搜索

x

留言板

姓名
邮箱
手机号码
标题
留言内容
验证码

引用本文:
Citation:

张铭, 刘玉波, 邵芷嫣, 杨帆
cstr: 32037.14.aps.74.20251179

Weak coupling studies on pairing mechanism and related properties of Ruddlesden-Popper phase layered nickelate based superconductors

ZHANG Ming, LIU Yubo, SHAO Zhiyan, YANG Fan
cstr: 32037.14.aps.74.20251179
Article Text (iFLYTEK Translation)
PDF
HTML
导出引用
在线预览
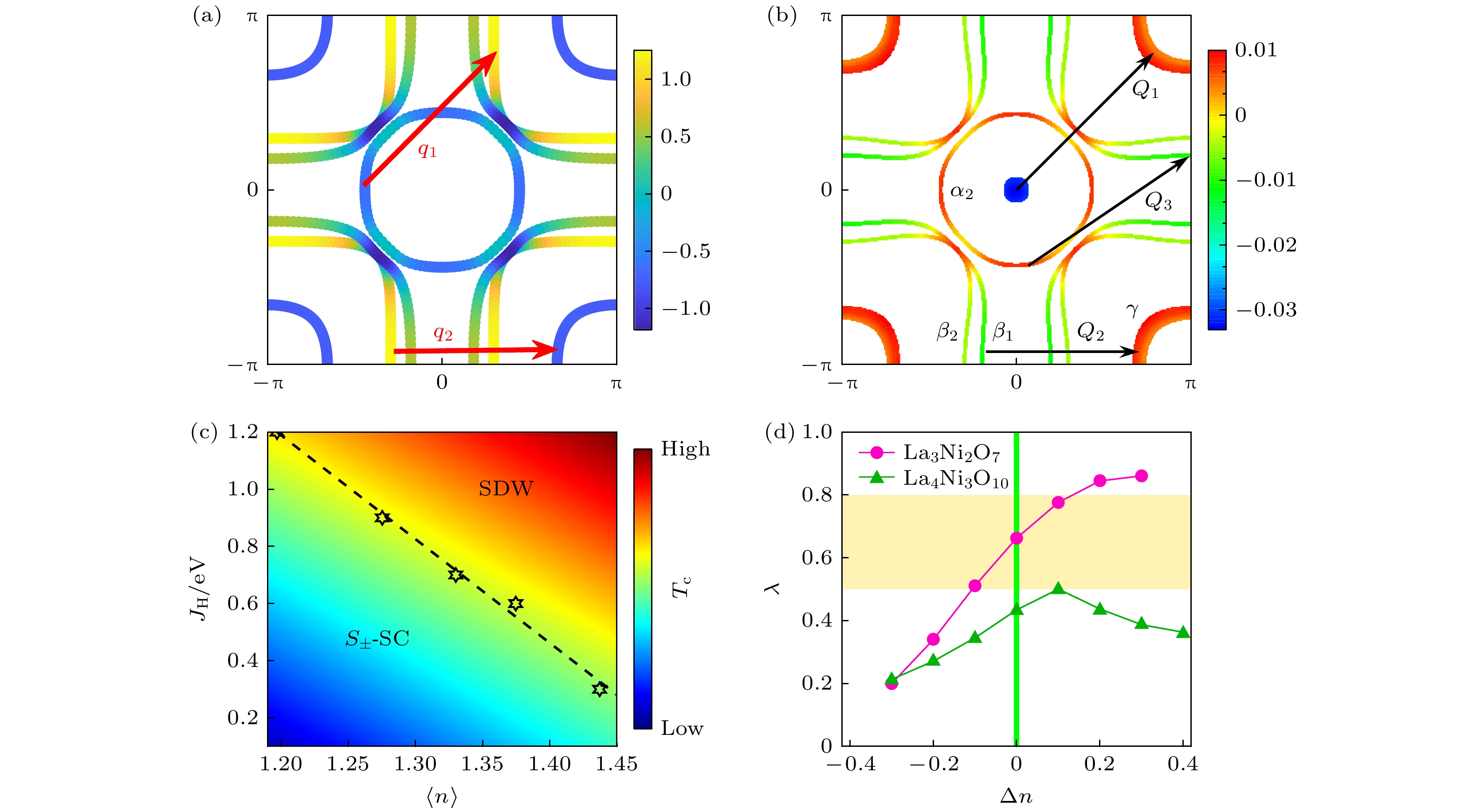
  • 压力下双层镍氧超导体展现出高达80 K的超导临界温度, 使Ruddlesden-Popper (RP)相层状镍氧化物成为研究非常规高温超导机制的新平台. 本文从弱耦合理论计算角度出发, 系统回顾了近期在RP相层状镍酸盐中非常规超导配对机制的理论研究进展, 内容涵盖配对对称性、主导轨道成分及其自旋涨落特征等方面, 涉及加压条件下的La3Ni2O7, La4Ni3O10, La5Ni3O11块材以及常压条件下的La3Ni2O7薄膜等多个体系. 这些材料普遍表现出以Ni-$3{\mathrm{d}}_{z^2}$与$3{\mathrm{d}}_{x^2-y^2}$轨道为主导的低能电子自由度. 在RP块材中, 无规相近似、泛函重整化群和涨落交换近似等弱耦合方法普遍支持一种由自旋涨落介导、以层间${\mathrm{d}}_{z^2}$轨道为主导的${\mathrm{s}}^{\pm}$波配对机制. 其中, La3Ni2O7块材的超导可能与费米面上γ口袋的出现密切相关, 该口袋源于${\mathrm{d}}_{z^2}$轨道成键态的金属化过程. 另一方面, La4Ni3O10的超导特性主要取决于洪特耦合强度和掺杂浓度, 而非能带细节; 而La5Ni3O11则因层间约瑟夫森效应, 呈现出穹顶型的压力-超导相图. 对于La3Ni2O7薄膜, 理论研究表明其可能存在${\mathrm{s}}^{\pm}$波与${\mathrm{d}}_{xy}$波竞争的配对特征. 此外, 常压下的自旋密度波序与超导存在紧密联系. 整体而言, 弱耦合理论不仅解释了实验现象, 还为在常压下实现高温超导提供了理论思路.
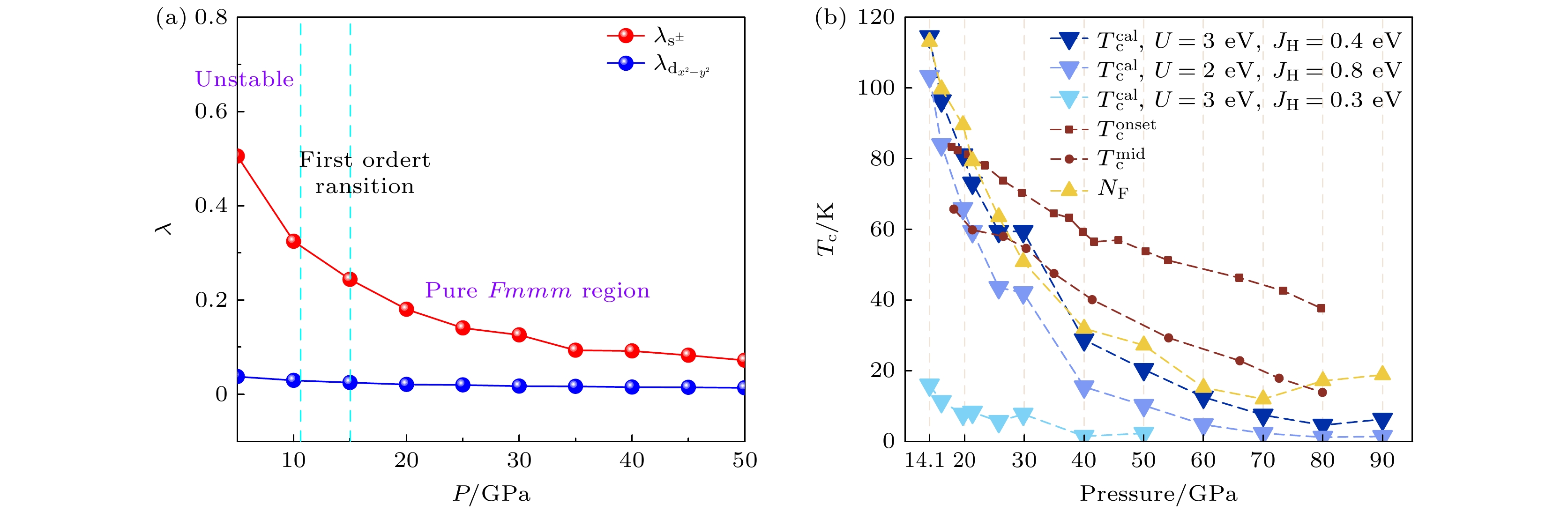
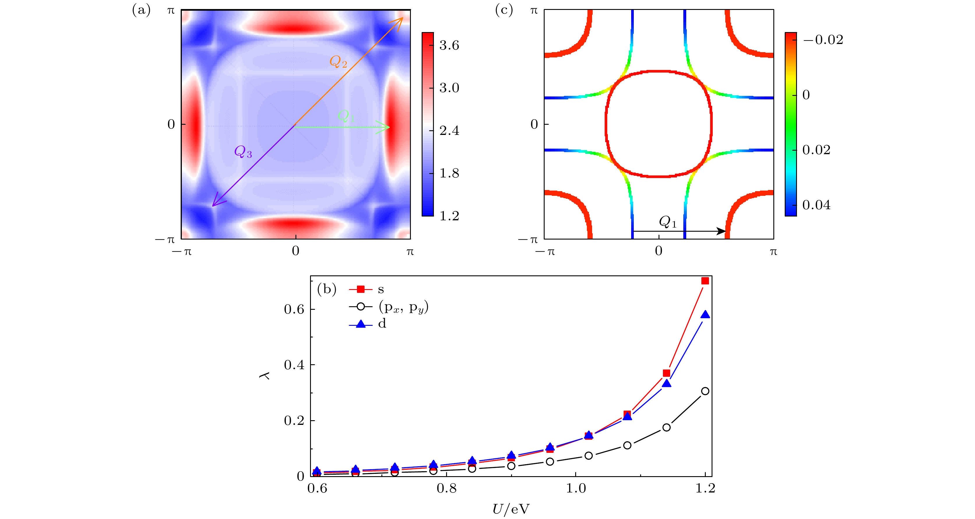
    The discovery of superconductivity in Ruddlesden-Popper (RP) phase layered nickelates under high pressure has opened a new avenue for exploring nontraditional pairing mechanisms beyond cuprates and iron-based superconductors. In particular, La3Ni2O7 exhibits a superconducting transition temperature ($ T_{\rm c} $) as high as 80 K at ~15 GPa, making it the second class of oxides that achieve liquid-nitrogen temperature superconductivity. Subsequent experiments have extended superconductivity to related compounds such as La4Ni3O10 and La5Ni3O11, as well as epitaxially grown thin films at ambient pressure. These findings have motivated extensive theoretical efforts to elucidate the microscopic pairing mechanism.This review summarizes recent progress from the perspective of weak-coupling theories, including random phase approximation (RPA), functional renormalization group (FRG), and fluctuation-exchange (FLEX) approaches. Density functional theory (DFT) calculations reveal that the low-energy degrees of freedom are dominated by Ni $ 3{\rm d}_{z^2} $ and $ 3{\rm d}_{x^2-y^2} $ orbitals. In La3Ni2O7, pressure-induced metallization of the bonding $ 3{\rm d}_{z^2} $ band produces the γ pocket, enhancing spin fluctuations, and stabilizing superconductivity. These fluctuations support superconductivity through interlayer $ 3{\rm d}_{z^2} $ pairing characterized by an $ \rm s^{\pm} $ gap. Hole doping or substitution may restore the γ pocket and achieve bulk superconductivity at ambient pressure.For La4Ni3O10, theoretical calculations indicate predominantly $ \rm s^{\pm} $ pairing from interlayer $ 3{\rm d}_{z^2} $ orbitals, with weaker strength than La3Ni2O7, explaining its lower $ T_{\rm c} $ and showing little sensitivity to band structure. In La5Ni3O11, composed of alternating single-layer and bilayer units, superconductivity mainly arises from the bilayer subsystem, again dominated by $ 3{\rm d}_{z^2} $ orbitals. Interestingly, the interplay between inter-bilayer Josephson coupling and the suppression of density of states leads to a dome-shaped $ T_{\rm c} $-pressure phase diagram, differing from the monotonic behavior of La3Ni2O7.Epitaxial (La, Pr)3Ni2O7 thin films display superconductivity above 40 K at ambient pressure. Theory predicts doping-dependent pairing: $ \rm s^{\pm} $ symmetry is favored at low doping levels, while dxy pairing emerges at higher doping, in agreement with experimental indications of both nodeless and nodal gap behaviors.In addition to superconductivity, the experiments reveal the spin-density-wave (SDW) sequence in bulk La3Ni2O7 and La4Ni3O10 at ambient pressure. Weak-coupling calculations confirm that these SDWs are driven by Fermi surface nesting and that their suppression under pressure gives rise to strong spin fluctuations which act as the glue for Cooper pairing. This highlights the intimate connection between the density-wave parent states and high-pressure superconductivity in nickelates.In summary, weak-coupling theories provide a unified framework for RP nickelates, highlighting the key roles of $ 3{\rm d}_{z^2} $ orbitals, interlayer pairing, and spin fluctuations. They suggest that pressure, doping, substitution, and epitaxial strain can optimize superconductivity and potentially achieve high-$ T_{\rm c} $ phases at ambient pressure. Key challenges remain in clarifying orbital competition, the SDW-superconductivity interplay, and strong-correlation effects, requiring close collaboration between advanced experiments and multi-orbital many-body theory.
      通信作者: 杨帆, yangfan_blg@bit.edu.cn
    • 基金项目: 国家自然科学基金(批准号: 12234016, 12074031)资助的课题.
      Corresponding author: YANG Fan, yangfan_blg@bit.edu.cn
    • Funds: Project supported by the National Natural Science Foundation of China (Grant Nos. 12234016, 12074031).
    [1]

