The gas-lift system has a lot of significant advantages in sewage treatment, deep well oil recovery, liquid metal cooled reactor and magnetohydrodynamic power converters. The densities of different liquid media and gas media have great influences on the performance of gas lift system. Therefore, based on Fluent simulation software, using Euler model and
k-
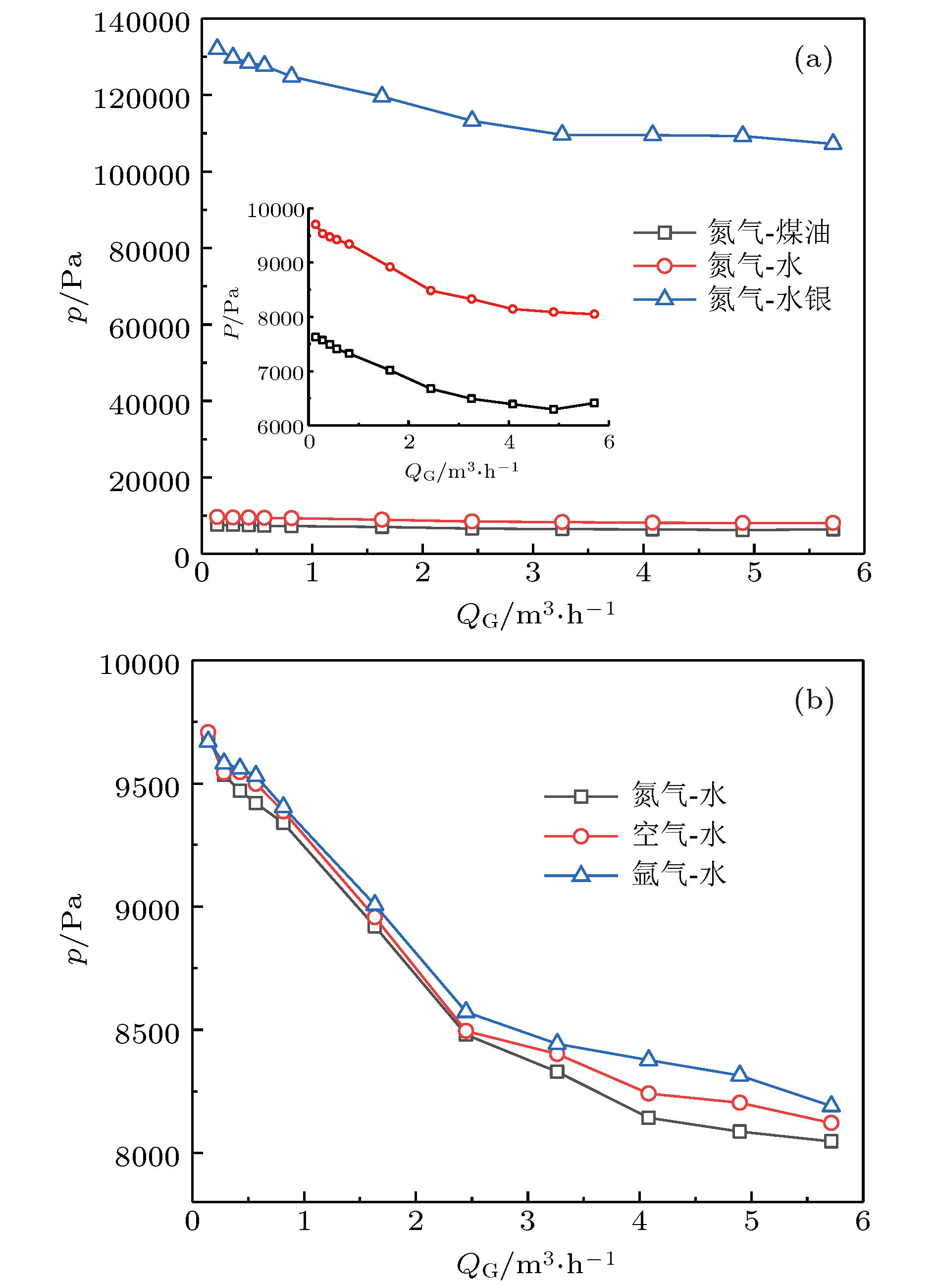
ωSST (shear stress transport) turbulence model, the gas-liquid two-phase flow behaviors in nitrogen-water, nitrogen-kerosene, nitrogen-mercury and air-water, argon-water, nitrogen-water of gas lift system are studied. The rules of gas volume fraction and liquid flow rate at lifting pipe, liquid radial velocity at lifting pipe outlet, promoting efficiency are analyzed. The results are shown as follows. 1) In the nitrogen-water, nitrogen-kerosene and nitrogen-mercury system, the higher the density of liquid medium, the smaller the gas volume fraction in the lifting pipe is; the greater the flow rate of lifting liquid, the higher the promoting efficiency is. 2) In the air-water, argon-water and nitrogen-water systems, the higher the density of gas medium, the smaller the gas volume fraction in the lifting pipe is; the larger the flow rate of lifting liquid, the smaller the peak value of promoting efficiency is. 3) With the increase of gas flow rate, the liquid radial velocity at the lifting pipe outlet increases with overall fluctuation rising. Finally, the liquid velocity near the center of pipe axis is large, near the pipe wall is small. These research results provide the scientific theoretical basis for optimizing the gas lifting technology in applications such as sewage treatment, deep well oil recovery, liquid metal cooled reactor and magnetohydrodynamic power converters.