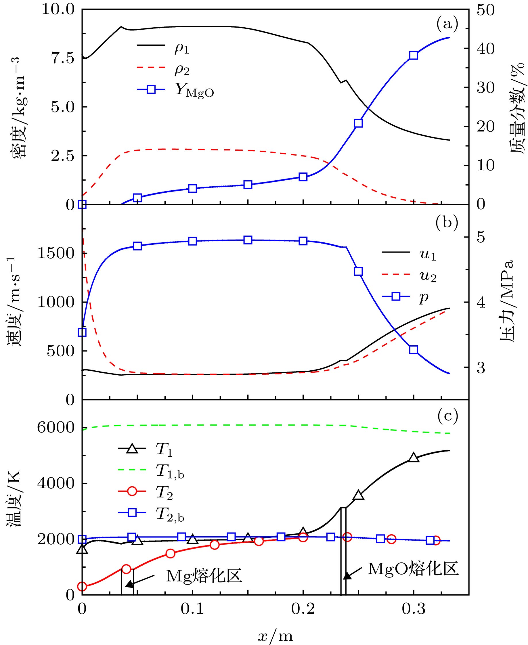
Magnesium particles have broad application prospects as fuel or additive for detonation combustion power systems due to their high energy density, ignition characteristics and combustion efficiency. In this paper, a one-dimensional steady-state model is established for the magnesium particle-air mixture. The distribution of the flow field and the influences of factors such as phase transition process, inlet velocity, particle radius and initial particle density on the structure of detonation wave are analyzed numerically under different working conditions. The studies have shown that the process accelerating to the sound speed due to the expansion of the gas phase mainly occurs in the pure evaporation reaction stage of the magnesium particles. The duration of magnesium and magnesium oxide melting accounts for a small proportion of the entire combustion process. Under the initial conditions of normal temperature and pressure, the theoretical maximum temperature in the detonation wave during self-sustaining propagation is lower than the dissociation temperature of the magnesium oxide. The heat absorbed in the magnesium melting process is released into the gas phase for expansion work as the reaction progresses, leading to a small effect of magnesium melting on the structure of the detonation wave. The amount of exothermic heat absorbed in the magnesium oxide melting process is so large that the process of expansion of the gaseous working fluid is almost stopped. Moreover, the absorbed heat cannot be used for gas phase expansion work. Therefore, the melting process of magnesium oxide has a great influence on the structure of the detonation wave. The detonation wave of the magnesium particle-air mixture can be stabilized and self-sustained only at the eigenvalue velocity. Below this value, a singular point appears in the flow field. Above this value, the wave cannot be accelerated to the speed of sound, and the downstream flow field disturbance can pass through the reaction combustion zone and weaken the intensity of the detonation wave. When the end of the detonation wave is in the melting process, the detonation wave can still stabilize the self-sustaining propagation when a certain inflow velocity and a magnesium particle density are satisfied. Otherwise, the detonation wave can propagate only at an average speed with oscillation. The initial particle concentration corresponding to the peak of the eigenvalue velocity is smaller than the stoichiometric one corresponding to the peaks of the density, pressure and temperature, indicating that the eigenvalue velocity is not dependent solely on the heat release of the reaction because the interaction between the two phases also affects the conversion efficiency of thermal energy into gas phase kinetic energy. Under the premise of uniform distribution of internal temperature of magnesium particles, the particle size mainly affects the size of the detonation wave, but has little effect on the characteristic value of the eigenvalue velocity and the Chapman-Jouguet parameters. The model in this paper comprehensively reflects the influence of the phase transition process in the combustion process on the structure of the detonation wave and the self-sustaining propagation mechanism. It has a certain guiding significance for designing the detonation power device using powder fuel.