    [2]

    [3]

    [4]

    [5]

    [6]

    [7]

    [8]

    [9]

    [10]

    [11]

    [12]

    [13]

    [14]

    [15]

    [16]

    [17]

    [18]

    [19]

    [20]

    [21]

    [22]

    [23]

    [24]

    [25]

    [26]

    [27]

    [28]

    [29]

    [30]

    [31]

    [32]

    [33]

    [34]

    [35]

    [36]

    [37]

    [38]

    [39]

    [40]

    [41]

    [42]

    [43]

    [44]

    [45]

    [46]

    [47]

    [48]

    [49]

    [50]

    [51]

    [52]

    [53]

    [54]

    [55]

    [56]

    [57]

    [58]

    [59]

    [60]

    [61]

    [62]

    [63]

    [64]

    [65]

    [66]

    [67]

    [68]

    [69]

    [70]

    [71]

    [72]

    [73]

    [74]

    [75]

    [76]

    [77]

    [78]

    [79]

    [80]

    [81]

  • 材料体系 计算方法 模型关键特征 主要结论摘要
    La3Ni2O7
    (块材, 高压)
    RPA[68] 双层两轨道$ ({\mathrm{d}}_{x^2-y^2}, {\mathrm{d}}_{z^2} )$ 1) 最强自旋涨落波矢$ Q\approx(\pi, 0) $; 2) $ {\mathrm{s}}^{\pm} $波配对, 能隙在$ \gamma/\alpha $口袋与β口袋上符号相反; 3) 超导由层间$ {\mathrm{d}}_{z^2} $轨道配对主导.
    FRG[69] 双层两轨道$ ({\mathrm{d}}_{x^2-y^2}, {\mathrm{d}}_{z^2}) $ 与RPA[68]定性一致.
    FLEX[70] 双层两轨道$ ({\mathrm{d}}_{x^2-y^2}, {\mathrm{d}}_{z^2}) $ 1) 与RPA/FRG结论一致; 2) 发现解除$ {\mathrm{d}}_{x^2-y^2} $与$ {\mathrm{d}}_{z^2} $轨道间的杂化能显著增强$ T_{\mathrm{c}} $.
    La4Ni3O10
    (块材, 高压)
    RPA[57] 三层多轨道模型 1) 最强自旋涨落波矢$ Q\approx(\pi, \pi) $; 2) $ {\mathrm{s}}^{\pm} $波配对, 对能带细节不敏感; 3) 超导由外层$ {\mathrm{d}}_{{z^2}} $轨道间层间配对主导.
    FRG[56] 三层多轨道模型
    (考虑$ \alpha_1 $口袋缺失)
    1) 与RPA定性一致, 支持${\mathrm{ s}}^{\pm} $波配对; 2) 强调洪特耦合对超导的影响; 3) 费米面嵌套和能隙分布细节与RPA略有不同.
    FLEX[54] 三层多轨道模型 解释其相对较低的$ T_{\mathrm{c}} $.
    La5Ni3O11
    (块材, 高压)
    RPA[58] 解耦近似
    (单层+双层子系统)
    1) 超导主要发生在双层子系统内, 为$ {\mathrm{s}}^{\pm} $波配对; 2) 穹顶型 $ T_{\mathrm{c}} $-P相图与层间约瑟夫森耦合有关.
    (La, Pr)3Ni2O7
    (薄膜, 常压)
    RPA[63] 存在γ口袋的假说 1) 配对对称性随空穴掺杂δ变化; 2) 在实验关注的$ \delta\sim0.21 $附近, 为$ {\mathrm{d}}_{xy} $波.
    DMFT+RPA[42] 动力学平均场重整化能带 得到$ {\mathrm{s}}^{\pm} $波配对.
    FRG[77] 费米口袋形状近正方形 不同口袋间嵌套支持$ {\mathrm{s}}^{\pm} $波配对.
    下载: 导出CSV
    Baidu
  • [1]

    [2]

    [3]

    [4]

    [5]

    [6]

    [7]

    [8]

    [9]

    [10]

    [11]

    [12]

    [13]

    [14]

    [15]

    [16]

    [17]

    [18]

    [19]

    [20]

    [21]

    [22]

    [23]

    [24]

    [25]

    [26]

    [27]

    [28]

    [29]

    [30]

    [31]

    [32]

    [33]

    [34]

    [35]

    [36]

    [37]

    [38]

    [39]

    [40]

    [41]

    [42]

    [43]

    [44]

    [45]

    [46]

    [47]

    [48]

    [49]

    [50]

    [51]

    [52]

    [53]

    [54]

    [55]

    [56]

    [57]

    [58]

    [59]

    [60]

    [61]

    [62]

    [63]

    [64]

    [65]

    [66]

    [67]

    [68]

    [69]

    [70]

    [71]

    [72]

    [73]

    [74]

    [75]

    [76]

    [77]

    [78]

    [79]

    [80]

    [81]

