| [1] |
Wang Shao-Xia, Zhao Xu-Cai, Pan Duo-Qiao, Pang Guo-Wang, Liu Chen-Xi, Shi Lei-Qian, Liu Gui-An, Lei Bo-Cheng, Huang Yi-Neng, Zhang Li-Li.First principle study of influence of transition metal (Cr, Mn, Fe, Co) doping on magnetism of TiO2. Acta Physica Sinica, 2020, 69(19): 197101.doi:10.7498/aps.69.20200644 |
| [2] |
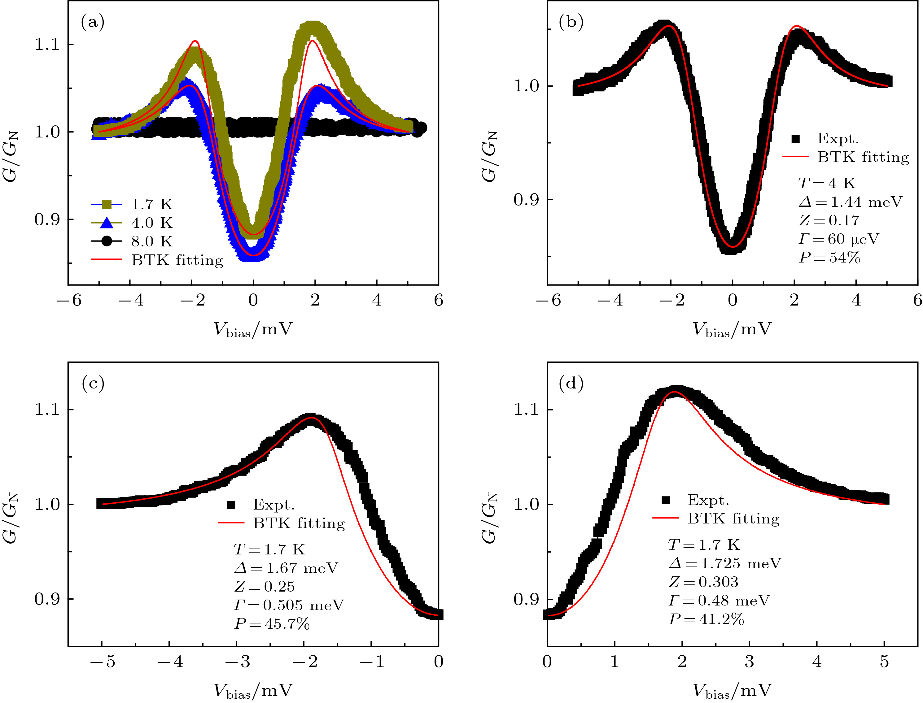
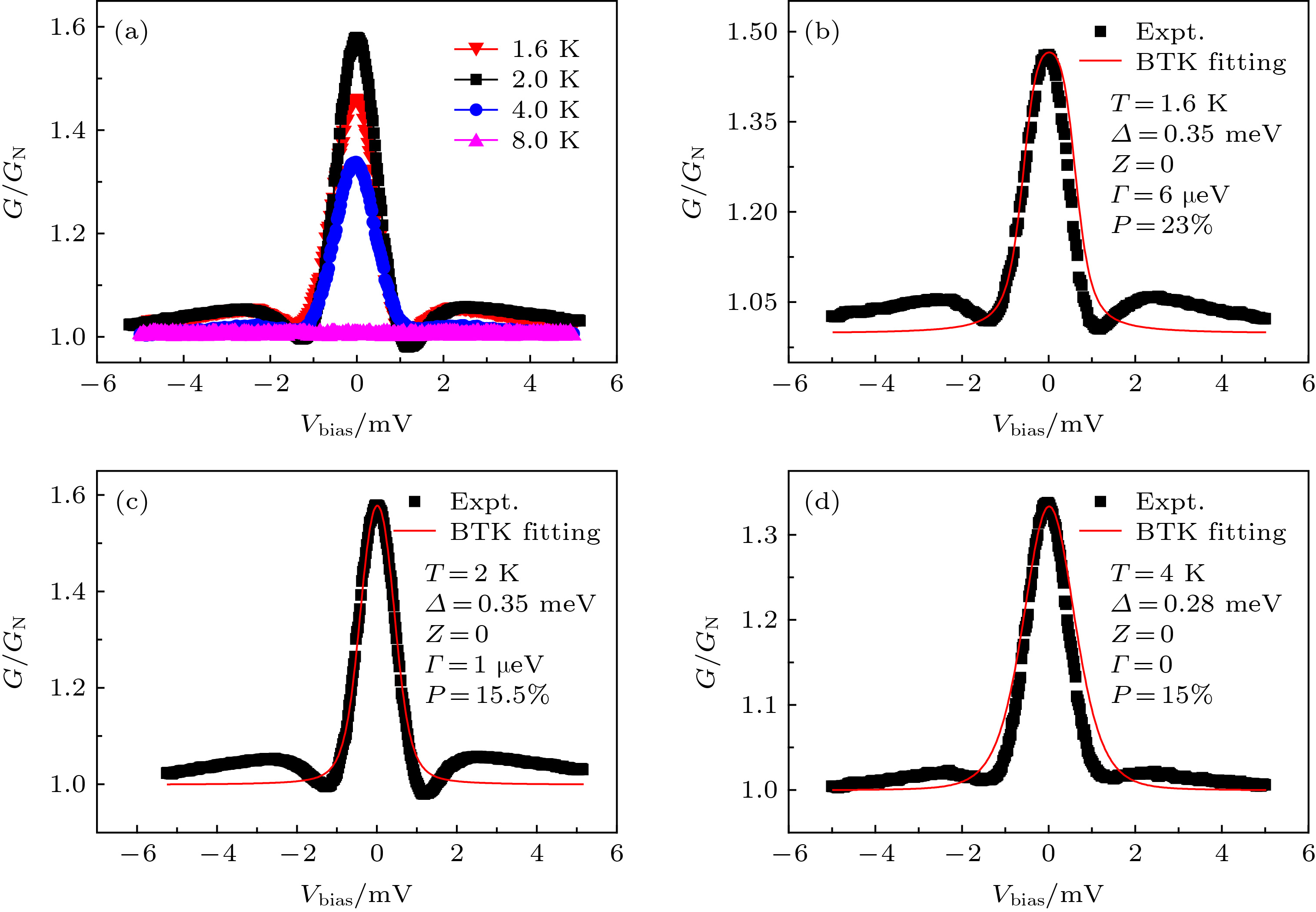
Wang Zong, Hou Xing-Yuan, Pan Bo-Jin, Gu Ya-Dong, Zhang Meng-Di, Zhang Fan, Chen Gen-Fu, Ren Zhi-An, Shan Lei.Point-contact Andreev reflection spectroscopy on Re3W superconductor. Acta Physica Sinica, 2019, 68(1): 017402.doi:10.7498/aps.68.20181996 |
| [3] |
Yang Zhi, Zhang Yue, Zhou Qian-Qian, Wang Yu-Hua.Electric-field control of magnetic properties of Fe3O4 single-crystal film investigated by micro-magnetic simulation. Acta Physica Sinica, 2017, 66(13): 137501.doi:10.7498/aps.66.137501 |
| [4] |
Liu Hong-Yan, Liu Zhu-Hong, Li Ge-Tian, Ma Xing-Qiao.Influences of Ga content on the structure and magnetic properties of Mn2 -xNiGa1+x alloys. Acta Physica Sinica, 2016, 65(4): 048102.doi:10.7498/aps.65.048102 |
| [5] |
Jiang En-Hai, Zhu Xing-Feng, Chen Ling-Fu.First-principles study of the electronic structure, magnetism, and spin-polarization in Heusler alloy Co2MnAl(100) surface. Acta Physica Sinica, 2015, 64(14): 147301.doi:10.7498/aps.64.147301 |
| [6] |
Jiang Li-Na, Zhang Yu-Bin, Dong Shun-Le.Effect of bipolarons on spin polarized transport in magnetic permeated sublayer of organic spin device. Acta Physica Sinica, 2015, 64(14): 147104.doi:10.7498/aps.64.147104 |
| [7] |
