搜索

x

留言板

姓名
邮箱
手机号码
标题
留言内容
验证码

引用本文:
Citation:

赵悦悦, 缪阳, 杨唯, 杜诚然
cstr: 32037.14.aps.74.20251096

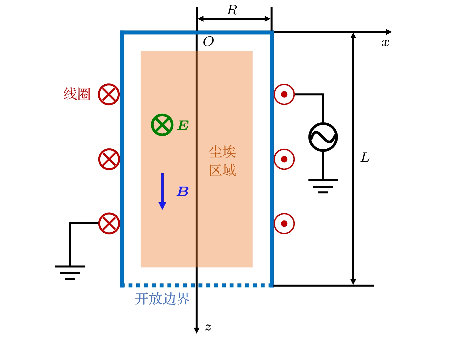
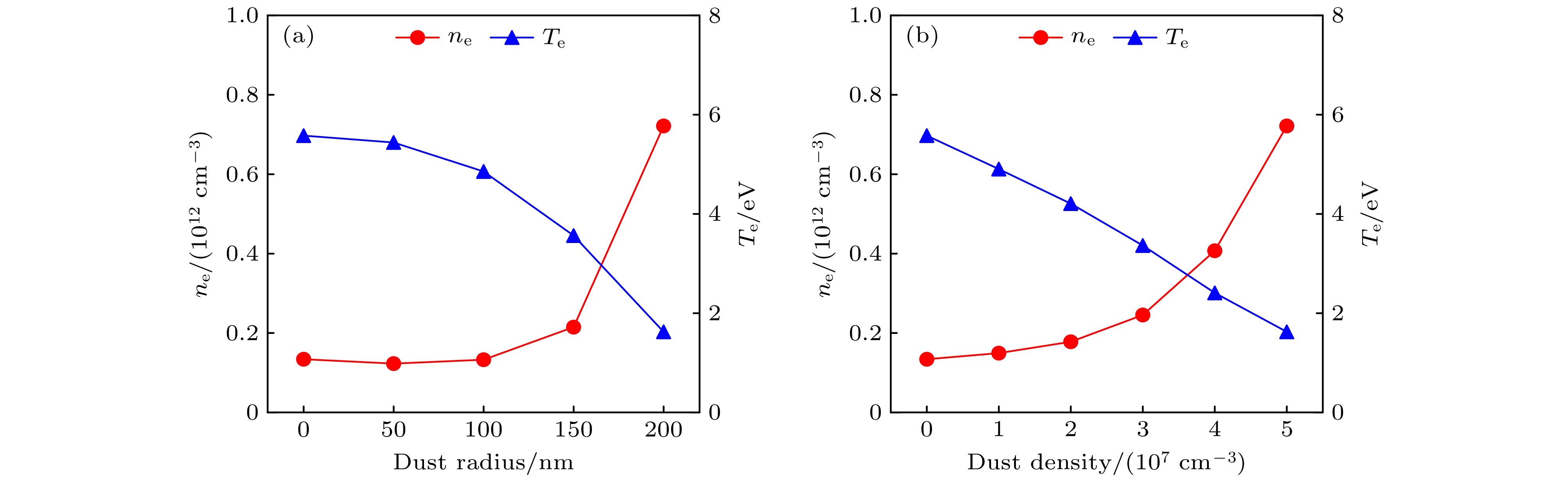
Influence of dust particles on non-local kinetic behavior in low-pressure radio frequency plasma

ZHAO Yueyue, MIAO Yang, YANG Wei, DU Chengran
cstr: 32037.14.aps.74.20251096
Article Text (iFLYTEK Translation)
PDF
HTML
导出引用
计量
  • 文章访问数:  950
  • PDF下载量:  40
  • 被引次数: 0
出版历程
  • 收稿日期:  2025-08-15
  • 修回日期:  2025-08-29
  • 上网日期:  2025-09-04
  • 刊出日期:  2025-10-20

返回文章
返回
Baidu
map