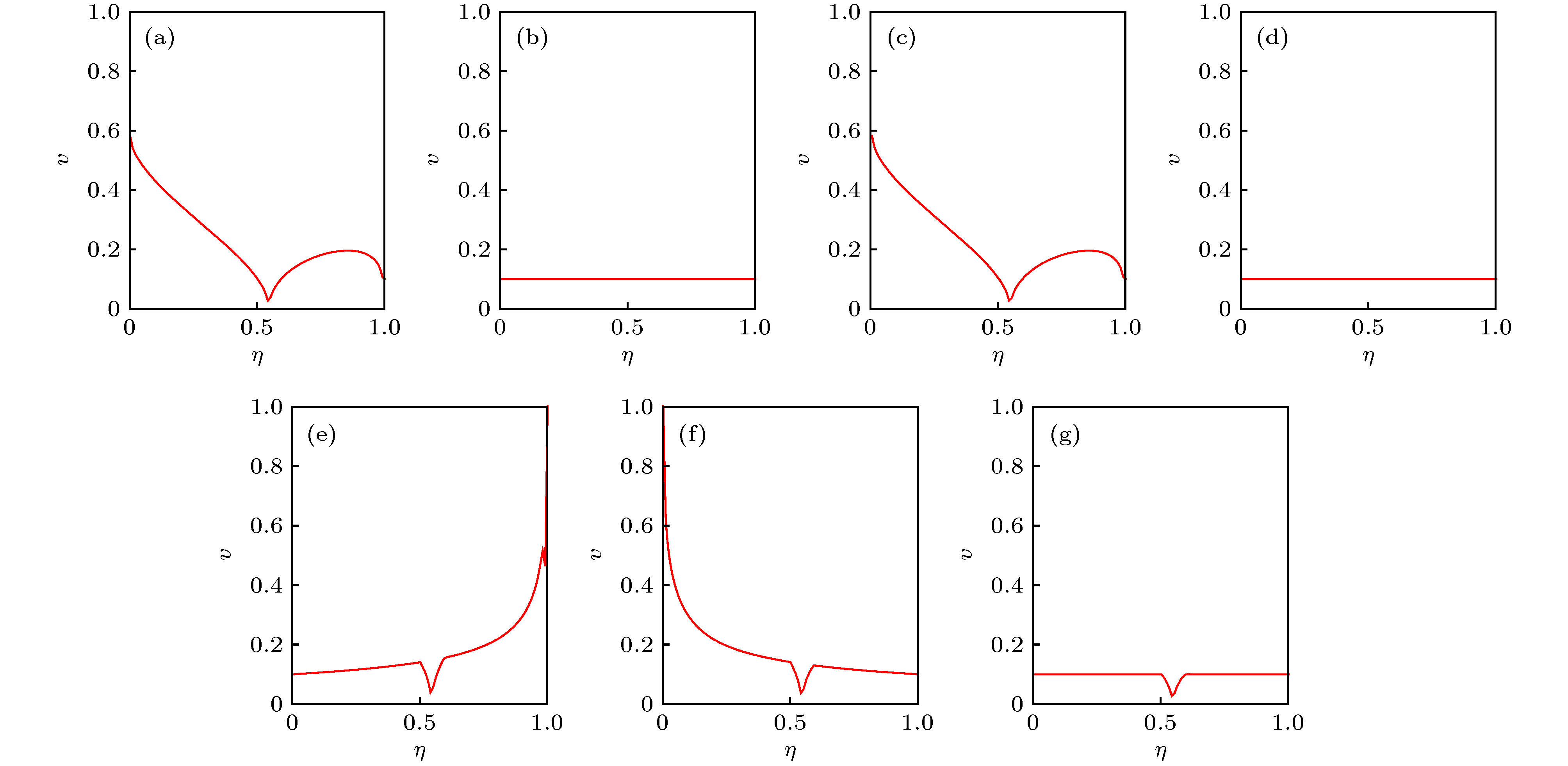
As a crucial quantum resource in quantum information processing, multipartite entanglement plays an important role not only in the field of testing basic quantum effects, but also in the applications of quantum network, quantum communication and quantum computing. The generation of multipartite entanglement usually involves many complex linear processes and nonlinear processes. In this paper, we theoretically propose a scheme for generating genuine quadripartite entanglement by linking two independent four-wave mixing (FWM) processes with one linear beam splitter (BS). Here, we use one linear BS to mix the probe beams amplified by two independent FWM processes. We first set the transmissivity of the linear BS to be 0.5 and study the effect of the intensity gain of the system on quadripartite entanglement by applying the positivity under partial transposition (PPT) criterion. The results show that there exists genuine quadripartite entanglement in all gain regions, and the degree of entanglement increases with intensity gain increasing. And then, the dependence of quadripartite entanglement on the transmissivity of the linear BS is studied when the intensity gains of two independent FWM processes are both set to be 3. We find that the transmissivity of the linear BS can affect the entanglement properties of the system. At the same time, we also find that the system can generate genuine quadripartite entanglement when the transmissivity of the linear BS is not equal to 0 or 1. Finally, in order to reveal the entanglement structure of the system, we further investigate the dependence of the possible tripartite entanglement and bipartite entanglement on the intensity gain of the system by using the PPT criterion. The results show that there exists the genuine tripartite entanglement in this system, and the degree of entanglement increases as the intensity gain increases. However, there exists no genuine bipartite entanglement in this system, some of bipartite states are always separable, and the entanglement of the other bipartite states gradually become weak and eventually disappear with the increase of the intensity gain. Our theoretical result provides a simple and reliable scheme for generating genuine quadripartite entanglement by using FWM process in atomic ensemble and linear BS.