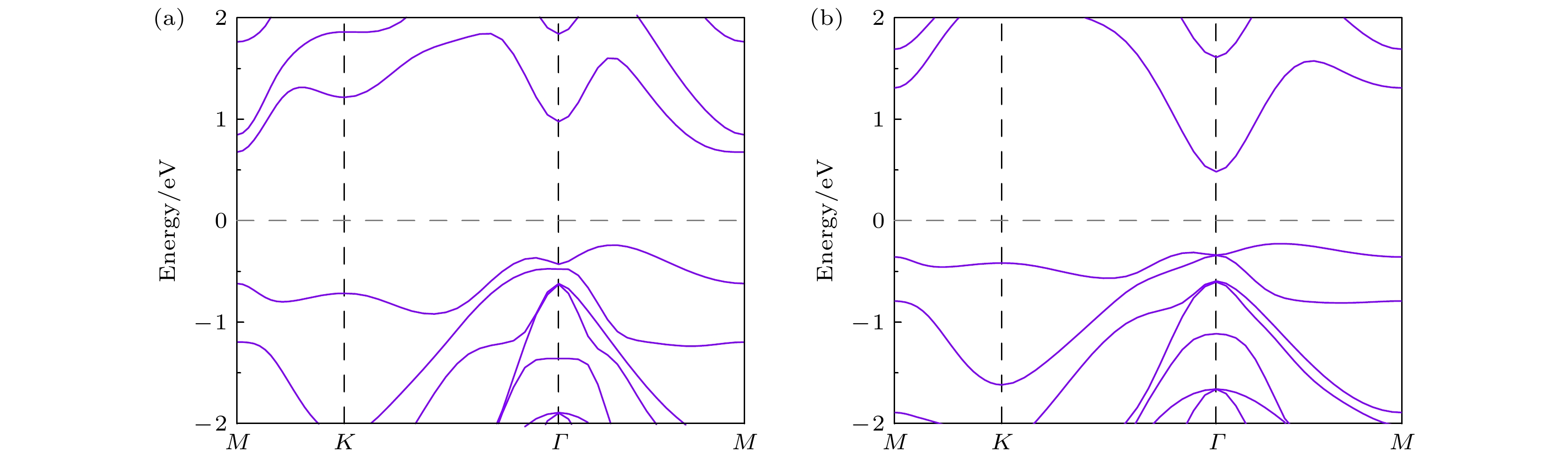
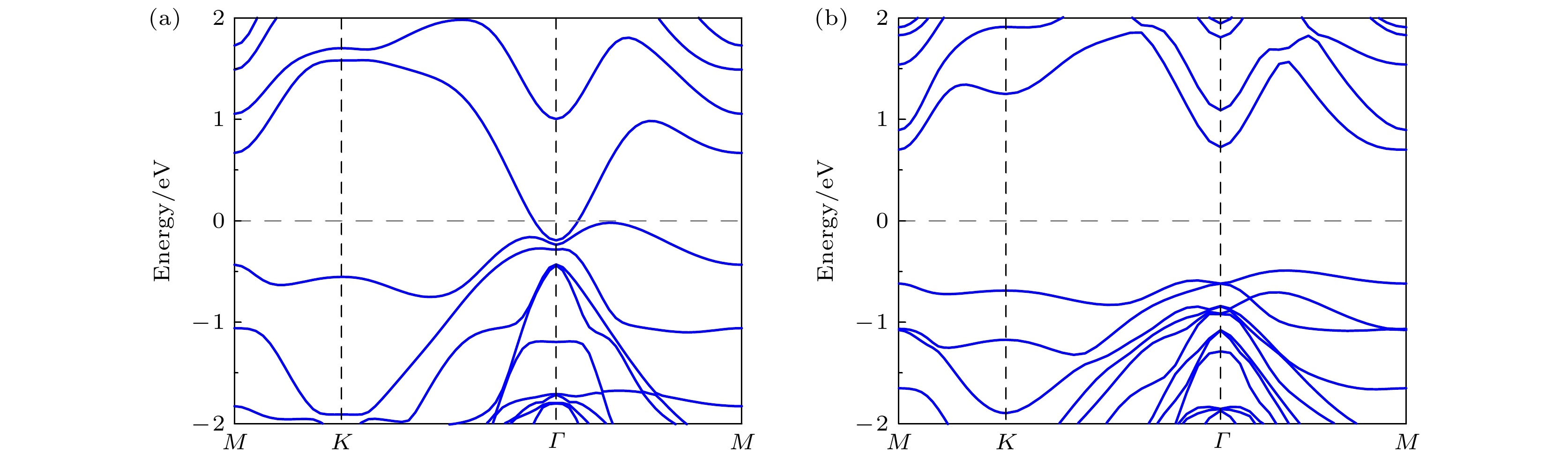
In recent years, two-dimensional (2D) ferroelectric materials have attracted widespread interest due to their ultrathin geometry, high stability, and switchable polarization states. Ferroelectric tunnel junctions (FTJs) made from 2D ferroelectric materials exhibit exceptionally high tunnel electroresistance (TER) ratios, making them leading candidates for next-generation non-volatile memory and logic devices. However, advancing FTJ technology depends on overcoming the critical challenge of precisely controlling quantum tunneling resistance. Therefore, this study proposes a strategy of interfacial work function engineering, which actively modulates the band alignment of a heterostructure through ferroelectric polarization switching, induces a reversible metal-insulator transition in the barrier layer, and modulates TER. Using a van der Waals heterostructure composed of Al2Te3/In2Se3 as a model system, we demonstrate through first-principles calculations that the strategic manipulation of interfacial work functions can induce a reversible metal-insulator transition in the barrier, thereby drastically changing the tunneling conductance. Further analysis indicates that a work function mismatch between the two ferroelectric materials causes varying degrees of interfacial charge transfer, thereby triggering a metal-insulator transition in the van der Waals ferroelectric heterostructure as the external electric field is reversed. Non-equilibrium transport simulations reveal an unprecedented TER ratio of 2.69×105%. Our findings not only highlight Al2Te3/In2Se3 as a promising platform for high-performance FTJs but also establish a universal design strategy for engineering ultrahigh TER effects in low-dimensional ferroelectric memory devices. This work opens new avenues for developing energy-efficient, non-volatile memory with enhanced scalability and switching characteristics.