The study of chaos is an important field in science and has achieved many significant results. In the earlier days of the field, the study mainly focused on the systems that exhibit smooth behaviors throughout. Nonsmooth systems, by contrast, have received less attention. Nonsmooth dynamical systems are widely encountered in practical applications, such as impact oscillators, relaxation oscillators, switch circuits, neuron firing, epidemic models, and even economic models. They have become an active field of study in recent years. The typical characteristics of those systems are the abrupt variation of dynamics following a slow evolution over a longer period of time. Piecewise smooth maps are important models frequently used to describe the dynamics of those systems. Among them, much attention is paid to a class of generally one dimensional piecewise linear discontinuous mappings, as they are easy to handle and can display a rich variety of dynamical phenomena with new characteristics.
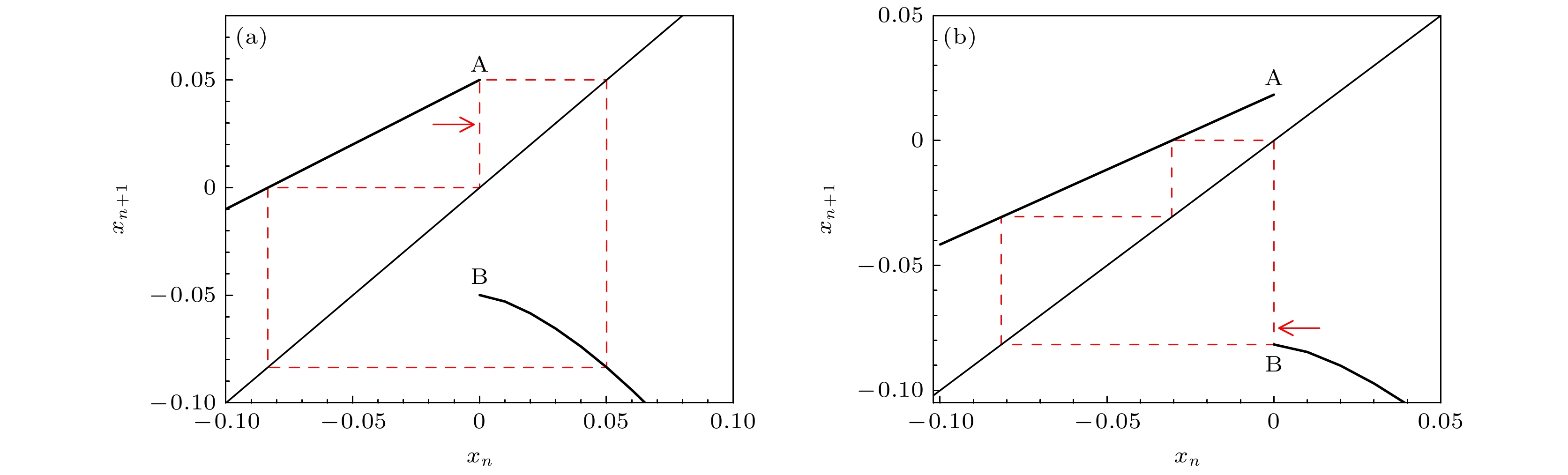
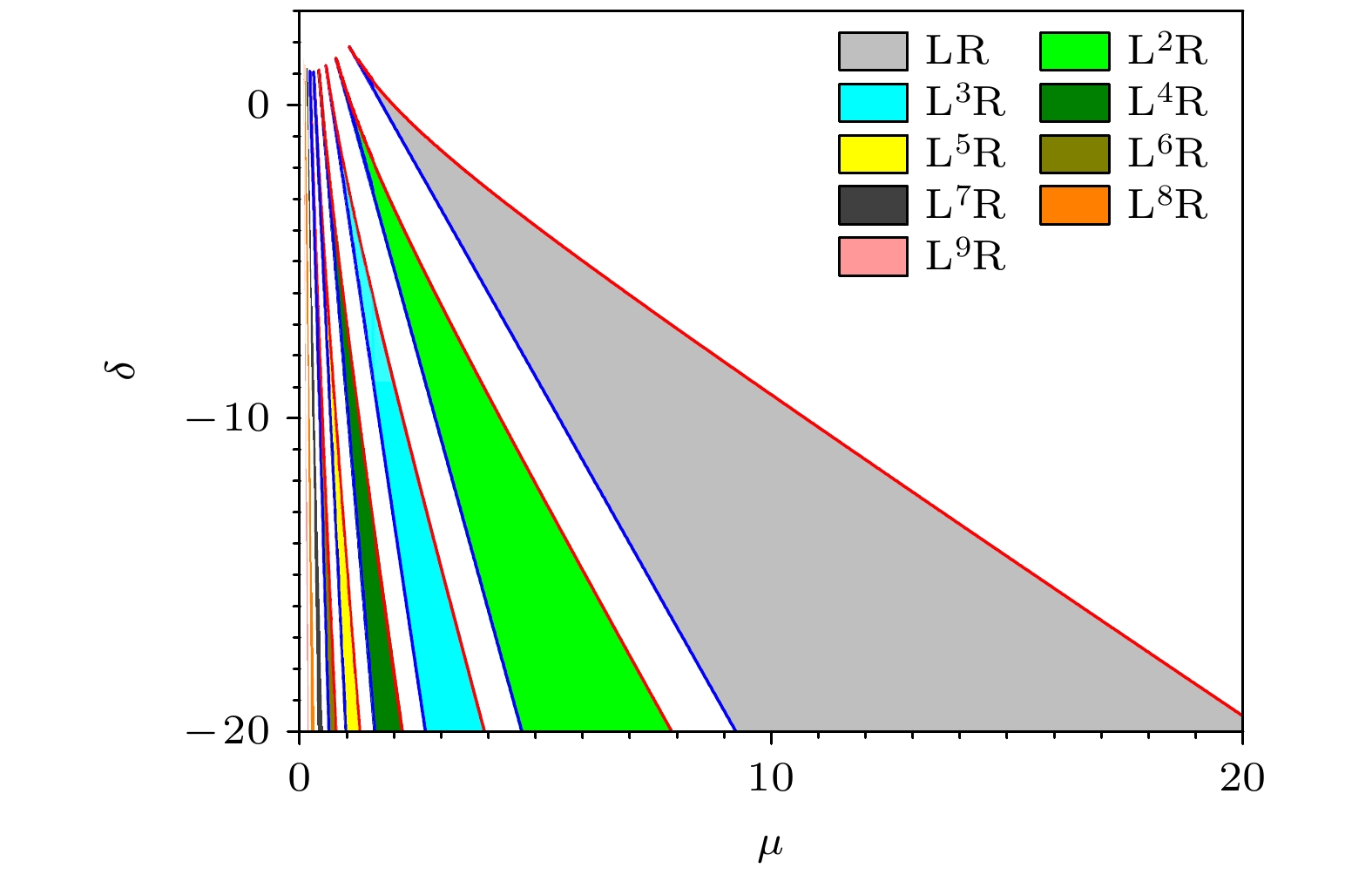
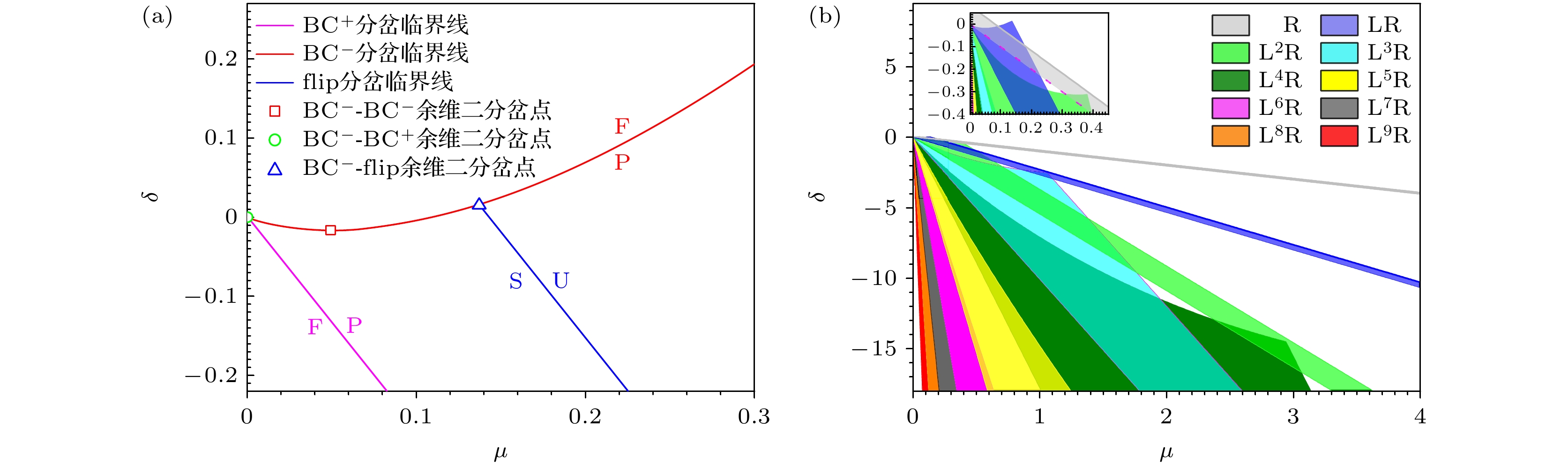
Included in this work is a discontinuous two-piece mapping function. The left branch is a linear function with slope α, and the right branch is a power law function with exponent z. There exists a gap limited by \mu,\mu+\delta at x=0, where μ is the control parameter and δ is the width of the gap. Even though the dynamics of nonsmooth and continuous mapping have been extensively studied at some special z values, their discontinuous counterparts have not been investigated at any z and discontinuous gap δ. The presence of a discontinuity may induce border collision bifurcations. The interplay between these bifurcations associated with stability analysis and the border collision bifurcations may produce complex dynamics with new characteristics. Therefore, this work investigates the dynamics of those mappings in which periodic increments, periodic adding and coexistence of attractors are observed. The border collision bifurcation often disrupts a stable periodic orbit, causing it transition into either a chaotic state or a different periodic orbit. Near the critical parameters of this bifurcation, a periodic orbit often coexists with a chaotic or another periodic attractor. A general approach is proposed to analytically and numerically calculate the critical control parameters at which the border collision bifurcations happen, which transform the problem into the solution of an algebraic equation of dimensionless control parameter μ/μ0, where μ0 is the critical control parameter when δ = 0. The solution can be obtained analytically when z is a simple rational number or small integer, and numerically for an arbitrary real number. In this way, the stability condition and critical control parameters for the periodic orbit of type L^n-1R are analytically or numerically obtained under the arbitrary exponent z and discontinuous gap δ. The results are in accordance with the numerical simulations very well. Based on the stability and border collision bifurcation analysis, the phase diagrams in the plane of two dimensional parameters μ−δ are built for different ranges of z. Their dynamical behaviors are discussed, and three types of co-dimension-2 bifurcations are observed, and the general expressions for the coordinates at which those phenomena occur are obtained in the phase plane. Meanwhile, a specular tripe-point induced by merging of co-dimension-2 bifurcation points BC−-flip and BC−-BC− is observed in the phase plane, and the condition for its existence is analytical obtained.