搜索

x

留言板

姓名
邮箱
手机号码
标题
留言内容
验证码

引用本文:
Citation:

陈炳烨, 蒋彬, 黄伟沣, 罗鑫
cstr: 32037.14.aps.74.20251222

Layer-dependent Raman spectroscopy study of 3R-phase MoS2

CHEN Bingye, JIANG Bin, HUANG Weifeng, LUO Xin
cstr: 32037.14.aps.74.20251222
Article Text (iFLYTEK Translation)
PDF
HTML
导出引用
在线预览
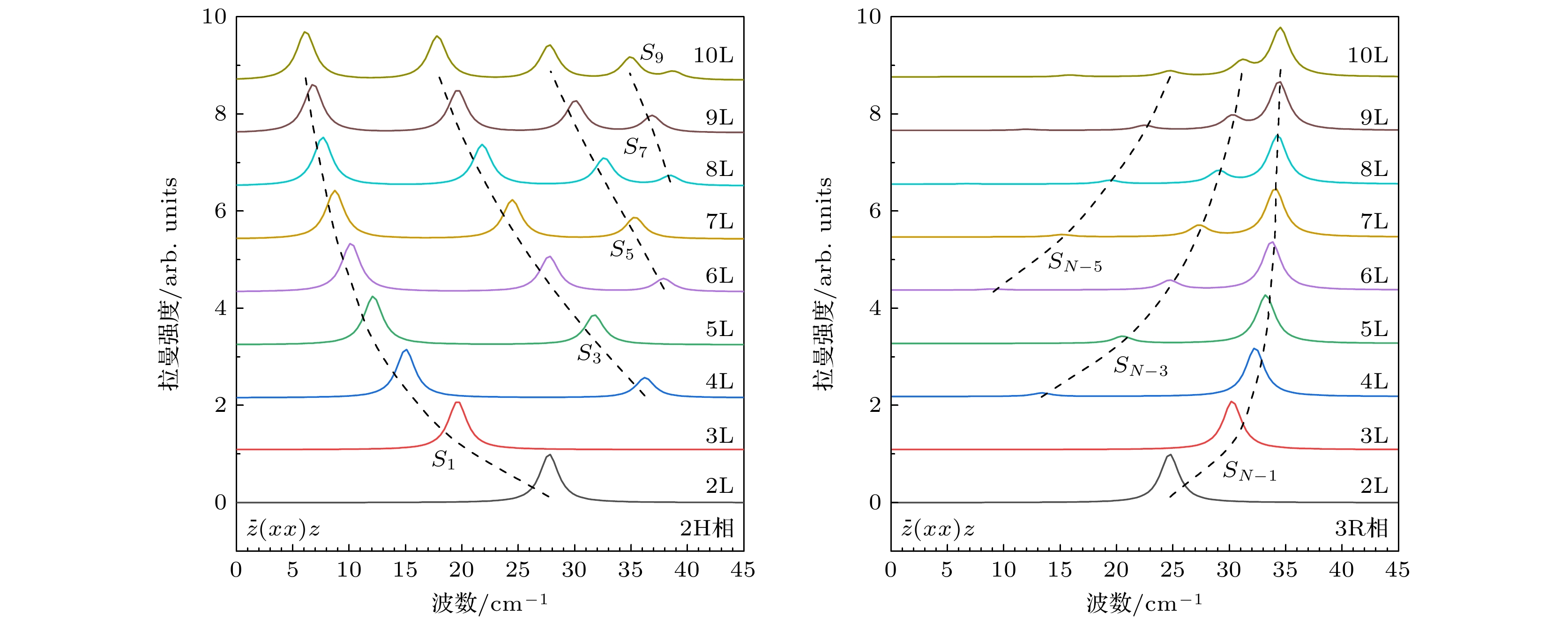
  • 本文系统研究了过渡金属二硫化物3R相MoS2的声子性质, 并与常见的2H相进行了对比. 研究通过拉曼光谱实验结合线性链模型、力常数模型和键极化模型, 对不同堆垛结构的振动模式、峰位及强度演化规律进行了深入分析. 结果表明, 高频拉曼光谱难以有效区分两种相, 但二次谐波对晶体对称性极为敏感, 可清晰实现堆垛相的鉴别; 在低频区域, 线性链模型能够刻画剪切模与呼吸模的层数依赖性, 而力常数模型因引入层内和层间的力常数后能更准确地拟合实验趋势; 键极化模型进一步解释了不同堆垛结构下拉曼散射强度的差异; 在高频区域, 3R相的峰位差对层数变化更加敏感, 因而在层数判定中具有更高的可靠性, 同时表面效应在其高频声子行为中起着更为关键的作用. 综上所述, 本文全面揭示了3R相MoS2的独特声子特征及层数依赖性, 为低维材料的堆垛结构识别和物性调控提供了重要依据, 并为其在光电器件、量子器件中的应用奠定了基础.
    Layered transition metal dichalcogenides (TMDs) have aroused extensive interest due to their remarkable electronic, optical, and mechanical properties. Among them, molybdenum disulfide (MoS2) exhibits two main stacking polytypes: the centrosymmetric 2H phase and the non-centrosymmetric 3R phase. The latter has recently received attention due to its spontaneous polarization, piezoelectricity, band modulation, and possible topological features, but its lattice dynamics and phonon-related properties are still poorly understood. To address this gap, in this work, we comprehensively study the layer-dependent Raman phonon characteristics of 3R-phase MoS2 and systematically compare them with those of the 2H phase. Experimentally, we employ confocal Raman spectroscopy and polarization-resolved second-harmonic generation (SHG) to probe vibrational modes and stacking-dependent nonlinear responses of samples ranging from monolayer to bulk. The SHG measurements provide a clear method for distinguishing stacking orders: although the SHG signals disappear in even-layer 2H samples due to inversion symmetry, they strongly exist in 3R samples of any thickness. The Raman spectra in the low-frequency region reveal different shear and breathing modes, and the evolution of these modes with layer number is analyzed using a linear chain model (LCM) and a more refined force constant model (FCM). Although the LCM qualitatively captures the layer-dependent shifts of interlayer vibrations, the FCM provides quantitative agreement with experiments by explicitly combining the nearest neighbors and the next-nearest-neighbor interactions as well as surface corrections. To further explain the relative intensities of interlayer Raman modes, we introduce the bond polarization model (BPM), which links mode-dependent scattering strength to the symmetry and orientation of chemical bonds. Our BPM analysis reveals the pronounced asymmetry in charge redistribution for 3R stacking, leading to weaker interlayer binding energy than 2H (0.111 eV vs. 0.113 eV), and consequently a lower sliding barrier, which is consistent with the observed propensity of 3R crystals for interlayer slip. In the high-frequency region, both stacking types show characteristic in-plane and out-of-plane modes. However, the peak separation in 3R-phase MoS2 demonstrates stronger sensitivity to the layer number, making it a more reliable spectroscopic fingerprint for thickness identification. Importantly, it is found that surface effects play a critical role in reproducing experimental high-frequency shifts in 3R samples, reflecting their weaker interlayer coupling and enhanced surface contributions. In summary, this work establishes a complete picture of the phonon behavior in 3R-phase MoS2, effectively bridging experiment and theory. Our results indicate that Raman spectroscopy combined with SHG provides a powerful toolkit for identifying stacking order and thickness in layered MoS2. By benchmarking LCM, FCM, and BPM models, we clarify the roles of interlayer coupling, stacking symmetry, and surface effects in shaping vibrational properties. These insights not only deepen the fundamental understanding of lattice dynamics of non-centrosymmetric TMD polytypes, but also lay the foundation for the development of 3R-phase MoS2 in next-generation optoelectronic, piezoelectric, and quantum devices.
      通信作者: 罗鑫, luox77@mail.sysu.edu.cn
    • 基金项目: 国家自然科学基金(批准号: 12572131, 12172386, 12132020, 12427803)、广东省磁电物性分析与器件重点实验室(批准号: 2022B1212010008)、广东省磁电物性基础学科研究中心(批准号: 2024B0303390001)、广州市基础与应用基础研究(批准号: 2025A04J7093)和中央高校基本科研业务费(批准号: 24XKJC012)资助的课题.
      Corresponding author: LUO Xin, luox77@mail.sysu.edu.cn
    • Funds: Project supported by the National Natural Science Foundation of China (Grant Nos. 12572131, 12172386, 12132020, 12427803), the Key Laboratory of Magnetoelectric Physics and Devices of Guangdong Province, China (Grant No. 2022B1212010008), the Research Center for Magnetoelectric Physics of Guangdong Province, China (Grant No. 2024B0303390001), the Basic and Applied Basic Research Foundation of Guangzhou, China (Grant No. 2025A04J7093), and the Fundamental Research Fund for the Central Universities, China (Grant No. 24XKJC012).
    [1]

    [2]

    [3]

    [4]

    [5]

    [6]

    [7]

    [8]

    [9]

    [10]

    [11]

    [12]

    [13]

    [14]

    [15]

    [16]

    [17]

    [18]

    [19]

    [20]

    [21]

    [22]

    [23]

    [24]

  • Phase Irr. rep. Exp. LDA LDA Exp. Irr. rep. Phase
    2H $ E_{1 {\mathrm{u}}} $(I) 0 0 $ A_{1} $(I+R) 3R
    $ A_{2 {\mathrm{u}}} $(I) 0 0 E (I+R)
    $ E_{2 {\mathrm{g}}} $(R) 33.29487 35.686900 34.037372 E (I+R)
    $ B_{1{\mathrm{ g}}} $ 57.941155 34.037596 E (I+R)
    $ E_{2 {\mathrm{u}}} $ 285.155367 48.724024 $ A_{1} $(I+R)
    $ E_{1 {\mathrm{g}}} $(R) 287.775743 48.724325 $ A_{1} $(I+R)
    $ E_{2 {\mathrm{g}}} $(R) 384.917714 384.976788 285.957612 E (I+R)
    $ E_{1 {\mathrm{u}}} $(I) 385.716750 285.958139 E (I+R)
    $ B_{2 {\mathrm{u}}} $ 404.033206 290.072680 E (I+R)
    $ A_{1{\mathrm{ g}}} $(R) 409.04906 408.106024 385.242202 383.66260 E (I+R)
    $ A_{2{\mathrm{ u}}} $(I) 465.182502 386.741898 E (I+R)
    $ B_{1 {\mathrm{g}}} $ 468.960303 386.742311 E (I+R)
    1H $ E' $(I+R) 0 405.420245 $ A_{1} $(I+R)
    $ A_2'' $(I) 0 405.420515 $ A_{1} $(I+R)
    $ E'' $(R) 287.529971 409.217160 409.42571 $ A_{1} $(I+R)
    $ E' $(I+R) 385.28101 389.234675 464.326446 $ A_{1} $(I+R)
    $ A_1' $(R) 403.77329 406.934400 469.500655 $ A_{1} $(I+R)
    $ A_2'' $(I) 472.790370 469.501212 $ A_{1} $(I+R)
    注: I表示具有红外活性, R表示具有拉曼活性, 频率均以cm–1为单位
    下载: 导出CSV

    力常数
    类型
    面内模式/(N·m–1) 面外模式/(N·m–1)
    2H块体 3R块体 单层 2H块体 3R块体 单层
    $ K_{{\rm{MoS_1}}} $ 4.236801 4.21876 4.34525 6.18676 6.15929 6.41101
    $ K_{{\rm{MoS_2}}} $ 0.03023 0.03780 0.01955 0.02427
    $ K_{{\rm{SS_1}}} $ 0.01571 0.01715 0.16477 0.14432
    $ K_{{\rm{SS_2}}} $ –0.188220 –0.18916 –0.19479 0.80216 0.77007 0.75612
    下载: 导出CSV
    Baidu
  • [1]

    [2]

    [3]

    [4]

    [5]

    [6]

    [7]

    [8]

    [9]

    [10]

    [11]

    [12]

    [13]

    [14]

    [15]

    [16]

    [17]

    [18]

    [19]

    [20]

    [21]

    [22]

    [23]

    [24]

