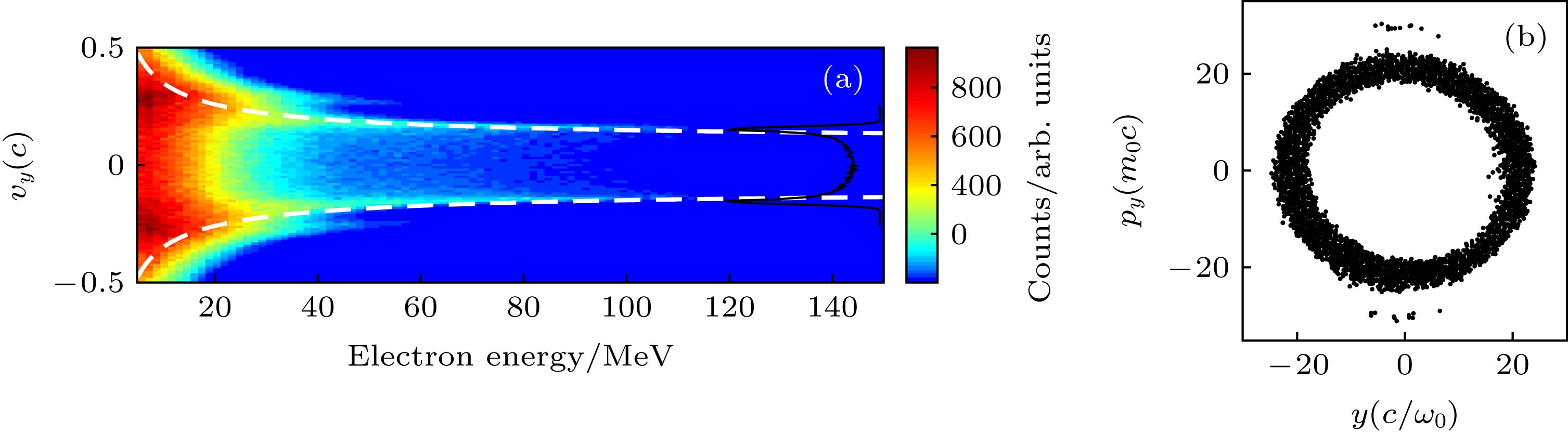
Energetic electron beam can be generated through the directlaser acceleration (DLA) mechanism when high power picosecond laser propagates in underdense plasma, and the electron yield can reach several hundred nC, which has a great application in driving secondary radiations, such as bremsstrahlung radiation and betatron radiation. When a linearly polarized laser is used, the beam divergence is always larger in the laser polarization direction. What is more, the forked spectral-spatial distribution is observed in the experiments driven by femtosecond laser where DLA is combined with the laser wakefield acceleration (LWFA). The forked distribution is regarded as an important feature of DLA. However, an analytical explanation for both the bigger divergence and the forked spectral-spatial distribution is still lacking. Two-dimensional (2D) particle-in-cell simulations of picosecond laser propagating in underdense plasma are conducted in this paper to show how the fork is formed in DLA. The fork structure is a reflection of the distribution of electron transverse velocity. We find that when electrons are accelerated longitudinally, the transverse oscillation energy in the laser polarization direction increases correspondingly. If the electron energy is high enough, the transverse oscillation energy will increase linearly with the electron energy. As a result, the most energetic electrons will have an equal amplitude of
vy, where
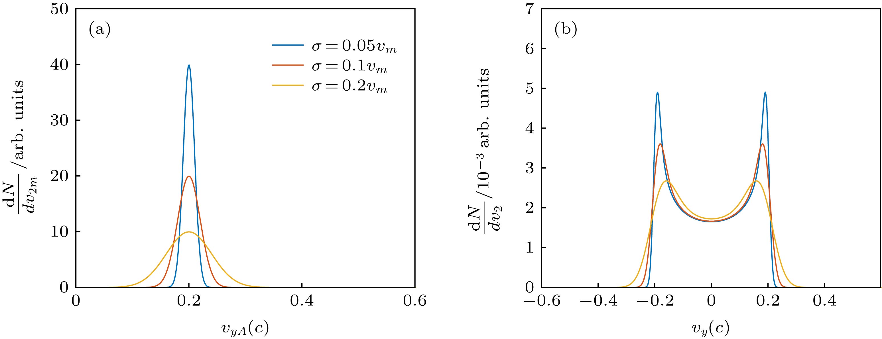
vydenotes the velocity in the laser polarization direction. For a single electron, the distribution of its transverse velocity over a long period
$\dfrac{{{\rm d}P}}{{{\rm d}{v_y}}}$
, will peak at ±
vm(
vmdenotes the amplitude of
vy). If all the electrons have the same
vm, the distribution of
vyat a given time will be the same as
$\dfrac{{{\rm d}P}}{{{\rm d}{v_y}}}$
. That means they will split transversely, leading to a forked spectral-spatial distribution. By using a simplified model, the analytical expression of
vmis derived, showing good agreement with
vmin the PIC simulation. However, the oscillation energy in the direction perpendicular to polarization will decrease when electrons are accelerated longitudinally (acceleration damping). As a consequence, the divergence perpendicular to the polarization direction will be smaller. Our research gives a quantitative explanation for the transverse distribution of electrons generated by DLA. With some modification, it can also be used in DLA combined LWFA to better control the dephasing length.