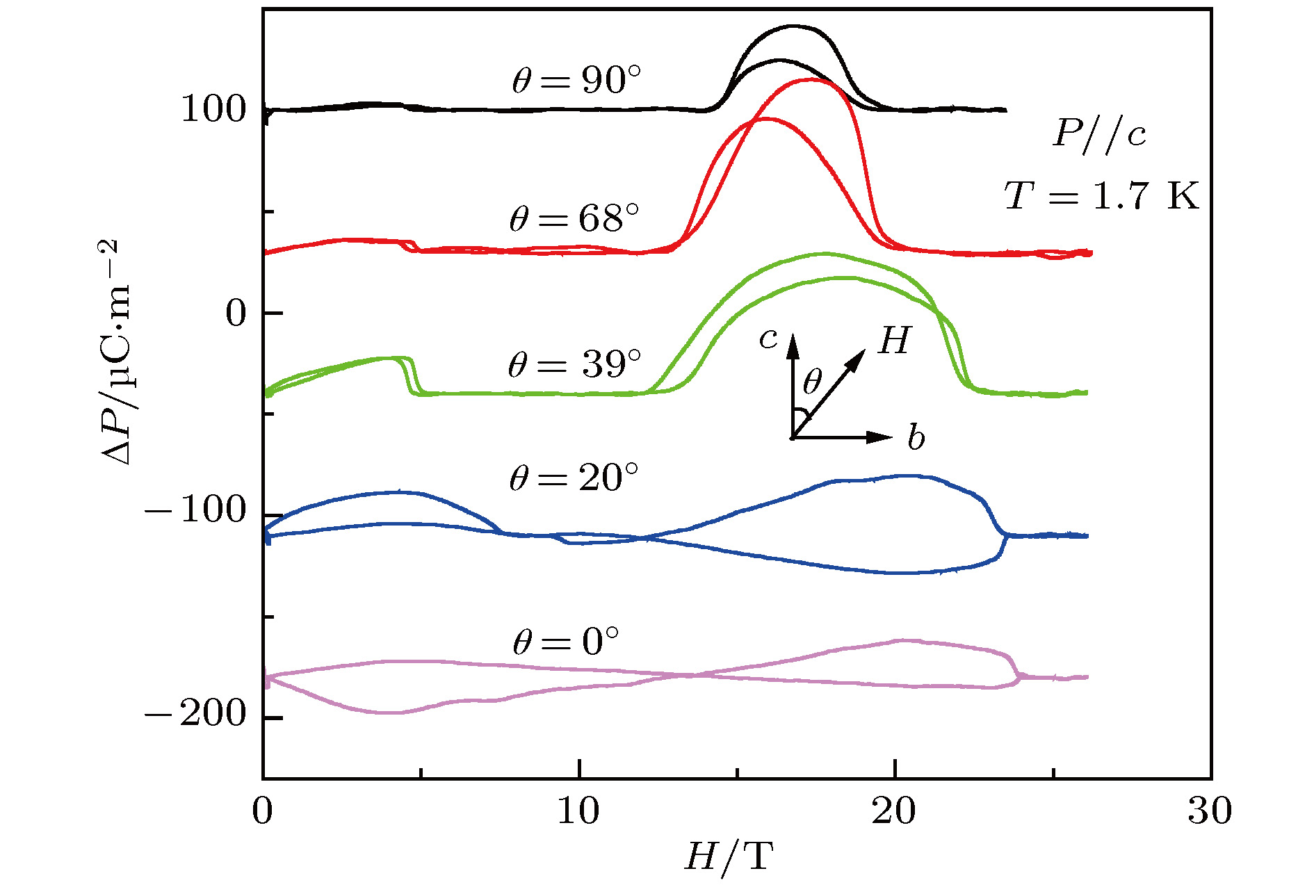
Multiferroic materials, which exhibit the coexistence of ferromagnetic, ferroelectric, or ferroelastic orders, are of particular interest for not only fundamental physics but also potential applications. An important physical property of multiferroic materials, especially those with magnetically driven ferroelectricity, is known as a strong magnetoelectric coupling between the magnetic order and the ferroelectric order. The external magnetic fields can directly interact with spins or magnetic moments of the materials and lead the spontaneous ferroelectricity to be suppressed, and in some cases result in field-induced ferroelectricity in a higher field. Depending on the exchange interactions, these ferroelectric phase transitions may take place in a critical magnetic field as high as several tens of tesla. The standard electric-polarization measurement based on a commercial PPMS system is limited by the strength of the static field consequently. As an extremely experimental condition, pulsed magnetic fields can be used to reveal new physical phenomena in multiferroic materials. Due to the short pulse duration and the effect of eddy current, this measurement technique under pulsed high magnetic fields is still a challenge to date although a few laboratories have developed it in recent years.
Wuhan National High Magnetic Field Center (WHMFC) of China is a newly built pulsed-field laboratory. This experimental station is equipped with the many measuring instruments such as for measuring electric transport, magnetization, electron spin resonance, magneto-optics, and high pressure, which were established after the national assessment at the end of 2014. Recently, using a pyroelectric technique we successfully constructed an electric-polarization measurement system based on the large-scaled facility at the WHMFC. The nondestructive magnet driven by discharging a 1.25 MJ capacitor bank can generate a pulsed field up to 60 T. By tuning the charging energy and voltages, the pulse duration time can be modulated from 4.3 ms to 10.8 ms. A helium-3 cryogenic system equipped on this facility can achieve a lowest temperature down to 0.5 K. A high-precision rotation probe is designed and fabricated with angle varying from –5° to 185° for an angular-dependent study. The pyroelectric current is detected by a shunt resistor of 10 kΩ and the electric polarization is derived by integrating the pyroelectric current over the time. The resulting data have a good accuracy and quality which are helpful in detecting weak ferroelectric phase transitions induced by pulsed fields with a fast field sweep rate. In this paper, we introduce this measurement system in detail including the method, principle and its advantages in comparison with those in static fields. Recent study and progress of magnetoelectric multiferroic materials under high magnetic fields are also reported.