Yang Yu-Qi, Gao Qing-Qing, Li Guan-Nan.Structure transformation and magnetisms in Ho2Ni7-xFex compounds. Acta Physica Sinica, 2013, 62(1): 016103.doi:10.7498/aps.62.016103 |
| [8] |
Wang Rui-Qin, Gong Jian, Wu Jian-Ying, Chen Jun.Time of spin-polarized tunneling through a symmetric double-barrier quantum well structure. Acta Physica Sinica, 2013, 62(8): 087303.doi:10.7498/aps.62.087303 |
| [9] |
Du Yin, Wang Wen-Hong, Zhang Xiao-Ming, Liu En-Ke, Wu Guang-Heng.Structural, magnetic, transport, and half-metallic properties of Fe2Co1-xCrxSi Heusler alloys. Acta Physica Sinica, 2012, 61(14): 147304.doi:10.7498/aps.61.147304 |
| [10] |
Luo Li-Jin, Zhong Chong-Gui, Fang Jing-Huai, Zhao Yong-Lin, Zhou Peng-Xia, Jiang Xue-Fan.Responses of electronic structure and magnetism to tetragonal distortion and their influence on pressure for the Heusler alloy Mn2 NiAl. Acta Physica Sinica, 2011, 60(12): 127502.doi:10.7498/aps.60.127502 |
| [11] |
Zhao Kun, Zhang Kun, Wang Jia-Jia, Yu Jin, Wu San-Xie.A first principles study on tetragonal distortion, magnetic property and elastic constants of Pd2 CrAl Heusler alloy. Acta Physica Sinica, 2011, 60(12): 127101.doi:10.7498/aps.60.127101 |
| [12] |
Gao Tan-Hua, Lu Dao-Ming, Wu Shun-Qing, Zhu Zi-Zhong.First-principles calculations of magnetism of Fe atomic sheet. Acta Physica Sinica, 2011, 60(4): 047502.doi:10.7498/aps.60.047502 |
| [13] |
He Zhi-Gang, Cheng Xing-Hua, Gong Min, Cai Juan-Lu, Shi Rui-Ying.The factors influencing spin-polarized transport in magnetic pn junction. Acta Physica Sinica, 2010, 59(9): 6521-6526.doi:10.7498/aps.59.6521 |
| [14] |
