率10 1175 cm–1和1170 cm–1通道辐射之间的比率 11 1187 cm–1和1184 cm–1通道辐射之间的比率 12 1198 cm–1和1195 cm–1通道辐射之间的比率 13 925.8524 cm–1通道辐亮度 14 948.9987 cm–1通道辐亮度 15 951.892 cm–1通道辐亮度 16 962.5007 cm–1通道辐亮度 17 925.8524 cm–1 和 925.3702 cm–1 通道辐射之间的比率 18 948.9987 cm–1 和948.5165 cm–1通道辐射之间的比率 19 951.892 cm–1和951.4098 cm–1通道辐射之间的比率 20 962.5007 cm–1和962.0185 cm–1通道辐射之间的比率 数据集 晴天样本数 多云样本数 总计 训练集(70%) 6290 5604 11894 测试集(30%) 2703 2406 5109 激光雷达探测 有云 晴空 云检测算法
(ASSIST)有云 TP
(True positive)FP
(False positive)晴空 FN
(False negative)TN
(True negative)特征个数 PC/% TPR/% TNR/% 1 95.01 90.90 98.67 2 95.49 93.81 97.37 3 92.88 95.84 90.23 4 94.85 96.97 92.97 5 95.56 97.26 94.04 6 85.71 97.17 75.51 7 79.43 97.22 63.60 8 86.36 97.63 76.32 9 76.59 97.67 57.82 10 76.57 97.67 57.79 11 78.74 97.88 61.71 12 81.64 98.09 67.00 特征个数 PC/% TPR/% TNR/% 1 95.30 91.98 98.26 2 94.73 94.43 95.01 3 94.72 94.43 94.97 4 96.50 94.72 98.08 5 96.24 94.80 97.52 6 96.20 96.30 96.12 7 96.46 96.76 96.19 8 96.54 97.09 96.04 9 96.56 98.09 95.19 10 97.61 98.21 97.08 11 82.60 97.38 69.44 12 95.13 97.76 92.79 13 96.81 97.42 96.26 14 96.81 97.42 96.26 15 96.59 97.42 95.86 16 88.88 97.96 80.80 17 88.49 97.88 80.13 18 80.86 98.21 65.41 19 91.41 97.76 85.76 20 91.41 97.80 85.72 不同水汽 测试集
晴空样本测试集
多云样本总计 ${\text{RH}} \leqslant 30{\text{%}} $ 1883 1060 2943(57.6%) $30{\text{%}} < {\text{RH}} \leqslant 50{\text{%}} $ 250 79 329(6.4%) $50{\text{%}} < {\text{RH}} \leqslant 70{\text{%}} $ 327 158 485(9.5%) ${\text{RH}} > 70{\text{%}} $ 243 1109 1352(26.5%) 不同RH 方法 PC/% TPR/% TNR/% FPR/% FNR/% ${\text{RH}} \leqslant 30{\text{%}} $ 原始方法 94.33 94.53 94.21 5.79 5.47 新方法 97.93 96.89 98.51 1.49 3.11 $30{\text{%}} < {\text{RH}} \leqslant 50{\text{%}} $ 原始方法 94.53 93.67 94.80 5.20 6.33 新方法 96.66 94.94 97.20 2.80 5.06 $50{\text{%}} {\text{ < RH}} \leqslant 70{\text{%}} $ 原始方法 98.76 99.37 98.47 1.53 0.63 新方法 99.58 99.40 100.00 0 0.60 ${\text{RH}} > 70{\text{%}} $ 原始方法 97.34 99.82 86.01 13.99 0.18 新方法 98.82 99.83 91.89 8.11 0.17 不同CBH 测试集多云样本 ${\text{CBH}} \leqslant 1{\text{ km}}$ 1196(49.69%) $1{\text{ km < CBH}} \leqslant {\text{3 km}}$ 494(20.52%) $3{\text{ km < CBH}} \leqslant 5{\text{ km}}$ 646(26.86%) ${\text{CBH}} > 5{\text{ km}}$ 70(2.93%) 不同CBH 方法 PC/% TPR/% FNR/% ${\text{CBH}} \leqslant 1{\text{ km}}$ 原始方法 98.53 98.53 1.47 新方法 99.26 99.26 0.74 $ 1{\text{ km}} < {\text{CBH}} \leqslant 3{\text{ km}} $ 原始方法 96.43 96.43 3.57 新方法 97.62 97.62 2.38 ${\text{3 km}} < {\text{CBH}} \leqslant 5{\text{ km}}$ 原始方法 95.45 95.45 4.55 新方法 98.64 98.64 1.36 ${\text{CBH}} > 5{\text{ km}}$ 原始方法 87.50 87.50 12.5 新方法 91.67 91.67 8.33 -
[1] [2] [3] [4] [5] [6] [7] [8] [9] [10] [11] [12] [13] [14] [15] [16] [17] [18] [19] [20] [21] [22] [23] [24] [25] [26] [27] [28] [29] [30]
计量
- 文章访问数: 824
- PDF下载量: 20
- 被引次数: 0








下载: