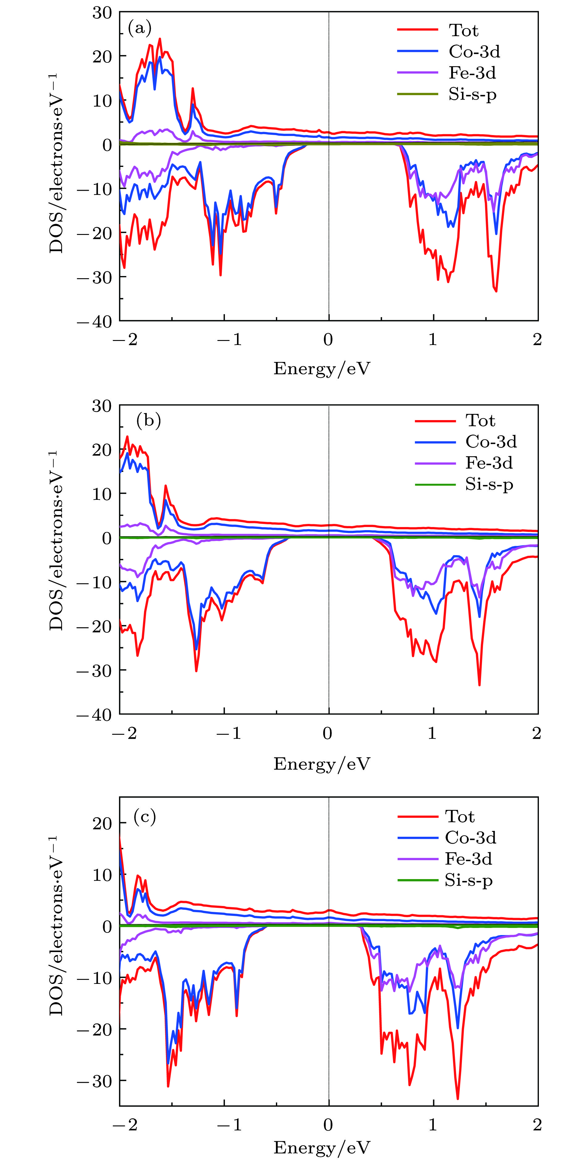
\begin{document}${{\text{μ}}{\rm{B}}}$\end{document}, which is a good candidate for spintronic devices. We here choose and substitute Al atoms in Co2FeAl with Si atoms, and then carry out the theoretical predictions of Co2FeAl1–xSix (x = 0.25, 0.5, 0.75) for both bulk and film . In this paper, using the first principles calculations based on the density functional theory (DFT) we study the electronic structure, tetragonal distortion, elastic constants, phonon spectrum and thermoelectric properties of Co2FeAl1–xSix (x = 0.25, 0.5, 0.75) series alloys. The calculation results show that the electronic structure of Co2FeAl1–xSix (x = 0.25, 0.5, 0.75) series alloys are all half-metallic with 100% spin polarization, and the down spin states (semiconducting character) all exhibit good thermoelectric properties, and the power factor increases with the substitution concentration of Si atoms increasing. The calculated phonon spectrum does not have virtual frequency, indicating its dynamic stability, and all cubic phases fulfill the mechanical stability criteria, i.e. Born criteria: C11 > 0, C44 > 0, C11–C12 > 0, C11 + 2C12 > 0, and C12 < B < C11. With the variation of lattice constant ratio c/a, the lowest energy point of the structure for Co2FeAl1–xSix (x = 0.25, 0.5, 0.75) series alloys are all at c/a = 1, showing that the stability of the structure does not change with the variation of distortion c/a, and further the martensitic transformation cannot occur. For the Co2FeAl1–xSix (x = 0.25, 0.5, 0.75) series alloy thin films, the calculated electronic structures all show a high spin polarization, and it reaches 100% at x = 0.75, and for x = 0.75, the lowest energy point of the structure is at c/a = 1.2, suggesting the martensitic transformation in this structure. With the variation of the tetragonal distortion, the total magnetic moment also changes and it is mainly determined by the changes of atomic magnetic moment of transition-metals Fe and Co."> First-principles study of structure, electronic structure and thermoelectric properties for Co<sub>2</sub>-based Heusler alloys Co<sub>2</sub>FeAl<sub>1–x</sub>Si<sub>x</sub> (x = 0.25, x = 0.5, x = 0.75) - 必威体育下载

Search

Article

x

留言板

姓名
邮箱
手机号码
标题
留言内容
验证码

downloadPDF
Citation:

    Yang Yan-Min, Li Jia, Ma Hong-Ran, Yang Guang, Mao Xiu-Juan, Li Cong-Cong
    PDF
    HTML
    Get Citation
    Metrics
    • Abstract views:7378
    • PDF Downloads:117
    • Cited By:0
    Publishing process
    • Received Date:03 September 2018
    • Accepted Date:24 December 2018
    • Available Online:01 February 2019
    • Published Online:20 February 2019

      返回文章
      返回
        Baidu
        map