  • [1] 黄坤, 王腾飞, 姚激. 单层MoS2的热弹耦合非线性板模型. 必威体育下载 , 2021, 70(13): 136201. doi: 10.7498/aps.70.20210160
    [2] 刘华松, 杨霄, 王利栓, 姜承慧, 刘丹丹, 季一勤, 张锋, 陈德应. SiO2薄膜红外波段介电常数谱的高斯振子模型研究. 必威体育下载 , 2017, 66(5): 054211. doi: 10.7498/aps.66.054211
    [3] 闫昭, 赵文静, 王荣瑶. 基于Logistic函数模型的纳米自组装动力学分析. 必威体育下载 , 2016, 65(12): 126101. doi: 10.7498/aps.65.126101
    [4] 左冬冬, 侯威, 王文祥. 中国西南地区干旱Copula函数模型对样本量的敏感性分析. 必威体育下载 , 2015, 64(10): 100203. doi: 10.7498/aps.64.100203
    [5] 苟立丹, 王晓茜. 杨-巴克斯特自旋1/2链模型的量子关联研究. 必威体育下载 , 2015, 64(7): 070302. doi: 10.7498/aps.64.070302
    [6] 王路, 徐江荣. 两相湍流统一色噪声法概率密度函数模型. 必威体育下载 , 2015, 64(5): 054704. doi: 10.7498/aps.64.054704
    [7] 屈少华, 曹万强. 球形无规键无规场模型研究弛豫铁电体极化效应. 必威体育下载 , 2014, 63(4): 047701. doi: 10.7498/aps.63.047701
    [8] 曾喆昭, 雷妮, 盛立锃. 不确定混沌系统的多项式函数模型补偿控制. 必威体育下载 , 2013, 62(15): 150506. doi: 10.7498/aps.62.150506
    [9] 曹万强, 舒明飞. 弛豫铁电体的键能与配位数模型. 必威体育下载 , 2013, 62(1): 017701. doi: 10.7498/aps.62.017701
    [10] 成泰民, 葛崇员, 孙树生, 贾维烨, 李林, 朱林, 马琰铭. 自旋为1/2的XY模型亚铁磁棱型链的物性和有序-无序竞争. 必威体育下载 , 2012, 61(18): 187502. doi: 10.7498/aps.61.187502
    [11] 弭光宝, 李培杰, 黄旭, 曹春晓. 液态结构与性质关系Ⅲ剩余键理论模型. 必威体育下载 , 2012, 61(18): 186106. doi: 10.7498/aps.61.186106
    [12] 陈东猛. 在不同应力下石墨烯中拉曼谱的G峰劈裂的变化. 必威体育下载 , 2010, 59(9): 6399-6404. doi: 10.7498/aps.59.6399
    [13] 徐东伟, 高 华, 薛德胜. 磁性纳米线反磁化过程的截椭球链模型. 必威体育下载 , 2007, 56(12): 7274-7279. doi: 10.7498/aps.56.7274
    [14] 张晋鲁, 蒋建国, 蒋新革, 黄以能. 线性高分子体系中高分子链间排除体积效应的模型化. 必威体育下载 , 2007, 56(9): 5088-5092. doi: 10.7498/aps.56.5088
    [15] 任国斌, 王 智, 娄淑琴, 简水生. 椭圆孔光子晶体光纤的本地正交函数模型. 必威体育下载 , 2004, 53(2): 484-489. doi: 10.7498/aps.53.484
    [16] 潘必才. 包含键环境修正的硅氢紧束缚势模型. 必威体育下载 , 2001, 50(2): 268-272. doi: 10.7498/aps.50.268
    [17] 杜懋陆, 李兆民, 谌家军. d~3络合物零场分裂的双自旋-轨道耦合参数模型. 必威体育下载 , 1995, 44(10): 1607-1614. doi: 10.7498/aps.44.1607
    [18] 王怀玉. 耦合平行链的模型研究. 必威体育下载 , 1993, 42(10): 1627-1634. doi: 10.7498/aps.42.1627
    [19] 杜懋陆, 谌家军, 陈康生. Ni2+—6X-络合物g因子的双自旋—轨道耦合系数模型. 必威体育下载 , 1992, 41(7): 1174-1181. doi: 10.7498/aps.41.1174
    [20] 霍裕平, 刘志远, 陈肖兰. 共价半导体的化学键模型. 必威体育下载 , 1962, 18(12): 609-620. doi: 10.7498/aps.18.609
计量
  • 文章访问数:  1188
  • PDF下载量:  51
  • 被引次数: 0
出版历程
  • 收稿日期:  2025-09-07
  • 修回日期:  2025-09-20
  • 上网日期:  2025-09-30
  • 刊出日期:  2025-11-20

返回文章
返回
Baidu
map