Han Li-An, Chen Chang-Le, Dong Hui-Ying, Wang Jian-Yuan, Gao Guo-Mian, Luo Bing-Cheng.Magnetic and electrical properties of layered perovskite La1.3Sr1.7Mn1-xCuxO7. Acta Physica Sinica, 2008, 57(1): 541-544.doi:10.7498/aps.57.541 |
| [15] |
Han Wei, Chang Shu-Quan, Dai Yao-Dong, Chen Da, Huang Yan-Jun.Magnetism and Mssbauer spectra of cyanide-bridged Ni-Fe nano-molecular-magnets. Acta Physica Sinica, 2008, 57(4): 2493-2499.doi:10.7498/aps.57.2493 |
| [16] |
Liu Jin-Hong, Zhang Ling-Fei, Tian Geng-Fang, Li Ji-Chen, Li Fa-Shen.Structure and magnetic properties of NiFe2O4 nanoparticles prepared by low-temperature solid-state reaction. Acta Physica Sinica, 2007, 56(10): 6050-6055.doi:10.7498/aps.56.6050 |
| [17] |
Pang Li-Jia, Sun Guang-Fei, Chen Ju-Fang, Qiang Wen-Jiang, Zhang Jin-Biao, Li Wen-An.Study of magnetic properties of Pr2Fe14B/α-Fe nanocomposite magnets. Acta Physica Sinica, 2006, 55(6): 3049-3053.doi:10.7498/aps.55.3049 |
| [18] |
Zhang Wei, Qian Zheng-Nan, Sui Yu, Liu Yu-Qiang, Su Wen-Hui, Zhang Ming, Liu Zhu-Hong, Liu Guo-Dong, Wu Guang-Heng.Magnetism and transport properties of Heusler alloy Co2TiSn. Acta Physica Sinica, 2005, 54(10): 4879-4883.doi:10.7498/aps.54.4879 |
| [19] |
Wang Ben-Yang, Qian Zheng-Nan, Sui Yu, Liu Yu-Qiang, Su Wen-Hui, Zhang Ming, Liu Zhu-Hong, Liu Guo-Dong, Wu Guang-Heng.Magnetism and transport properties of Heuser alloy Cu2VAl. Acta Physica Sinica, 2005, 54(7): 3386-3390.doi:10.7498/aps.54.3386 |
| [20] |
Guo Hong-Yong, Liu Bao-Dan, Tang Ning, Luo Hong-Zhi, Li Yang-Xian, Yang Fu-Ming, Wu Guang-Heng.The effect of Co substitution and stabilizing element on the structure and magnetic properties of Nd3(Fe,Co,M)29(M=Ti,V,Cr) compounds. Acta Physica Sinica, 2004, 53(1): 189-193.doi:10.7498/aps.53.189 |