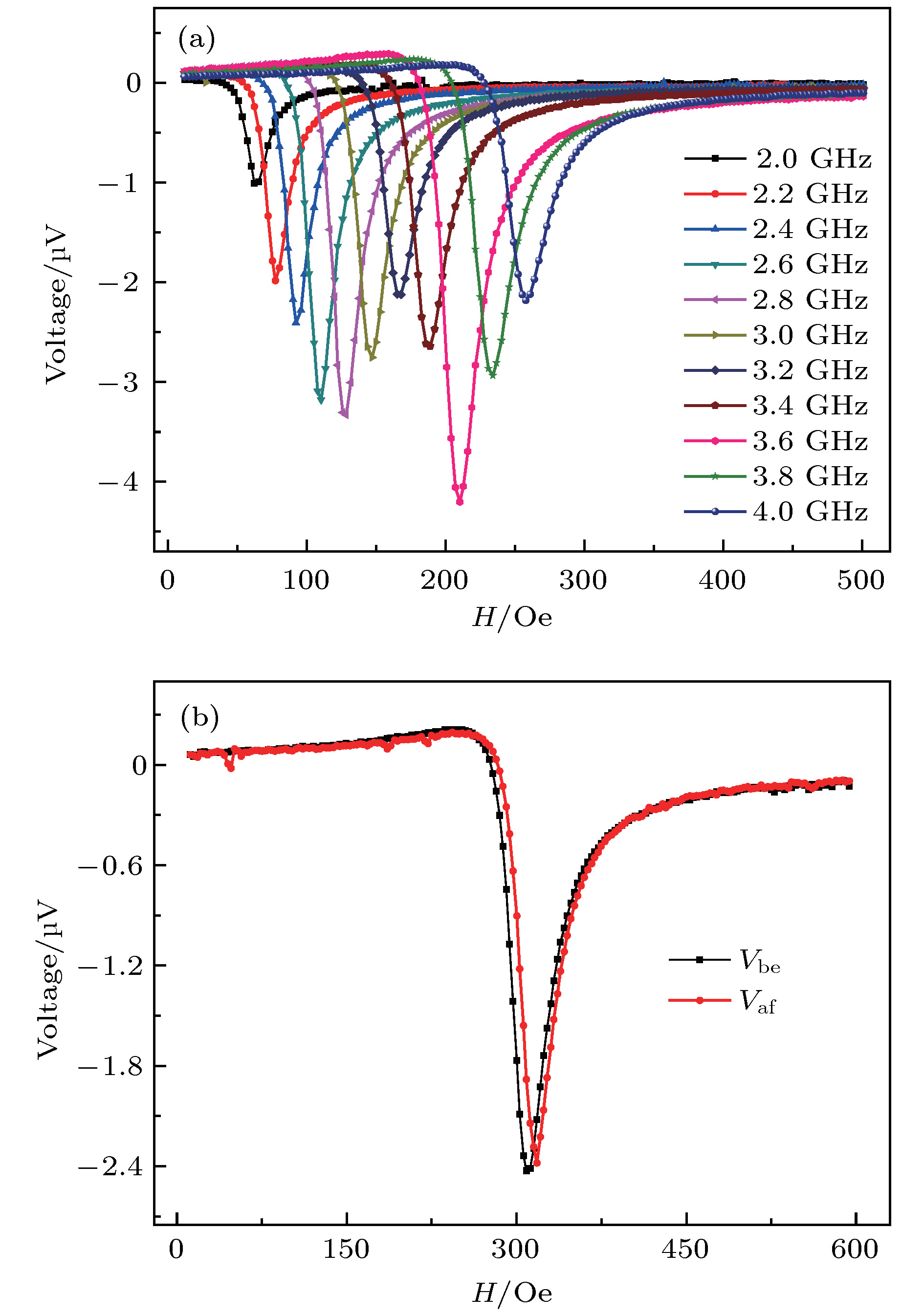
The inverse spin Hall effect (ISHE), namely spin flows converted into charge currents due to spin orbital interaction, is investigated extensively in heavy metals, such as Pt, W, Au, etc. Recently, the effect was also found in Cu doped with Au. Their difference is that the spin Hall effect is from the intrinsic effect which is related to the topological character of the electronic bands, while the ISHE is mainly from the extrinsic spin dependent scattering by the impurities. The impurity scattering can give opportunities to tune the effect, for example by impurity concentration, which is impossible by the intrinsic mechanism. In this work, we extend the material to the doped oxides. NiFe films are deposited on undoped and doped SrTiO
3substrates by magnetron sputtering, respectively. The spins are injected from the magnetic thin films by spin pumping through using a shorted microstrip transmission line fixture at different frequencies and room temperature. The spin rectification voltage and the inverse spin Hall voltage in the doped sample are separated by the inverting spin injection direction method, which is realized by flipping the samples. The results show that in the undoped SrTiO
