-
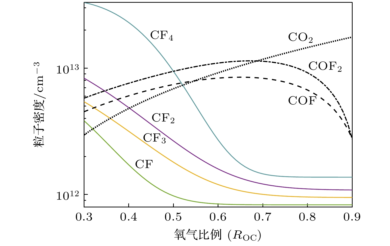
以C4F8为代表的碳氟等离子体因其可精细调控的F/C比、高活性自由基密度及优异的材料选择性, 已成为纳米级半导体刻蚀与沉积工艺的核心介质. 高深宽比刻蚀中, 发射光谱诊断将影响形貌的活性粒子密度与光谱特征关联实现原位监测, 为精度与良率协同优化提供有效途径. 其中, 兼具动力学模拟与光谱分析的等离子体模型是必不可少的. 本文建立了一种适用于发射光谱在线分析的C4F8/O2/Ar等离子体模型. 通过C4F8分解路径与碳氟自由基氧化机制分析, 精炼了化学反应全集. 在此基础上, 加入了F, CF, CF2, CO以及Ar与O的激发态能级的碰撞辐射过程, 与光谱特征建立了关联. 分析了典型感应耦合放电条件下活性粒子演化规律, 并与实验数据进行了验证. 结合动力学溯源, 阐明了碳氟自由基与离子的产生损失机制, 并讨论了可能存在的误差来源. 该模型具有在实际刻蚀工艺场景中发射光谱在线监测的应用前景.Octafluorocyclobutane (C4F8)-based fluorocarbon plasmas have become a cornerstone of nanometre-scale etching and deposition in advanced semiconductor manufacturing, owing to their tunable fluorine-to-carbon (F/C) ratio, high density of reactive radicals, and superior material selectivity. In high-aspect-ratio pattern transfer, optical emission spectroscopy (OES) enables in-situ monitoring by correlating the density of morphology-determining radicals with their characteristic spectral signatures, thereby providing a viable pathway for the simultaneously optimizing pattern fidelity and process yield. A predictive plasma model that integrates kinetic simulation with spectroscopic analysis is therefore indispensable. In this study, a C4F8/O2/Ar plasma model tailored for on-line emission-spectroscopy analysis is established. First, the comprehensive reaction mechanism is refined through a systematic investigation of C4F8 dissociation pathways and the oxidation kinetics of fluorocarbon radicals. Subsequently, the radiative-collisional processes for the excited states of F, CF, CF2, CO, Ar and O are incorporated, establishing an explicit linkage between spectral features and radical densities. Under representative inductively coupled plasma (ICP) discharge conditions, the spatiotemporal evolution of the aforementioned active species is analyzed and validated against experimental data. Kinetic back-tracking is employed to elucidate the formation and loss mechanisms of fluorocarbon radicals and ions, and potential sources of modelling uncertainty are discussed. This model has promising potential for application in real-time OES monitoring during actual etching processes.
[1] [2] [3] [4] [5] [6] [7] [8] [9] [10] [11] [12] [13] [14] [15] [16] [17] [18] [19] [20] [21] [22] [23] [24] [25] [26] [27] [28] [29] [30] [31] [32] [33] [34] [35] [36] [37] [38] [39] [40] [41] [42] [43] [44] [45] [46] [47] [48] [49] [50] [51] [52] [53] [54] [55] [56] [57] [58] -
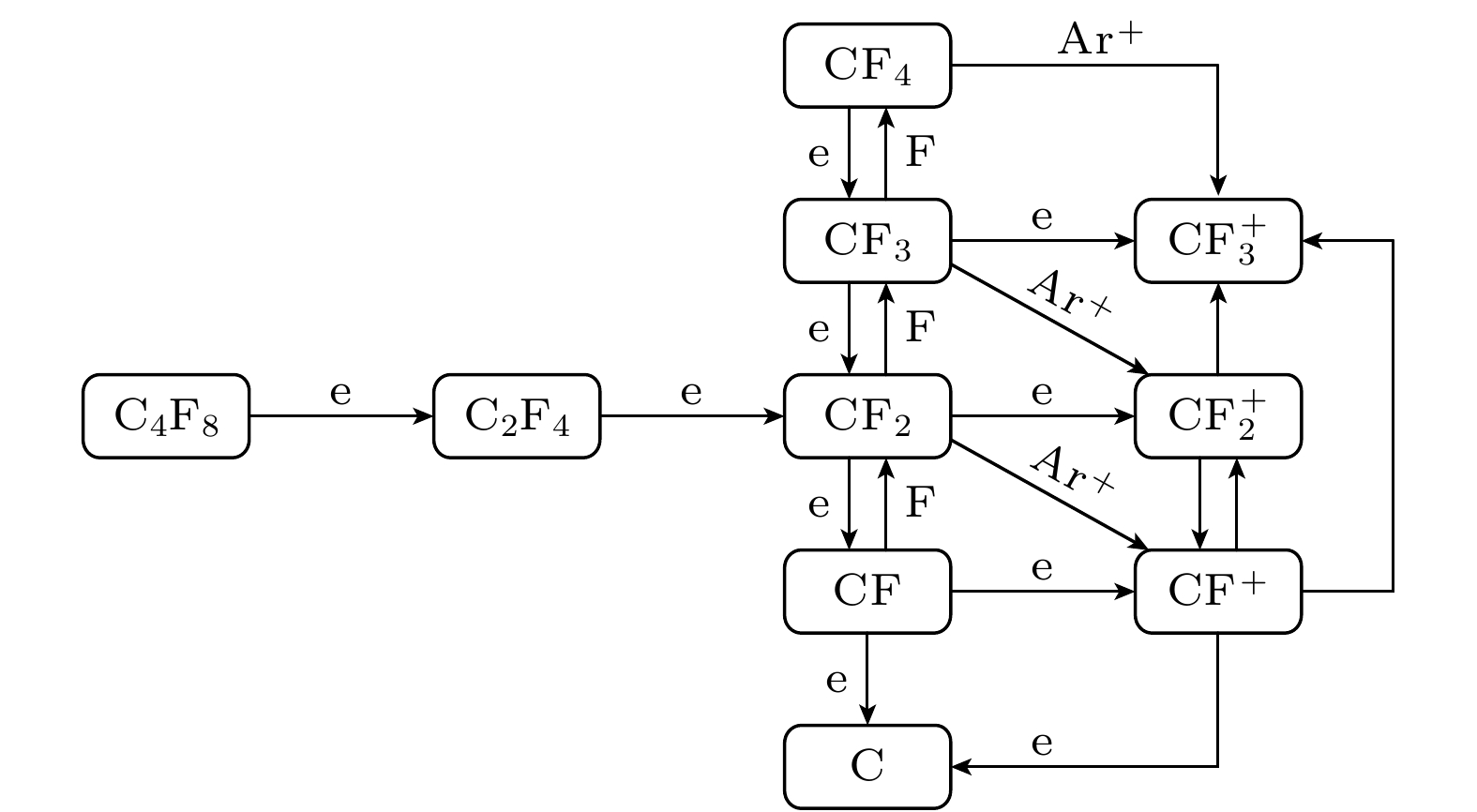
编号 公式 注释 E1 $\begin{array}{cc}\dfrac{{{\text{d}}{n_k}}}{{{\text{d}}t}} = \displaystyle\sum\nolimits_V {R_V^ + } (k) - \displaystyle\sum\nolimits_V {R_V^ - (k)} \\\qquad + \displaystyle\sum\nolimits_S {R_S^ + (k)} - \displaystyle\sum\nolimits_S {R_S^ - (k)} = 0 \end{array}$ $ {n_k} $: 物质 k 密度; $ R_V^ + (k) $: 物质 k 气相生成速率;
$ R_V^ - (k) $: 物质 k 气相损失速率; $ R_S^ + (k) $: 物质 k 表面生成速率;
$ R_S^ - (k) $: 物质 k 表面损失速率E2 $ {R_V} = {K_V}\displaystyle\sum\nolimits_v {{n_v}};\;\; R_V^{{\text{rad}}} = A {n_v} $ $ {K_V} $: 气相反应速率系数; $ {n_v} $: 气相反应物密度;
$ R_V^{{\text{rad}}} $: 气相自发辐射速率; A: 爱因斯坦系数E3 $\begin{array} {cc} {K_V} = a T_{\text{e}}^b\exp \left( { - {c}/{{{T_{\text{e}}}}}} \right) ; \\ K_V^{{\text{exc}}} = \displaystyle\int_0^\infty {\sigma ({E_{\text{e}}})\sqrt {\dfrac{{2{E_{\text{e}}}}}{{{m_{\text{e}}}}}} f({E_{\text{e}}}){\text{d}}{E_{\text{e}}}} \end{array} $ $ {T_e} $: 电子温度; a, b, c : Arrhenius公式参数;
$ K_V^{{\text{exc}}} $: 气相激发反应速率系数; Ee: 电子能量; me: 电子质量;
$ \sigma ({E_{\text{e}}}) $: 激发截面; $ f({E_{\text{e}}}) $: 电子能量分布E4 $ {R_{\text{S}}} = {K_{\text{S}}}{n_{\text{s}}} $ $ {n_{\text{s}}} $: 表面损失物质密度 E5 $ K_S^{\text{n}} = {\left[ {\dfrac{{{\varLambda ^2}}}{{{D_{\text{n}}}}} + \dfrac{{2 V(2 - \gamma )}}{{S{u_{\text{n}}}\gamma }}} \right]^{ - 1}} $ $ K_S^{\text{n}} $: 中性粒子表面损失系数; $ {D_{\text{n}}} $: 扩散系数; $ \gamma $: 表面黏附系数;
$ {u_{\text{n}}} $: 平均热速度; V, S : 反应腔室体积和表面积E6 $ {\varLambda ^{ - 2}} = {\left( {{{\pi}}/{l}} \right)^2} + {\left( {{{2.405}}/{r}} \right)^2} $ $ \varLambda $: 有效扩散长度; l, r : 反应腔室高度和半径 E7 $ K_{\text{S}}^{+} = 2{u_{\text{B}}}\left( {{{h_{\text{l}}}}}/{l} + {{{h_{\text{r}}}}}/{r}\right) $ $ K_{\text{S}}^{+} $: 离子表面损失系数; $ {u_{\text{B}}} $: 玻姆速度; E8 ${h_{\text{l}}} = 0.86{\left[ {3.0 + {l}/({{2\lambda }})} \right]^{-1/2}}$ ${h_{\text{l}}}$: 轴向边界-中心离子密度比; $\lambda $: 平均自由程 E9 $ h_{\text{r}}=0.80\left(4.0 + {r}/{\lambda}\right)^{-1/2} $ ${h_{\text{r}}}$: 径向边界-中心离子密度比 类别 物种 离子 $ \mathrm{CF}_3^+ $, ${\mathrm{CF}}_2^+ $, CF+, Ar+ 自由基 CF3, CF2, CF, COF, F, C, O 中性产物 C2F4, CF4, F2, COF2, CO, CO2 原料气体 C4F8, O2, Ar 类别 物种 Ar* Ar(1s5)-Ar(1s2), Ar(2p10)-Ar(2p1) O* O(2p.1D), O(2p.1S), O(3s.3So), O(3s.5So), O(3p.3P), O(3p.5P), O(3p.3Do), O(3p.5Do) F* F(3s.2P), F(3s.4P), F(3s.2D), F(3p.2So), F(3p.4So), F(3p.2Po), F(3p.4Po), F(3p.2Do), F(3p.4Do) CF* CF(a4Σ–), CF(A2Σ), CF(b4Π), CF(B2Δ), CF(C2Σ–) ${\mathrm{CF}}^*_2 $ CF2(A1B1), CF2(X1A2), CF2(X3A2), CF2(X3B1), CF2(X3B2) CO* CO(a3Π), CO(A1Π), CO(b3Σ), CO(B1Σ) 反应编号 反应式 速率系数/(cm3·s–1) 参考文献 a b c 电子碰撞反应 R1 e + C4F8 → 2C2F4 + e 9.58 × 10–8 0.042 8.572 [12] R2 e + C2F4 → 2CF2 + e 1.32 × 10–8 0.412 6.329 [12] R3 e + CF4 → CF3 + F + e 2.10 × 10–9 0.936 12.004 [35] R4 e + CF3 → CF2 + F + e 7.94 × 10–8 –0.452 12.100 [12] R5 e + CF2 → CF + F + e 1.16 × 10–8 –0.380 –14.350 [12] R6 e + CF → C + F + e 4.51 × 10–8 –0.110 8.941 [12] R7 e + F2 → 2F + e 1.08 × 10–8 –0.296 4.464 [12] R8 e + COF2 → COF + F + e 3.20 × 10–9 0.013 10.300 [36] R9 e + CO2 → CO + O + e 2.90 × 10–9 0.302 12.100 [37] R10 e + CO → C + O + e 1.54 × 10–8 0.270 14.600 [38] R11 e + O2 → 2O + e 1.71 × 10–8 –1.270 7.310 [39] R12 e + CF4 → ${\mathrm{CF}}_3^+ $ + F + 2e 2.29 × 10–8 0.680 18.304 [35] R13 e + CF3 → ${\mathrm{CF}}_2^+ $ + F + 2e 7.02 × 10–9 0.430 16.280 [12] R14 e + CF2 → CF+ + F + 2e 5.43 × 10–9 0.561 14.290 [12] R15 e + ${\mathrm{CF}}_3^+ $ → CF2 + F 6.54 × 10–8 –0.500 0.025 [13] R16 e + ${\mathrm{CF}}_2^+ $ → CF + F 6.54 × 10–8 –0.500 0.025 [13] R17 e + CF+ → C + F 6.54 × 10–8 –0.500 0.025 [13] R18 e + CF3 → ${\mathrm{CF}}_3^+ $ + 2e 1.36 × 10–9 0.796 9.057 [12] R19 e + CF2 → ${\mathrm{CF}}_2^+ $ + 2e 1.10 × 10–8 0.393 11.370 [12] R20 e + CF → CF+ + 2e 5.48 × 10–9 0.556 9.723 [12] R21 e + Ar → Ar+ + 2e 7.35 × 10–8 0.208 19.100 [40] 电荷交换反应 R22 $ {\mathrm{CF}}_2^+$ + CF → ${\mathrm{CF}}_3^+ $ + C 2.06 × 10–9 0 0 [13] R23 ${\mathrm{CF}}_2^+ $ + C → CF+ + CF 1.04 × 10–9 0 0 [13] R24 CF+ + CF3 → ${\mathrm{CF}}_3^+ $ + CF 1.71 × 10–9 0 0 [13] R25 CF+ + CF2 → ${\mathrm{CF}}_2^+ $ + CF 1.00 × 10–9 0 0 [13] R26 Ar+ + CF4 → ${\mathrm{CF}}_3^+ $ + F + Ar 4.80 × 10–10 0 0 [13] R27 Ar+ + CF3 → ${\mathrm{CF}}_2^+ $ + F + Ar 5.00 × 10–10 0 0 [13] R28 Ar+ + CF2 → CF+ + F + Ar 5.00 × 10–10 0 0 [13] 氧化反应 R29 CF3 + O → COF2 + F 3.30 × 10–11 0 0 [13] R30 CF2 + O → COF + F 3.10 × 10–11 0 0 [13] R31 CF + O → CO + F 6.60 × 10–11 0 0 [13] R32 COF + O → CO2 + F 9.30 × 10–11 0 0 [13] R33 COF + COF → COF2 + CO 1.00 × 10–11 0 0 [13] R34 C + CO2 → 2CO 1.00 × 10–15 0 0 [41] R35 COF + CF3 → COF2 + CF2 1.00 × 10–11 0 0 [13] R36 COF + CF2 → COF2 + CF 3.00 × 10–13 0 0 [13] R37 COF + CF3 → CO + CF4 1.00 × 10–11 0 0 [13] R38 COF + CF2 → CO + CF3 3.00 × 10–13 0 0 [13] 重组反应 R39 F + CF3 → CF4 2.00 × 10–11 0 0 [13] R40 F + CF2 → CF3 1.80 × 10–11 0 0 [13] R41 F + CF → CF2 9.96 × 10–11 0 0 [13] R42 F2 + CF3 → CF4 + F 1.90 × 10–14 0 0 [13] R43 F2 + CF2 → CF3 + F 8.30 × 10–14 0 0 [13] 反应编号 反应式 速率系数 原子扩散 R44 O → $\dfrac{1}{2} $O2 4.20 × 103 s–1 R45 F → $\dfrac{1}{2} $F2 3.2 × 102 s–1 离子扩散 R46 ${\mathrm{CF}}_3^+ $ → CF3 6.73 × 103 s–1 R47 ${\mathrm{CF}}_2^+ $ → CF2 7.91 × 103 s–1 R48 CF+ → CF 1.00 × 104 s–1 R49 Ar+ → Ar 8.85 × 103 s–1 等效表面反应 R50 C2F4 + C2F4 → C4F8 1.00 × 10–11 cm3/s R51 CF2 + CF2 → C2F4 1.00 × 10–11 cm3/s R52 C + F → CF 1.00 × 10–11 cm3/s 参数 Kimura和Noto Lee等[56] ICP腔室尺寸 半径/mm 80 80 高度/mm 80 130 放电工况 气压/mTorr 30 10 功率/W 140 700 气流/sccm 40 40 等离子参数 电子温度/eV 2.93—3.05 3.60—4.25 电子密度/cm–3 5.48 × 1010—
1.00 × 10115.00 × 1010—
6.20 × 1010 -
[1] [2] [3] [4] [5] [6] [7] [8] [9] [10] [11] [12] [13] [14] [15] [16] [17] [18] [19] [20] [21] [22] [23] [24] [25] [26] [27] [28] [29] [30] [31] [32] [33] [34] [35] [36] [37] [38] [39] [40] [41] [42] [43] [44] [45] [46] [47] [48] [49] [50] [51] [52] [53] [54] [55] [56] [57] [58]
计量
- 文章访问数: 501
- PDF下载量: 21
- 被引次数: 0








下载: