搜索

x

留言板

姓名
邮箱
手机号码
标题
留言内容
验证码

引用本文:
Citation:

刘亚琪, 李志龙, 王永佳, 李庆峰, 马春旺

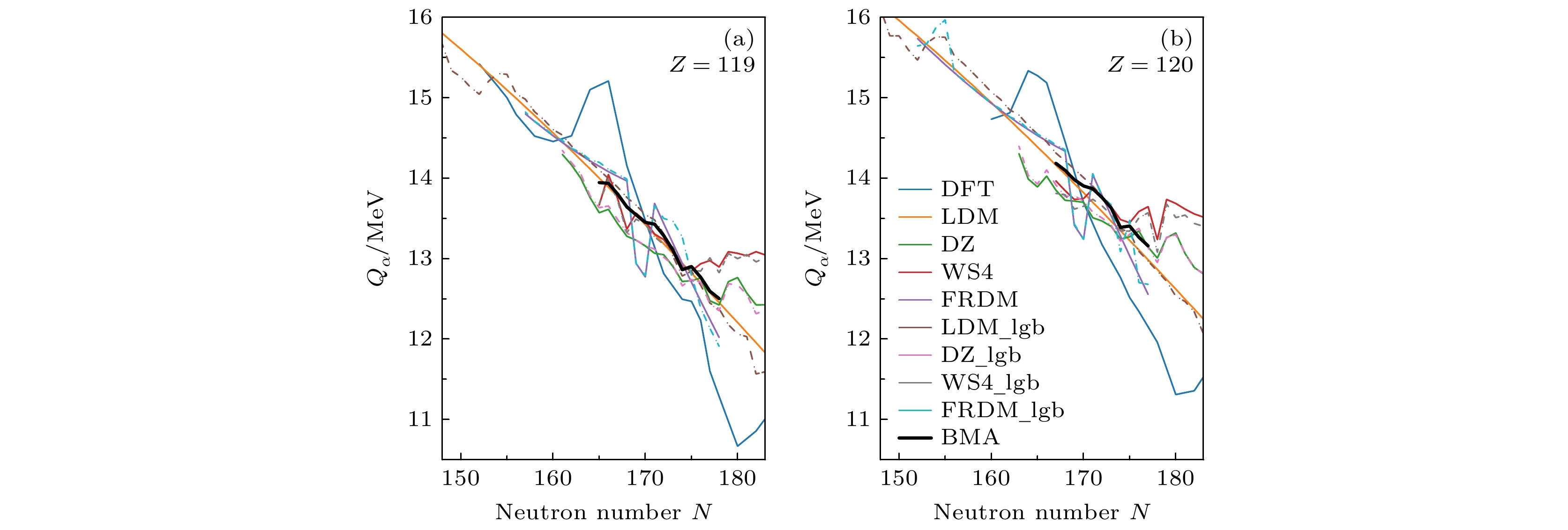
Further exploration of the machine-learning-based nuclear mass table

LIU Yaqi, LI Zhilong, WANG Yongjia, LI Qingfeng, MA Chunwang
Article Text (iFLYTEK Translation)
PDF
HTML
导出引用
在线预览
计量
  • 文章访问数:  117
  • PDF下载量:  4
  • 被引次数: 0
出版历程
  • 收稿日期:  2025-11-09
  • 修回日期:  2025-12-04
  • 上网日期:  2025-12-25

返回文章
返回
Baidu
map