3substrate, the voltage curves before and after flipping the sample are basically the same, which is due to the voltage generated by the spin rectification effect of the NiFe film. For Nb-doped SrTiO
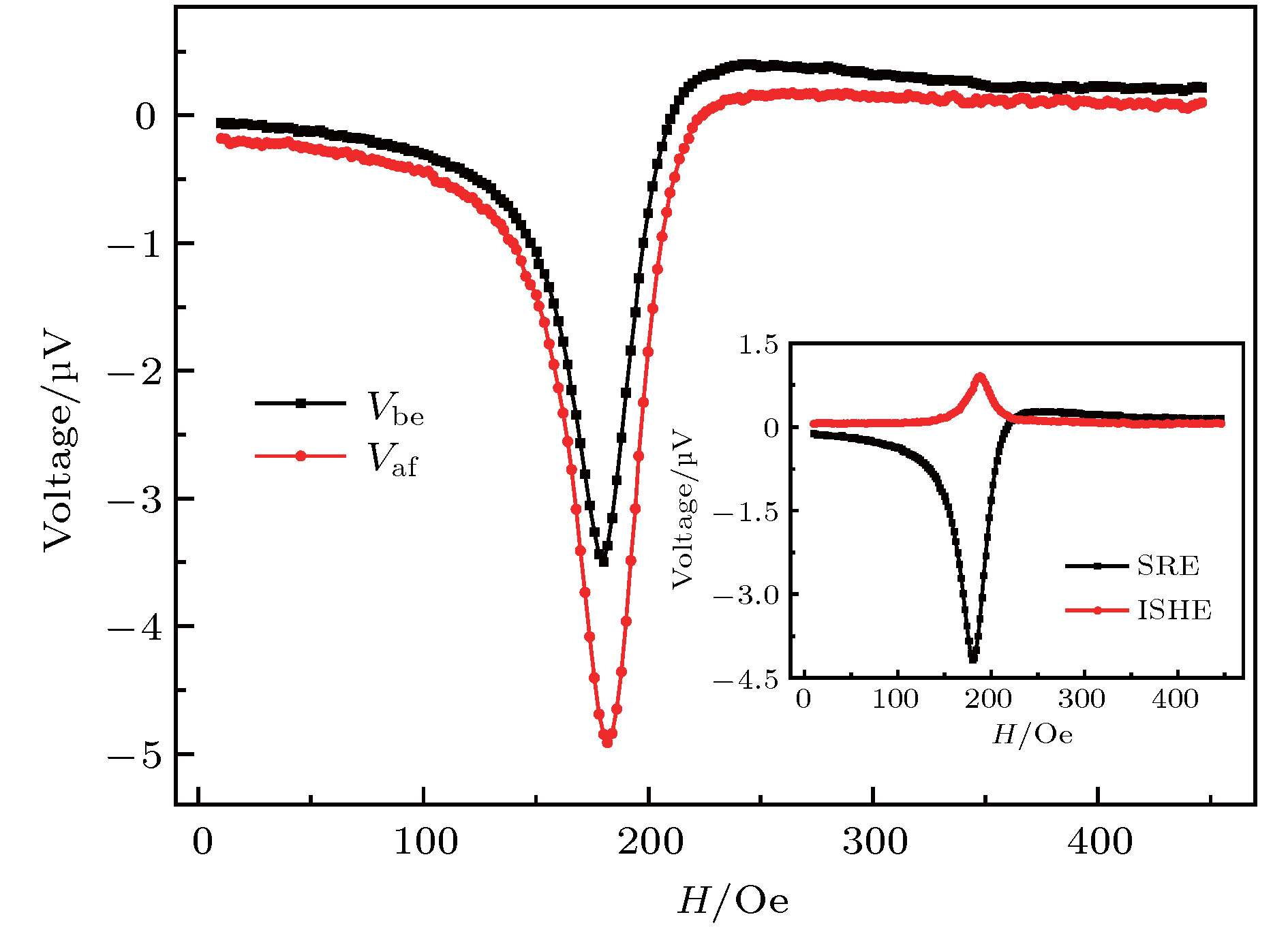
3substrates with Nb concentration
x= 0.028, 0.05, 0.1, 0.15 and 0.2, the inverse spin Hall voltage decreases with doping concentration increasing and is not detectable in sample with doping concentration of 0.15, nor with doping concentration of 0.2. The decrease of the ISHE effect may be due to the spin coherent length decreasing with the increase of the impurity concentration. The correlation between spin-charge conversion and transportation needs knowing in detail. Nevertheless, the results show that by doping strong spin-orbit coupling impurities into SrTiO
3, thus by changing the doping concentration, the inverse spin Hall effect in SrTiO
3can be controlled. This tunable spin-charge conversion provides more possibilities for developing the spintronic devices and it will have great potential applications in the future.