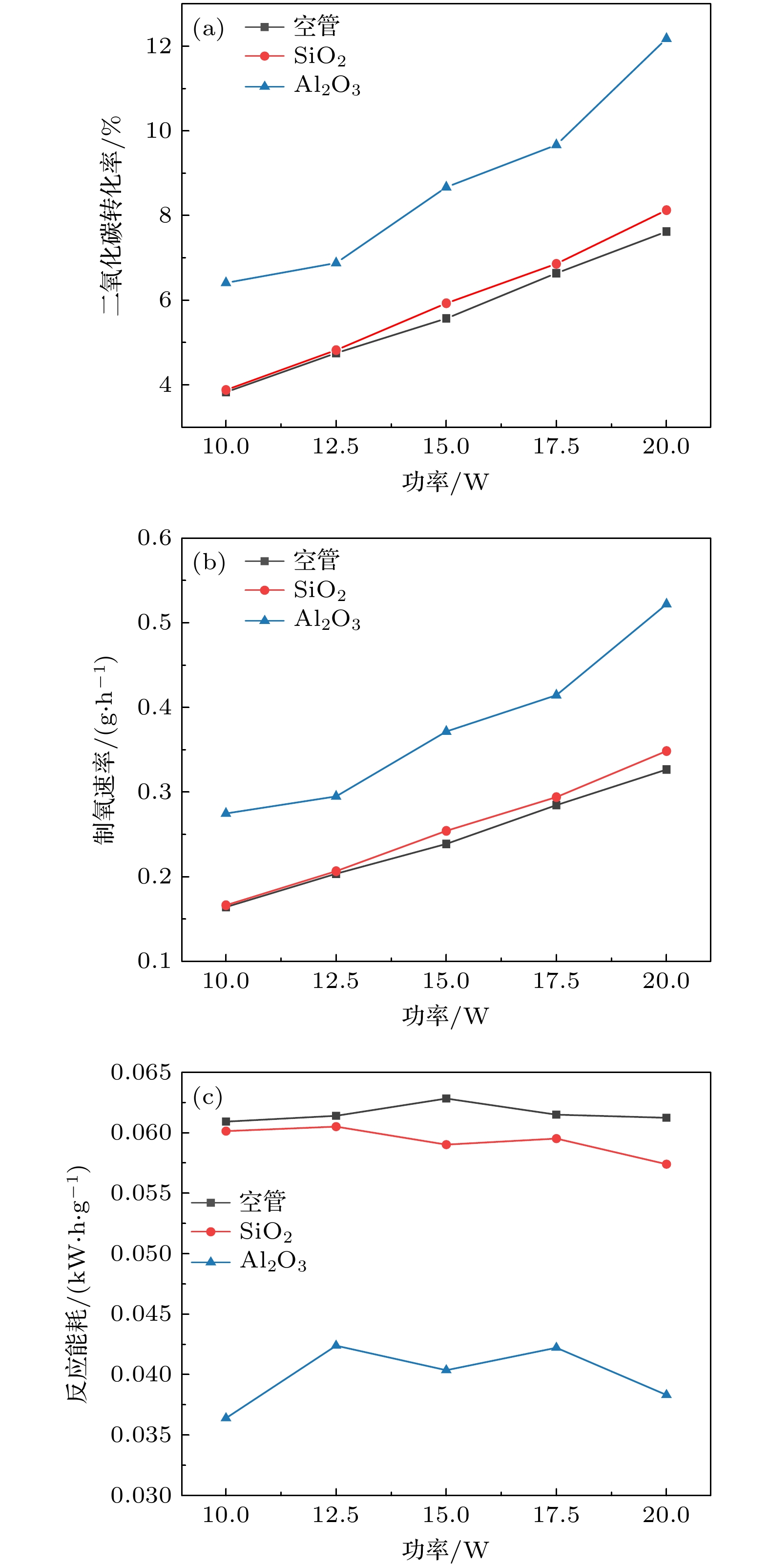
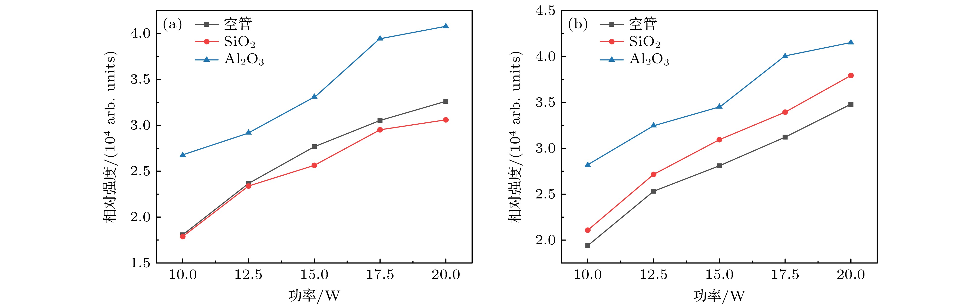
The utilization of in-situ resource on Mars is currently one of the key research focuses in deep space exploration. Non-thermal plasma technology provides a promising approach for in-situ conversion of high-concentration CO2 in the Martian atmosphere, with advantages such as strong environmental adaptability and high system efficiency. In this study, a coaxial packed-bed dielectric barrier discharge reactor is employed to investigate the discharge characteristics of simulated Martian atmospheric CO2, with particular emphasis on the effects of SiO2 and Al2O3 packing materials on CO2 conversion performance and energy consumption. Through in-situ spectral diagnostics, the variation patterns of characteristic spectral lines of excited-state CO2 and O2 under different operating conditions are investigated in this work. It is found that increasing the discharge power promotes the generation of excited-state reactive species, which facilitates the activation and conversion of carbon dioxide. Furthermore, increasing the discharge power effectively enhances the electric field strength in CO2 discharge. Compared with plasma only and the use of SiO2 packing material, the system exhibits a more significant electric field enhancement effect when packed with Al2O3 beads. Based on numerical simulations, the electron impact reaction rate constant and electron energy distribution function of CO2 discharge are obtained. The results reveal that packing the discharge gap with Al2O3 material significantly changes the physical characteristics of CO2 discharge, enhances both the electric field strength and the mean electron energy, thereby generating more high-energy electrons and asymmetric vibrational excited states of CO2. This ultimately promotes the CO2 decomposition reaction for oxygen production. Finally, the study examines the effectiveness of CO2 decomposition for oxygen production under various typical operating conditions. It is demonstrated that increasing the discharge power and packing with Al2O3 both contribute to improving the CO2 conversion rate and oxygen production rate, while reducing the energy consumption of the reaction. The introduction of Al2O3 packing enhances the electric field strength, thereby improving CO2 conversion and O2 production, achieving a CO2 conversion rate of 12.18% and a minimum energy consumption of 0.36 kWh/g. This study provides theoretical and experimental support for the future applications of non-thermal plasma technology in the in-situ resource utilization of Martian atmosphere, offering insights into sustainable resource utilization in deep space exploration.