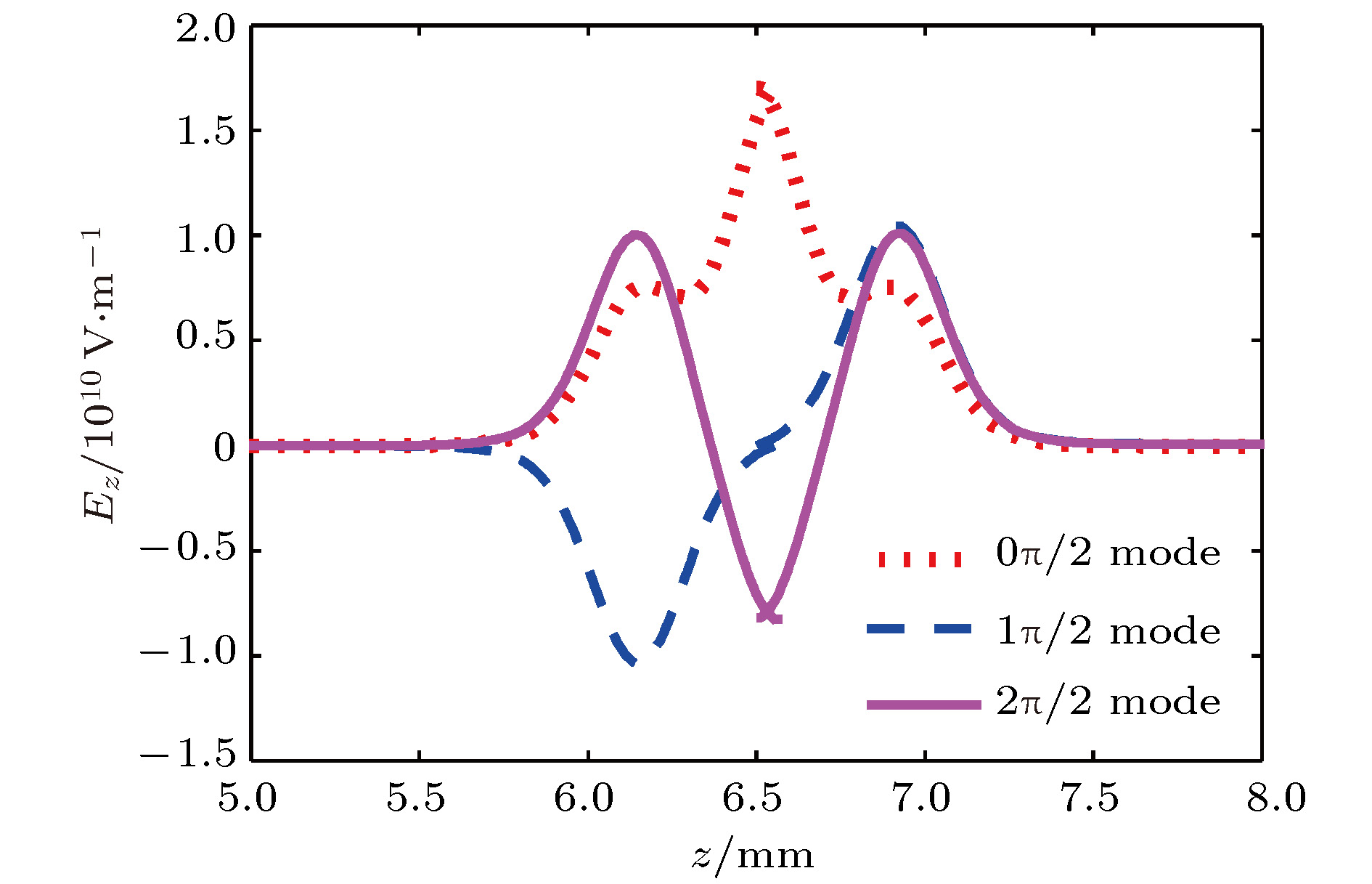
\begin{document}${\text{π}}$\end{document} mode standing wave electric treld in a multiple-gap resonator is analyzed, and the expressions of electron load conductance and electron load susceptance in the multiple-gap resonator are presented. The results show that the electron load conductance of extended interaction cavity can change in a bigger extension than that of traditional single gap cavity, which means that the loaded Q of extended interaction cavity can be adjusted in a bigger extension to realize a desired Q. And the results also show that the electron load susceptance of extended interaction cavity can change in a bigger extension than that of traditional single gap cavity, which means that the loaded frequency of extended interaction cavity can also be easily adjusted to a desired value. The influence of gap number on the power exchange between beam and microwave is also investigated, which shows that the maximum power exchange between beam and microwave electric field increases with the number of resonator gaps increasing, and so does the efficiency of klystron. A W band extended interaction klystron amplifoer is designed by the above theory analysis and three-dimensional (3D) PIC code. The simulation results show that when beam voltage is 20.8 kV, current is 0.28 A, input power is 30 mW at a frequency of 94.77 GHz, the extended interaction klystron can produce 443 W output power. The responding electron efficiency is 7.6%, the gain is 41.7 dB, and the 3 dB bandwidth exceeds 150 MHz. The extended interaction klystron is machined and tested, and the experimental results show that the maximum output power of 175 W is obtained with a beam of 300 mA, a voltage of 20.8 kV, and an input microwave power of 30 mW at a frequency of 95.37 GHz in a magnetic field of 0.62 T. The responding electron efficiency is 2.8%, the gain is 34.6 dB, the 3-dB bandwidth exceeds 90 MHz. This study is meaningful for designing and developing greater power extended interaction klystrons."> - 必威体育下载

Search

Article

x

留言板

姓名
邮箱
手机号码
标题
留言内容
验证码

downloadPDF
Citation:

    Zeng Zao-Jin, Hu Lin-Lin, Ma Qiao-Sheng, Jiang Yi, Chen Hong-Bin
    PDF
    HTML
    Get Citation
    Metrics
    • Abstract views:7541
    • PDF Downloads:72
    • Cited By:0
    Publishing process
    • Received Date:13 December 2018
    • Accepted Date:09 January 2019
    • Available Online:01 April 2019
    • Published Online:20 April 2019

      返回文章
      返回
        Baidu
        map