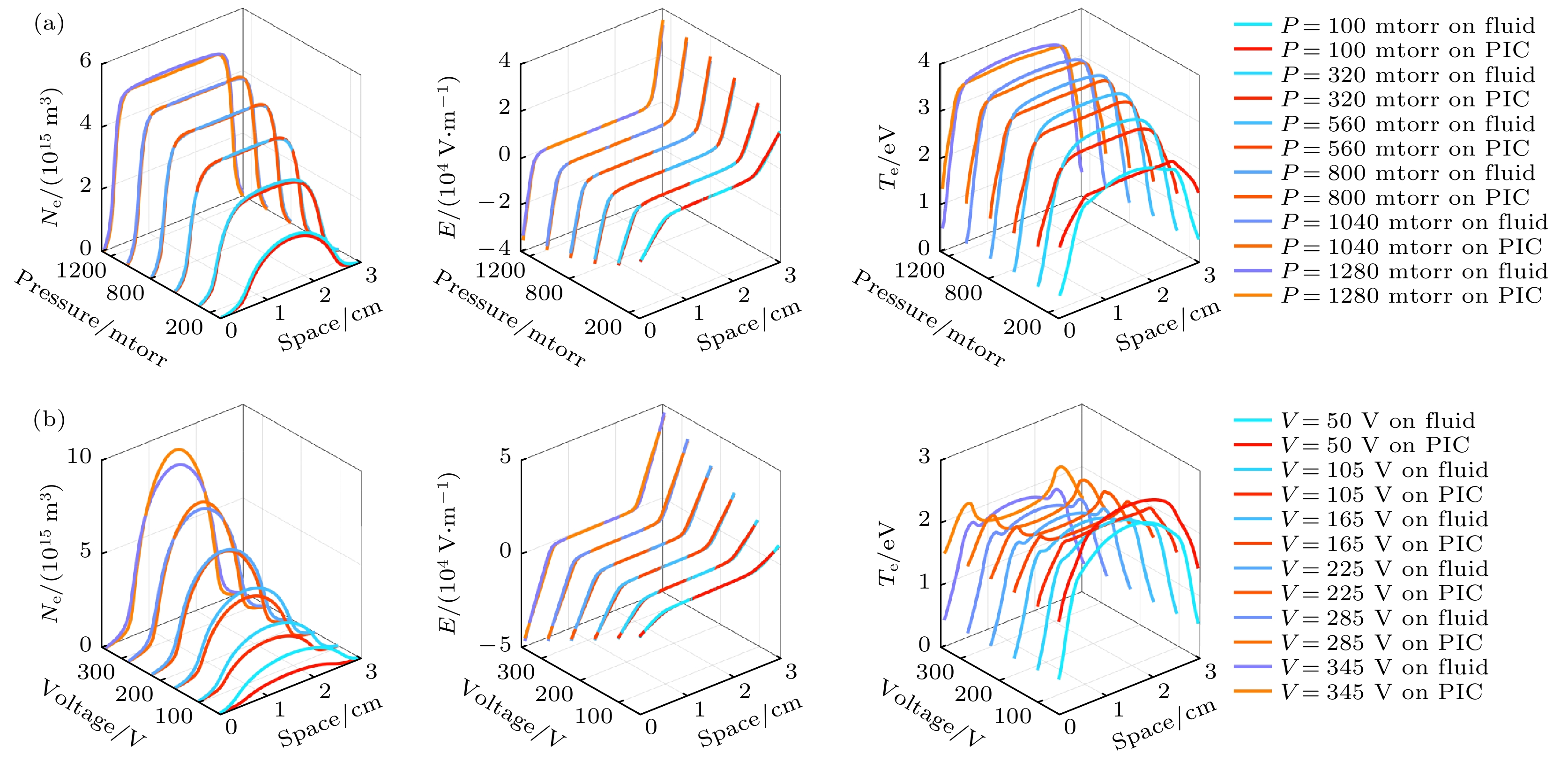
Fluid simulations of capacitively coupled plasmas (CCPs) are crucial for understanding their discharge physics, yet the high computational cost results in a major bottleneck. To overcome this limitation, we develop a deep learning-based surrogate model to replicate the output of a one-dimensional CCP fluid model with near-instantaneous inference speed. Through a systematic evaluation of three architectures, i.e. feedforward neural network (FNN), attention-enhanced long short-term memory network (ALSTM), and convolutional-transformer hybrid network (CTransformer) it is found that the sequence-structured ALSTM model can achieve the optimal balance between speed and accuracy, with an overall prediction error of only 1.73% for electron density, electric field, and electron temperature in argon discharge. This study not only achieves significant simulation acceleration but also reveals that the model can accurately extrapolate from low-pressure conditions dominated by complex non-local effects to high-pressure conditions governed by simple local behavior, whereas the reverse extrapolation fails. This finding suggests that training under low-pressure conditions enables the model to capture more comprehensive physical features. From the perspective of model weights, both low-pressure and high-pressure models assign important weights to the sheath region. However, the low-pressure model exhibits higher weight peaks in the sheath, indicating stronger ability to capture the essential physics of sheath dynamics. In contrast, the high-pressure model, because of its lower weighting in the sheath region, may fail to adequately resolve complex sheath dynamics when predicting under new operating conditions, thereby limiting its extrapolation capability with high fidelity. To ensure the reliability of this data-driven model in practical applications, we establish a trust boundary with a normalized mean absolute spatial error of 5% for model performance through systematic extrapolation experiments. When the model's extrapolation error falls below this threshold, the spatial distribution curves of predicted parameters such as electron density and electron temperature closely match the true physical distributions. However, once the error exceeds this critical point, systematic deviations such as morphological distortion and amplitude discrepancies begin to appear in the predicted spatial distributions, significantly deviating from the true physical laws. In the future, we will develop neural network models capable of processing high-dimensional spatial data and combining multi-dimensional input features such as various discharge gases, ultimately realizing a dedicated AI model for the field of capacitively coupled plasmas.