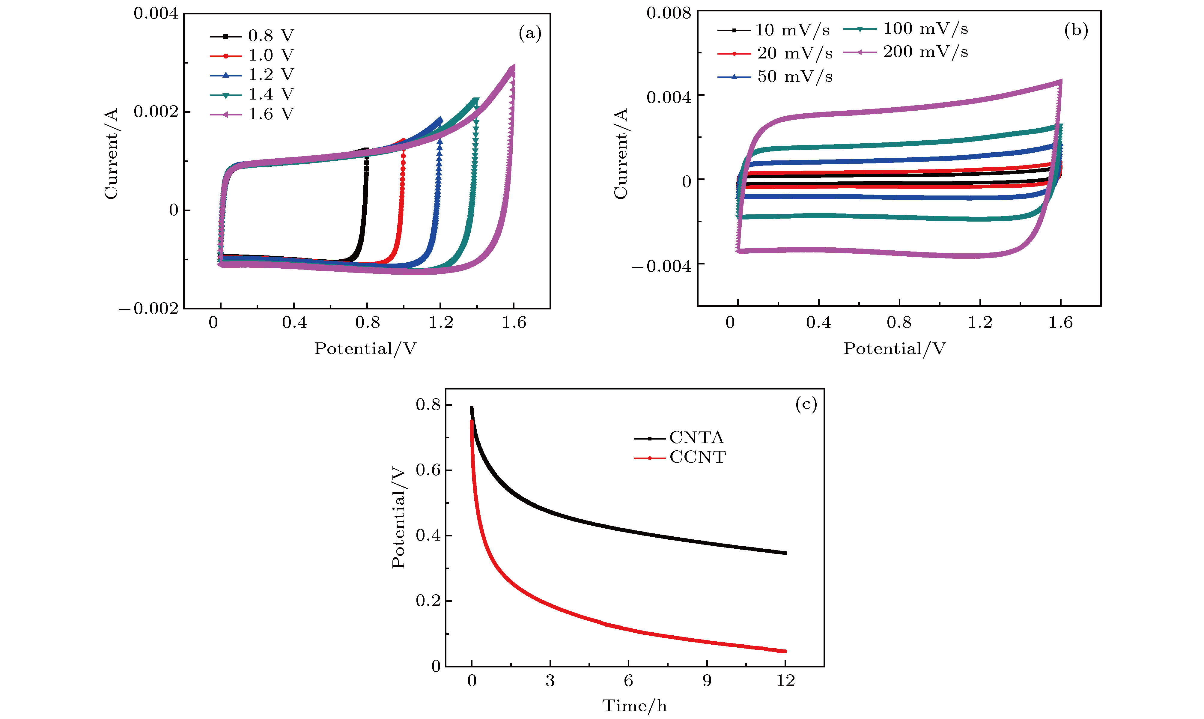
As a new energy storage device, supercapacitor (or electrochemical capacitor) has an ultra-long cycle life, extremely high power density and enhanced energy density. It fills the gap in the energy-power spectrum between traditional capacitor and battery. In general, the traditional energy storage and conversion device cannot have a perfect trade-off between high energy density and high power density. With the rapid development of modern society, developing light, portable, safe and environmentally friendly high-performance energy storage devices has become increasingly vital. Therefore, there are numerous researches of flexible solid supercapacitors emerging at this historic moment. The selection of flexible electrode materials and that of electrolytes are crucial factors in designing the flexible solid state supercapacitors, which have been the research hotspots in recent years. Carbon nanotube array has been widely used in electrode material of super capacitors due to its excellent electrical conductivity, large specific surface area and super high chemical stability. But in assembly process, carbon nanotube array easily collapses and breaks its neat orientation because of its poor mechanical strength. In consideration of environmental contamination and practical demands, in this paper the neutral gel electrolyte is adopted to embed carbon nanotube array to form flexible composite film electrode. Besides the fact that we use hydrophilic flexible carbon cloth as current collector and neutral gel electrolyte as separator to prepare flexible devices, we compare the electrochemical properties among different devices by changing the electrolyte salt added in gel electrolyte. Meanwhile, after continuous bending and folding, the properties of flexible devices have not been significantly damaged, indicating good flexibility and mechanical stability. The specific capacity of the whole device with PVA-NaCl used as gel electrolyte increases up to 104.5 mF·cm
–3, which is much higher than the specific capacity of the composite device formed by organic ionic gels with carbon nanotube array and that of the composite device formed by commercial short carbon nanotubes with hydrogels. A maximum energy density of 0.034 mW·h·cm
–3is obtained at the same time. In addition, it has good rate performance, cycling stability, suppressing self-discharge property, and good chemical stability at a high voltage of 1.6 V. Neutral gel/carbon nanotube array composite devices not only meet the needs of the era of green safety, flexible and portable folding, but also open up the future application prospects of medical implants.