  • [1] 李泊玉, 胡柯钧, 林仁菊, 韩昆, 黄振, 葛炳辉, 宋东升. 无限层镍基超导薄膜界面结构的电子显微学研究. 必威体育下载 , 2025, 74(12): 128701. doi: 10.7498/aps.74.20250171
    [2] 吕威, 聂子豪, 汪恒, 陈亚奇, 黄浩亮, 周广迪, 薛其坤, 陈卓昱. 镍基Ruddlesden-Popper相高温超导薄膜的制备与优化. 必威体育下载 , 2025, 74(22): 227403. doi: 10.7498/aps.74.20251080
    [3] 镍基超导研究进展专题编者按. 必威体育下载 , 2025, 74(22): 220102. doi: 10.7498/aps.74.220102
    [4] 薛子威, 袁登鹏, 谭世勇. 新型非常规超导体UTe2的单晶生长方法研究进展. 必威体育下载 , 2025, 74(8): 087401. doi: 10.7498/aps.74.20241778
    [5] 杜政忠, 李婕, 卢毅. La3Ni2O7中近邻库仑相互作用诱导的电荷序. 必威体育下载 , 2025, 74(17): 177103. doi: 10.7498/aps.74.20250604
    [6] 张明鑫, 裴翠颖, 齐彦鹏. 三层镍氧化物高温超导研究进展. 必威体育下载 , 2025, 74(22): 227402. doi: 10.7498/aps.74.20251258
    [7] 李义典, 杨乐仙. 层状镍基超导体的电子结构和超快动力学. 必威体育下载 , 2025, 74(17): 177402. doi: 10.7498/aps.74.20250856
    [8] 沈瑶. 镍基超导体中电荷序的实验研究进展. 必威体育下载 , 2024, 73(19): 197104. doi: 10.7498/aps.73.20240898
    [9] 杨金颖, 王彬彬, 刘恩克. 磁性拓扑材料中贝利曲率驱动的非常规电输运行为. 必威体育下载 , 2023, 72(17): 177103. doi: 10.7498/aps.72.20230995
    [10] 王朝, 张铭, 张持, 王如志, 严辉. n = 2 Ruddlesden-Popper Sr3B2Se7 (B = Zr, Hf) 非常规铁电性的第一性原理研究. 必威体育下载 , 2021, 70(11): 116302. doi: 10.7498/aps.70.20202142
    [11] 胡江平. 探索非常规高温超导体. 必威体育下载 , 2021, 70(1): 017101. doi: 10.7498/aps.70.20202122
    [12] 李宇, 盛玉韬, 杨义峰. 重费米子超导理论和材料研究进展. 必威体育下载 , 2021, 70(1): 017402. doi: 10.7498/aps.70.20201418
    [13] 李建新. 自旋涨落与非常规超导配对. 必威体育下载 , 2021, 70(1): 017408. doi: 10.7498/aps.70.20202180
    [14] 顾开元, 罗天创, 葛军, 王健. 拓扑材料中的超导. 必威体育下载 , 2020, 69(2): 020301. doi: 10.7498/aps.69.20191627
    [15] 谢武, 沈斌, 张勇军, 郭春煜, 许嘉诚, 路欣, 袁辉球. 重费米子材料与物理. 必威体育下载 , 2019, 68(17): 177101. doi: 10.7498/aps.68.20190801
    [16] 赵国栋, 杨亚利, 任伟. 钙钛矿型氧化物非常规铁电研究进展. 必威体育下载 , 2018, 67(15): 157504. doi: 10.7498/aps.67.20180936
    [17] 程金光. 高压调控的磁性量子临界点和非常规超导电性. 必威体育下载 , 2017, 66(3): 037401. doi: 10.7498/aps.66.037401
    [18] 王宇杰, 周俊敏, 钱萍, 申江. 镍基超导母体材料EuNi2Si2的结构和热力学性质研究. 必威体育下载 , 2010, 59(12): 8776-8782. doi: 10.7498/aps.59.8776
    [19] 曹天德, 徐丽娜. 配对对称性与带间作用. 必威体育下载 , 2005, 54(3): 1406-1409. doi: 10.7498/aps.54.1406
    [20] 孙久勋, 章立源. s+d混合波对称性下联合模型的超导电性. 必威体育下载 , 1996, 45(11): 1913-1920. doi: 10.7498/aps.45.1913
计量
  • 文章访问数:  1376
  • PDF下载量:  78
  • 被引次数: 0
出版历程
  • 收稿日期:  2025-08-30
  • 修回日期:  2025-09-25
  • 上网日期:  2025-09-30
  • 刊出日期:  2025-11-20

返回文章
返回
Baidu
map