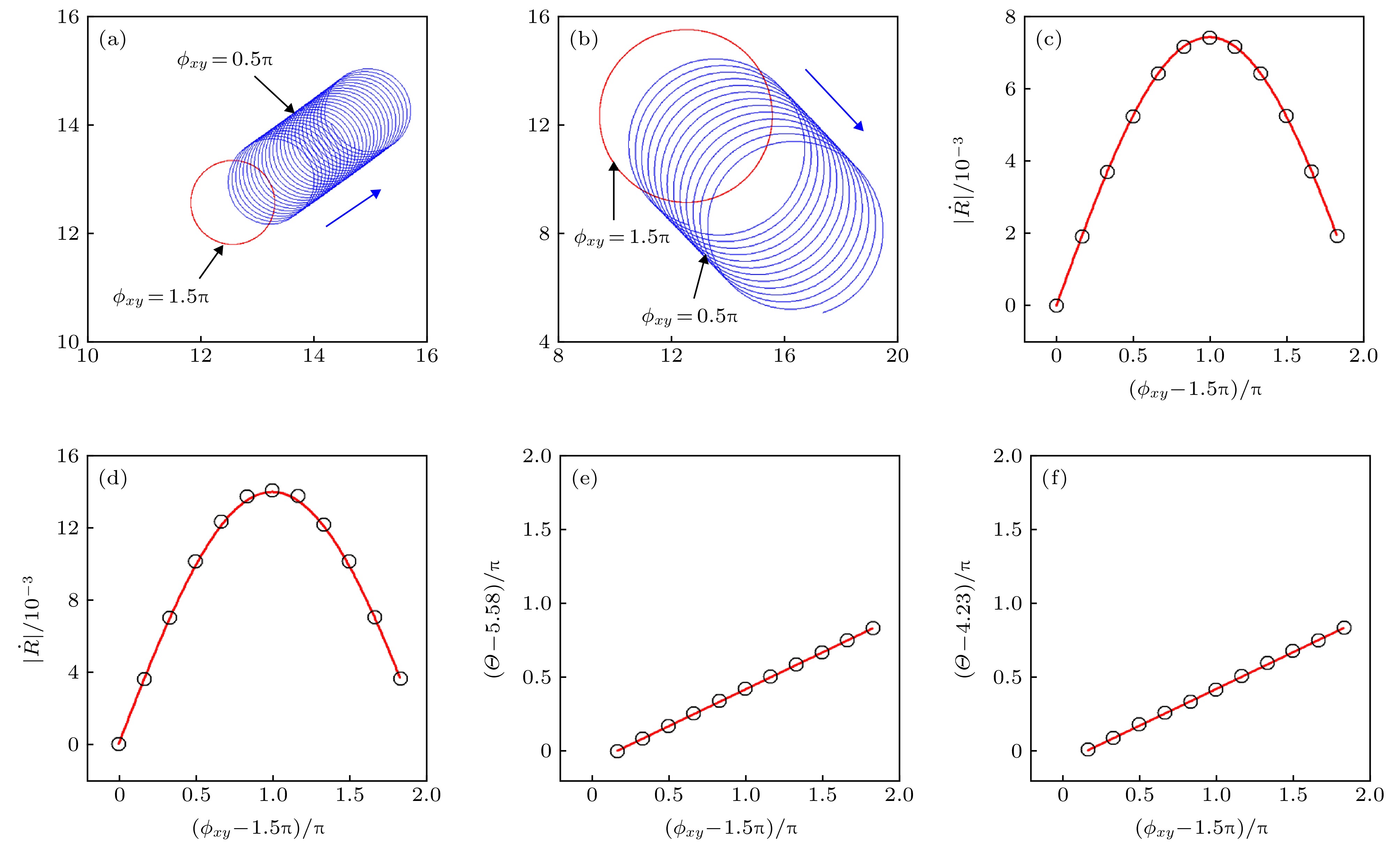
Spiral waves are ubiquitous in diverse physical, chemical, and biological systems. Periodic external fields, such as polarized electric fields, especially circularly polarized electric fields which possess rotation symmetry may have significant effects on spiral wave dynamics. In this paper, control of spiral waves in excitable media under polarized electric fields is reviewed, including resonant drift, synchronization, chiral symmetry breaking, stabilization of multiarmed spiral waves, spiral waves in subexcitable media, control of scroll wave turbulence, unpinning of spiral waves in cardiac tissues, control of spiral wave turbulence in cardiac tissues, etc.