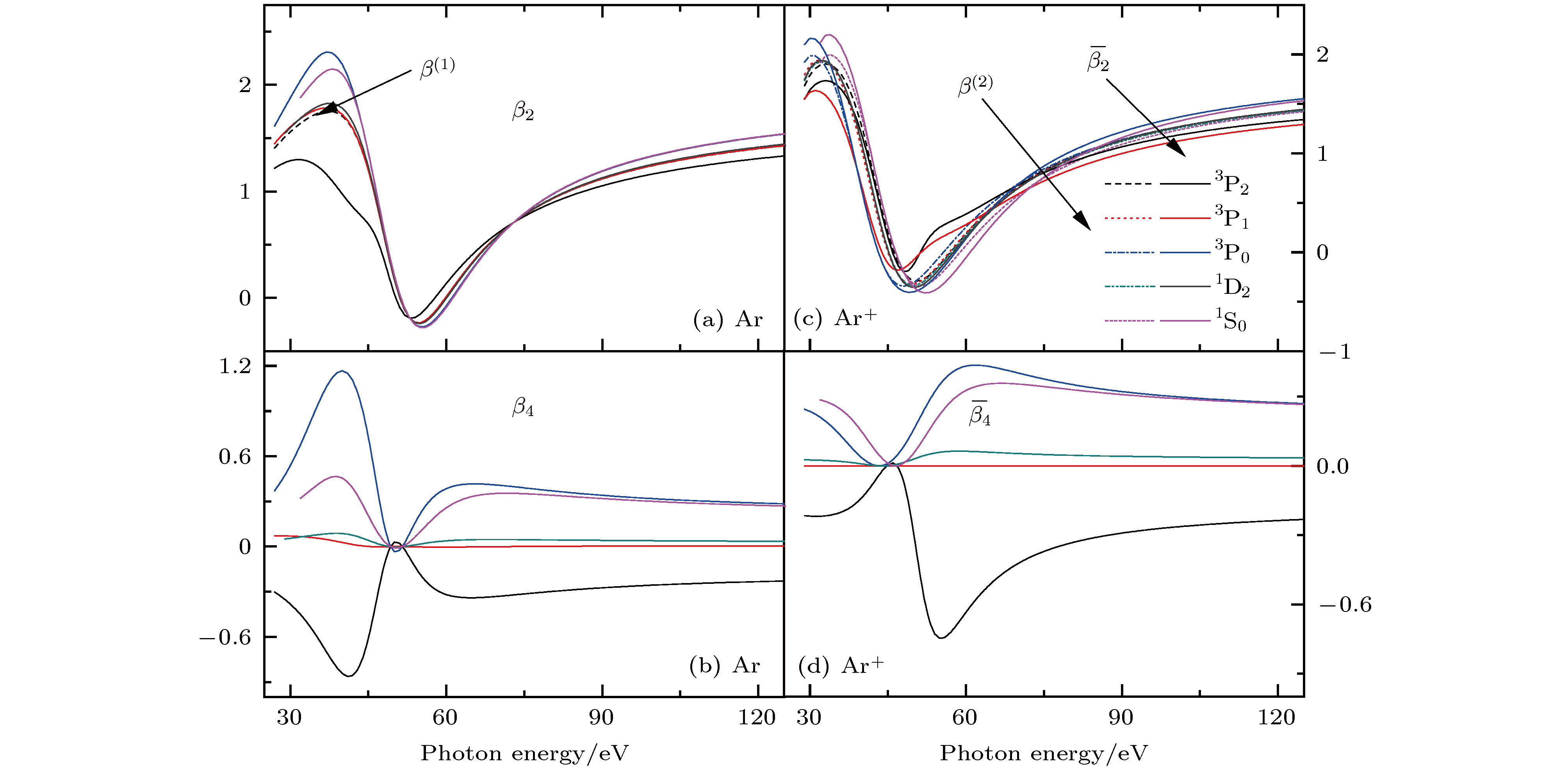
With the development of the intense light source, such as free electron lasers, the experiments on the nonlinear process in atomic photo absorption in the XUV and X-ray region became more and more feasible. As one of the simplest possible nonlinear processes, the sequential two-photon double ionization, in which the first photon produces an ion which is subsequently ionized by the second photon, attracts increasing attention of theorists and experimentalists. Study on the angular distributions and angular correlations of the photoelectrons in the sequential two-photon double ionization process are especially attractive, which provides valuable information about the electronic structure of atom or molecule systems and allows the obtaining of additional information about mechanism and pathway of the two-photon double ionization. In this paper, the expression for the photoelectron angular distribution in a sequential two-photon process is given based on the multi-configuration Dirac-Fock method and the density matrix theory. And then, the relativistic calculation program for photoelectron angular distribution is further developed with the help of the program packages GRASP2K and RATIP which are based on the multi-configuration Dirac-Fock method. By using this code, the sequential two-photon double ionization of the 3p shell in atomic argon is studied theoretically. The cross section, magnetic cross section, alignment of residual ions and the asymmetry parameter of the photoelectron angular distribution, each as a function of photon energy, for the first and the second step of sequential two-photon double ionization of argon are presented. The calculations predict that the alignment has a maximum value and the asymmetry parameter has a minimum value in the region of the cooper minimum. The angular distribution of the first step ionization for Ar atom and the second step ionization for Ar
+ion are given at 33.94 eV and 55.34 eV photon energy, respectively. In addition, the difference in property between the angular distributions of the first photoelectron in sequential two-photon double ionization and in conventional one-photon single ionization is discussed. The present calculated results are compared with other available results, showing that they are in good agreement with each other. The results of this paper will be helpful in studying nonlinear processes in the XUV range.