搜索

x

留言板

姓名
邮箱
手机号码
标题
留言内容
验证码

引用本文:
Citation:

朱晗毓, 种晓宇, 高兴誉, 武海军, 李祖来, 冯晶, 宋海峰
cstr: 32037.14.aps.74.20251058

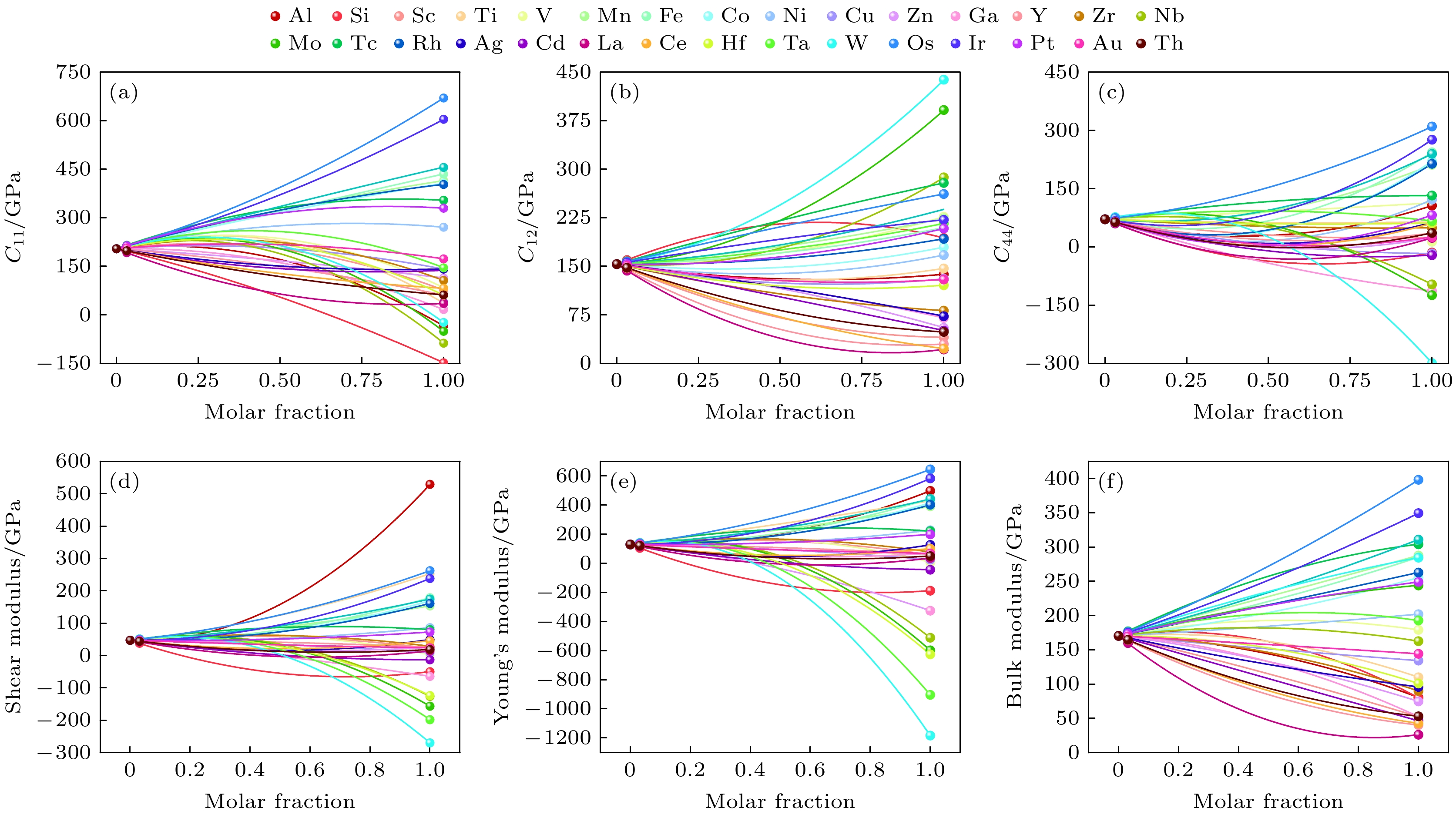
Influence of alloying elements on the thermodynamic and elastic properties of palladium based alloys and database construction

ZHU Hanyu, CHONG Xiaoyu, GAO Xingyu, WU Haijun, LI Zulai, FENG Jing, SONG Haifeng
cstr: 32037.14.aps.74.20251058
Article Text (iFLYTEK Translation)
PDF
HTML
导出引用
在线预览
计量
  • 文章访问数:  899
  • PDF下载量:  24
  • 被引次数: 0
出版历程
  • 收稿日期:  2025-08-06
  • 修回日期:  2025-10-19
  • 上网日期:  2025-11-05
  • 刊出日期:  2025-12-20

返回文章
返回
Baidu
map