Silicate cathode material Li
2CoSiO
4has received wide attention due to high theoretical capacity. However, the high discharge makes the existing electrolyte unable to satisfy the requirements of its use, and the poor cyclic stability limits its further application and development. The high discharge and cycle stability of Li
2CoSiO
4cathode material can be improved by doping corresponding elements. The effects of non-transition high-valent elements of Ga, Ge and As doping on structural, electrochemical and electronic properties of Li-ion battery cathode material Li
2CoSiO
4are systematically studied by the first-principles calculations based on density functional theory within the generalized gradient approximation with Hubbard corrections (GGA +
U). The calculation results show that the maximum expansion range of the unit cell volume of Li
2CoSiO
4cathode material during lithium ion removal is 3.5%. However, the Ga, Ge and As doping reduce the variation range of unit cell volume during the delithiation of the system, which is beneficial to the improvement of the cycle stability of Li
2CoSiO
4material. Furthermore, the Ga, Ge and As doping can reduce the theoretical average deintercalation voltages of extraction for the first Li
+in per formula unit; the theoretical average deintercalation voltages of the doping systems decrease by 1.65 V, 1.64 V and 1.64 V, respectively, compared with the deintercalation voltage of the undoped Li
2CoSiO
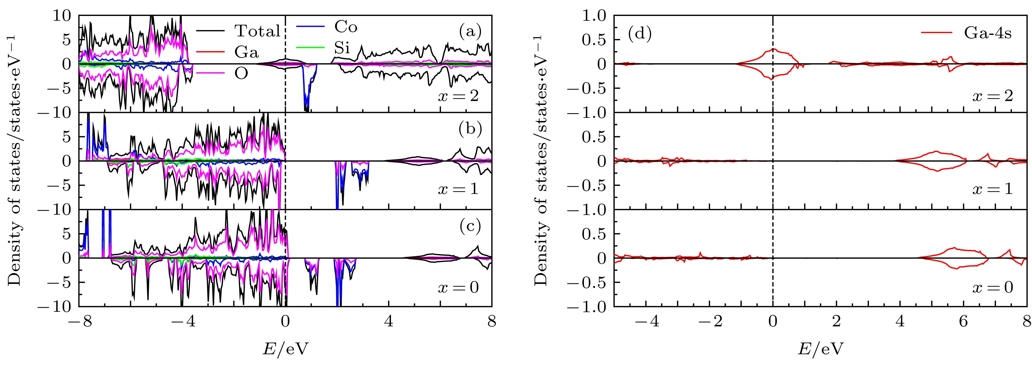
4system. Meanwhile, except for the Ga doping, the Ge and As doping can also effectively reduce their theoretical average deintercalation voltagesin the secondary delithiation process. The density of states and magnetic moment show that Co
2+has a strong binding effect on the 3d orbital electrons, which makes it difficult for Co
2+in Li
2CoSiO
4material to lose electrons for participating in the charge compensation in the process of Li
+removal. However, the Ga, Ge and As doping can effectively participate in the charge compensation of the system in the process of Li
+removal, which is the main reason for the decrease of the theoretical average deintercalation voltage of the system. In addition, the Ge doping reduces the band gap value of the Li
2CoSiO
4from 3.7 eV to 2.49 eV, while the Ga doping and the As doping introduce the donor defects, and thus making the doping system exhibit metallic properties, which can improve the conductivity of the system to some extent.