In a one-dimensional Fermion optical lattice clock, the p-wave scattering can occur when collision energy is sufficient to overcome the centrifugal barrier of p-wave scattering. According to Pauli exclusion principle, the s-wave scattering is forbidden between two identical Fermions. However, the s-wave scattering may also exist due to inhomogeneous excitation which leads to some difference between two Fermions. In terms of the uncertainty evaluation of a neutral atomic optical lattice clock, the frequency correction and uncertainty caused by atomic interaction cannot be ignored, and it will affect the evaluation of AC stark frequency shift. So the uncertainty evaluation of the collision frequency shift should be as small as possible. Only in this way can a neutral atomic optical lattice clock have a state-of-the-art performance. The collision frequency shift originates from the interaction between atoms trapped in an identical lattice. In this study, the collision frequency shift of
87Sr optical lattice clock at the National Timing Service Center is measured experimentally. A horizontal one-dimensional optical lattice is constructed. The number of tapped atoms is about 10
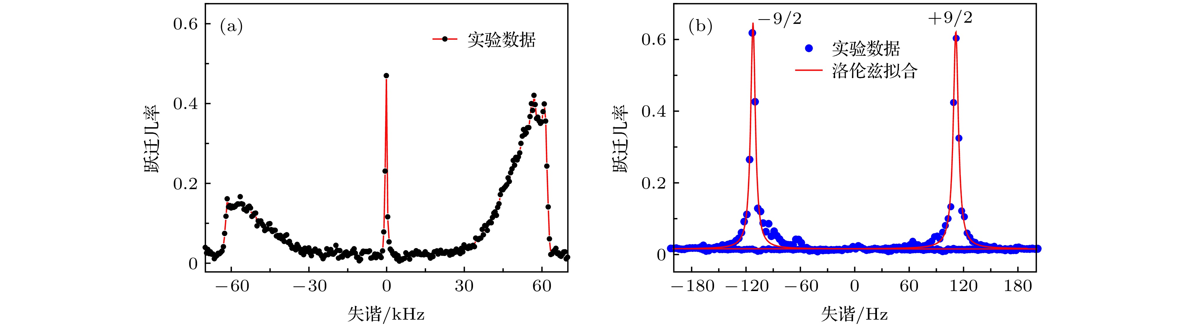
4at a temperature of 3.4 μK. A laser is used to pump the atoms to either of the Zeeman energy levels of
m
F= ± 9/2 in the ground state, and the clock transition spin polarization spectrum is obtained. In a spin polarized Fermions system, the collision frequency shift relating to atomic density is measured by the method of self-comparison. The method of self-comparison, which takes full advantage of the excellent short-term stability of the clock laser, can be used to measure the frequency difference caused by the variety of system parameters. Owing to the fact that the collision frequency shift is proportional to atomic density, the collision frequency shift can be measured by the method of self-comparison between high and low atomic density. In the experiment, the systematic state is changed between high and low atomic density by periodically changing the loading time of the first stage of cooling. In order to reduce the statistical uncertainty of the measurement, the collision frequency shift is separately measured 37 times. Finally, when the atomic density is 4 × 10
10/cm
3, the collision frequency shift is –0.13 Hz, and the statistical uncertainty of the measurement is 3.1 × 10
–17. The Allan deviation of self-comparison between low and high atomic density reaches 4 × 10
–17after 8000 s averaging time, indicating that the accuracy of the measurement is reliable and on the order of 10
–17. This work lays a foundation of the total uncertainty evaluation of
87Sr optical lattice clock.