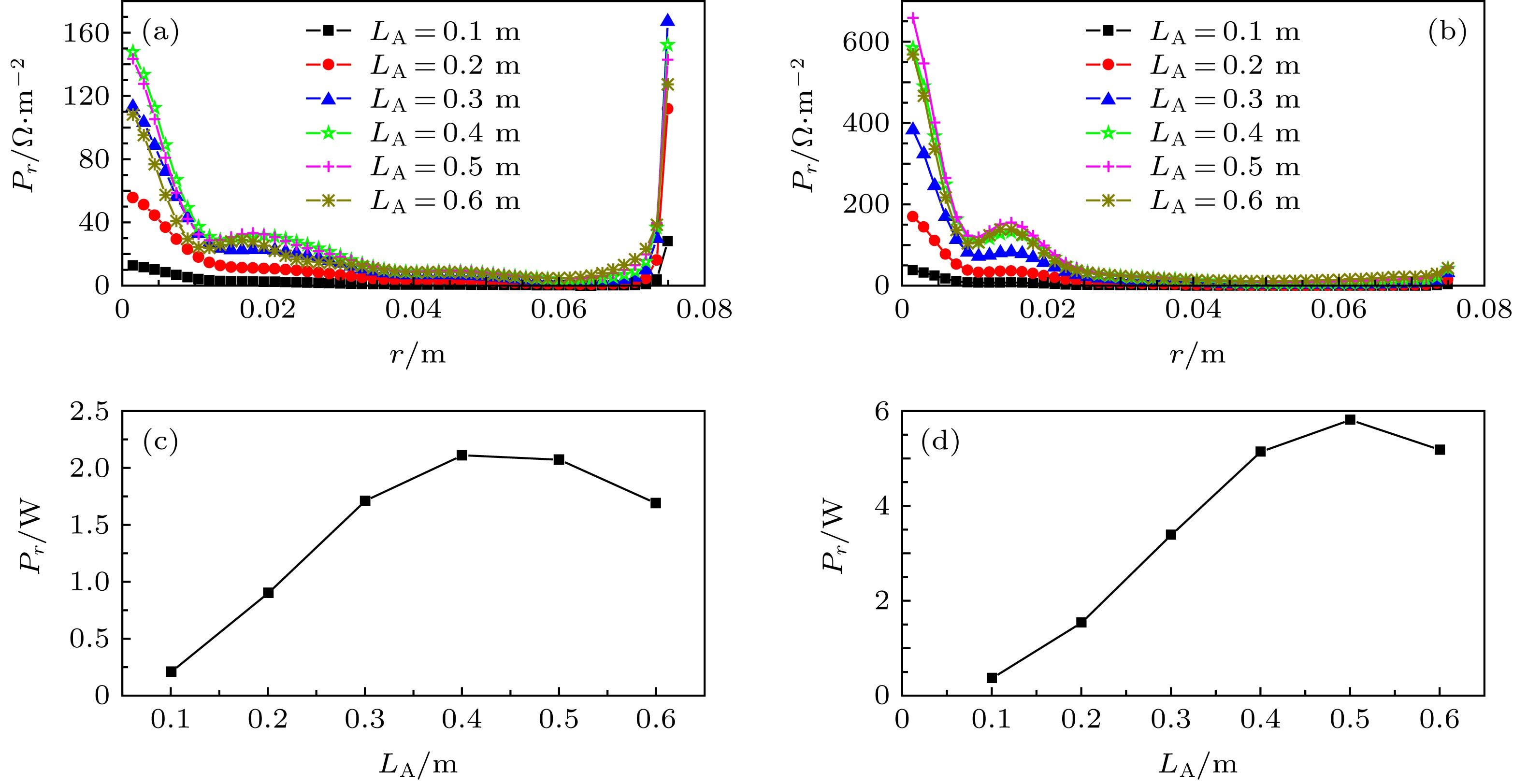
Recently, helicon plasma sources have aroused the great interest particularly in plasma-material interaction under fusion conditions. In this paper, the helicon wave antenna in helicon physics prototype experiment (HPPX) is optimized. To reveal the effect of the radial density configuration on wave field and energy flow, Maxwell's equations for a radially nonuniform plasma with standard cold-plasma dielectric tensor are solved. Helicon wave coupling and power deposition are studied under different types of antennas, different antenna lengths and driving frequencies by using HELIC. Through the numerical simulation, the optimal antenna structure and size are obtained, that is, half helix antenna, which works at 13.56 MHz and has a length of 0.4 m, can generate nonaxisymmetric radio frequency energy coupling to excite higher electron density.
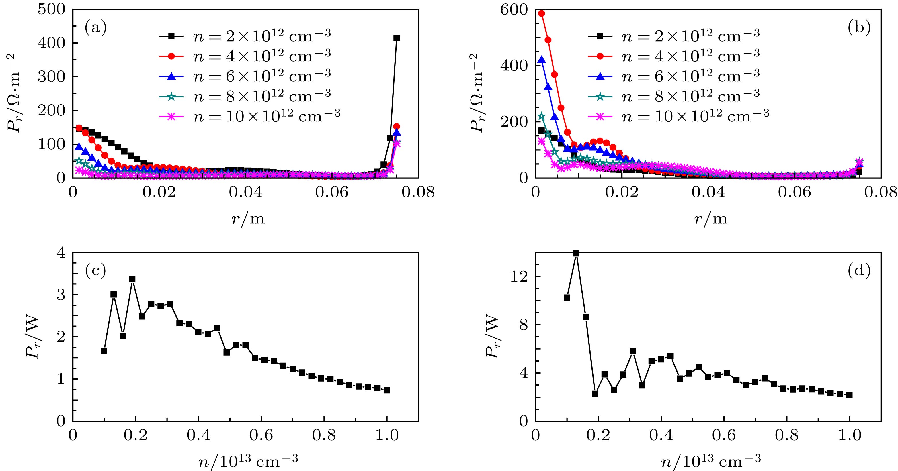
The influences of different static magnetic fields and axis plasma densities on power deposition are also analyzed. It is found that the absorbed power of the plasma to the helicon wave has different peak power points in a multiple static magnetic field and axial plasma densities, and the overall coupling trend increases with static magnetic field increasing, but decreases with axis plasma density increasing. According to the simulation results, the ionization mechanism of helicon plasma is discussed. In order to further study the coupling of helicon wave with plasma in HPPX, the induced electromagnetic field and current density distribution are given when the plasma discharges. Under parabolic density distribution, the field intensity of the induced electric field at the edge is large, while neither the induced magnetic field nor current density changes much along the radial direction, the energy is distributed evenly in the whole plasma. Under the Gaussian density distribution, the induced electric field intensity is higher at the edge, while the induced magnetic field and current density in the center are much higher than at the edge.
In this paper studied are the structure and size of helicon wave antenna, the influences of static magnetic field and axial plasma density on plasma power deposition and the distribution of induced electromagnetic field and current density during plasma discharge under different density distributions. This work will provide important theoretical basis for helicon wave antena design and relevant physical experiments on HPPX.