Graphene is a two-dimensional (2D) crystal of carbon atoms packed in a honeycomb lattice. Because of this unique structure, it shows a number of intriguing properties. Interface between neighboring 2D layers or between 2D overlayers and substrate surfaces provides confined space for chemical process. The interlayer spacing between bilayer graphenes of van der Waals material is expected to modify the properties of atoms and molecules confined at the atomic interfaces. In this paper, the carbon monoxide (CO) and oxygen (O) in bilayer graphene are studied by density functional theory (DFT). The quantitative relationship between the interlayer spacing of bilayer graphene (
d) and the reaction energy barrier (
$ {{E_{\rm{a}}}} $
) is obtained. Five values of
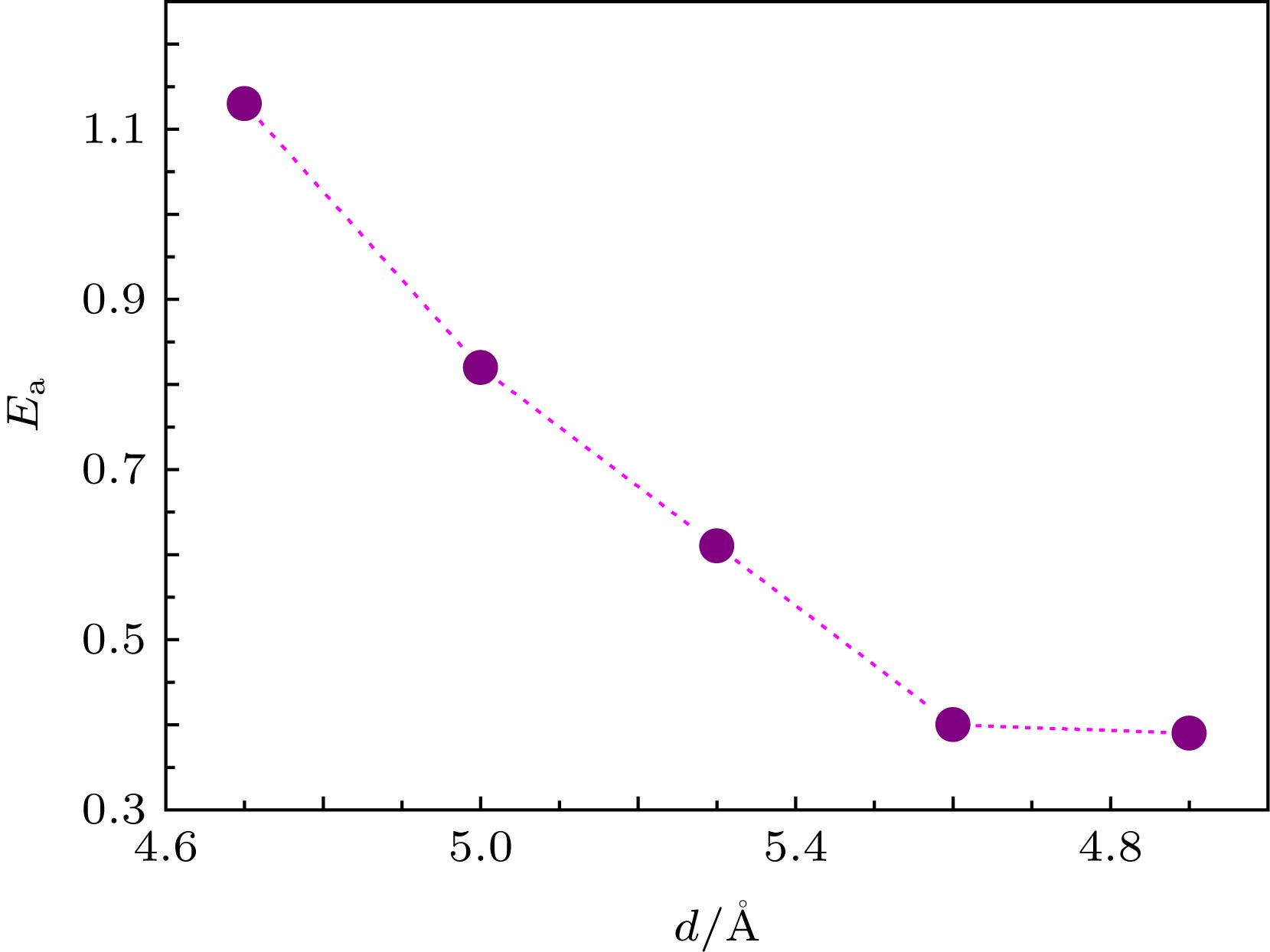
dbetween 4.7 Å and 5.9 Å are used. The calculated results show that the total energy of the initial state, the transition state, the final state system and the reaction barrier are sensitive to the variation of the interlayer distance: the reaction barrier increases gradually with interlayer distance decreasing. The calculated energy barrier is 1.13 eV when the interlayer distance is 4.7 Å, while the energy barrier is 0.39 eV when the interlayer distance is 5.9 Å. It is also found that adsorption energy between O and graphene at the top site and the bridge site increase gradually with interlayer distance decreasing. Therefore, the atomic-level regulation of the reaction barrier can be achieved by changing the interlayer spacing of bilayer graphene. The charge density difference shows that when the distance between two layers of graphene is small, there is an obvious charge accumulation between C atoms in transition state O—C=O and C atoms in the upper or lower layer of graphene. This results in sp orbital hybridization, which leads the interaction between two C atoms to be enhanced. It is difficult to form a weak O—C bond of transition state O—C=O with O atoms adsorbed on graphene because of a binding force which exists in the
z-axis direction. The DFT calculation of CO oxidation reaction barrier can be reduced by adjusting the spacing of bilayer graphene, which provides a theoretical support for the application of graphene and the preparation of new carbon-based intercalated composites.