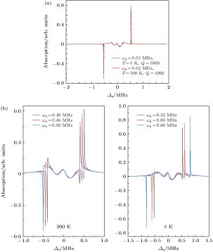
Nanomechanical oscillators have not only the advantages of extremely small mass and volume, but also high vibration frequency and quality factor, so they are widely used in the field of sensors. In recent years, nanomechanical oscillators comprised of graphene nanoribbons, carbon nanotubes, molybdenum disulfide and other materials have been used to make mass sensors. Great progress has been made in the application of mass sensing, but the measurement environment is limited to ultra-low temperature. Presented in this paper is a hybrid quantum dot-nanomechanical resonator (QD-NR) system which is based on semiconductor chips with quantum dots embedded at the bottom of inverted semiconductor conical nanowires. The system has the advantages of high integration level, full optical interface and low temperature compatibility. In addition, it has a coupling strength, a frequency as large as the vibration frequency of the mechanical oscillator, and a long spin life, which provides the possibility of realizing the quantum unassembled readout of a single spin at room temperature. We investigate the coherent optical properties with the optical pump-probe scheme, and an all-optical mean for determining the resonator frequency and the coupling strength of the QD and NR is presented with the absorption spectrum under different parameter regimes. We set the frequency of the pump light to be equal to the exciton frequency and scan the frequency range of the detection light, and then two sharp peaks will appear in the absorption spectrum of the probe light, and the sharp peak is for the frequency of the mechanical oscillator. Moreover, the coupling strength can be obtained from the linear relationship between the peak splitting width and the coupling strength in the absorption spectrum. Further, we put forward a room temperature mass sensing based on the hybrid QD-NR system, and the frequency shift caused by additional nanoparticles can be directly measured with the absorption spectrum, and then the mass of extra nanoparticles can be determined. Comparing with the previous nanomechanical oscillator, the exciton-phonon coupling strength is very strong in the system and can reach the ultra-strong coupling, which is advantageous for observing the coherent optical properties and reaching high precision and resolution mass sensing. In this system, the mass responsivity can reach. The scheme is expected to be applied to mass measurement of some biomolecules, isotopes and other materials, and also be widely used in other fields at a nanogram level.