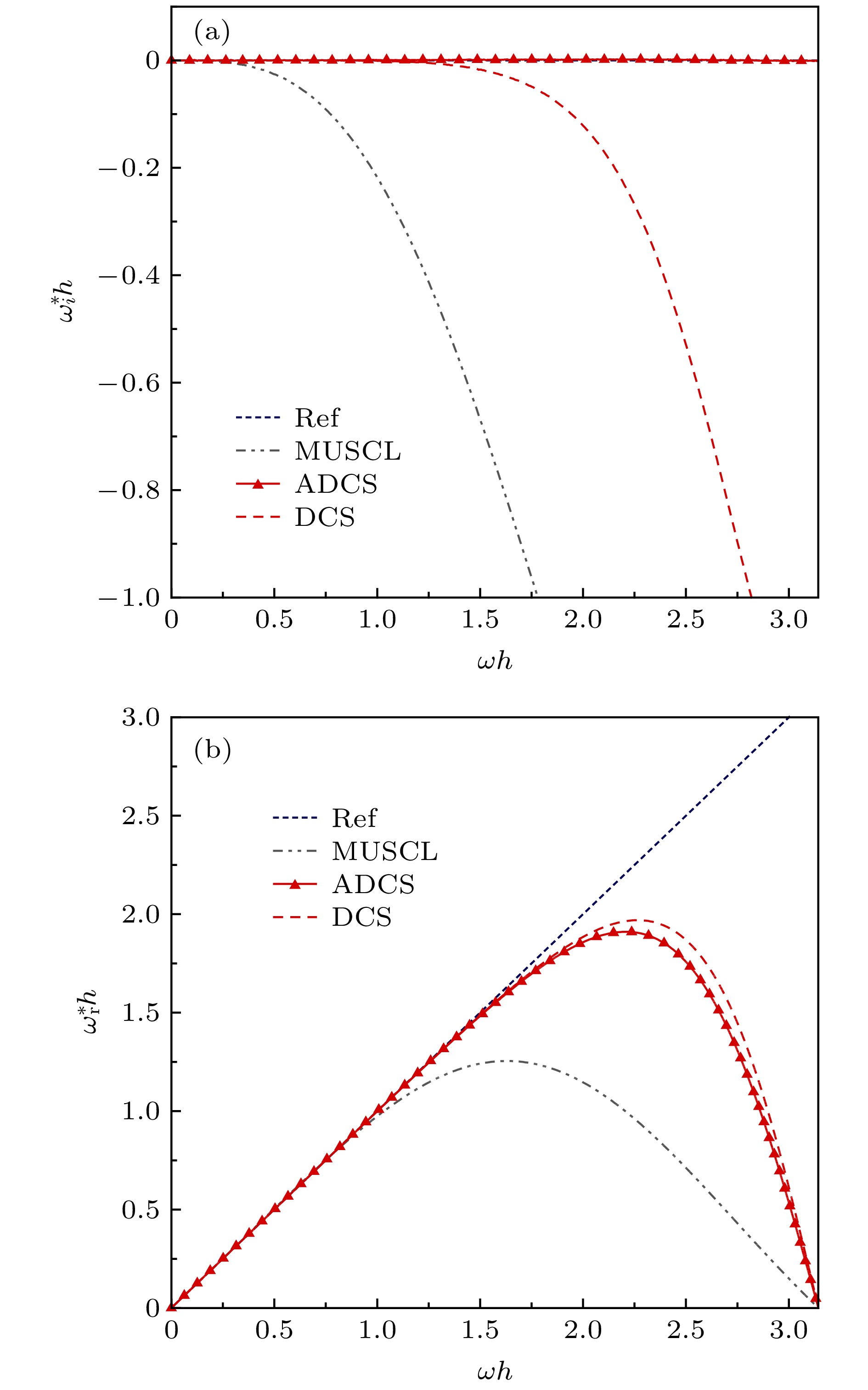
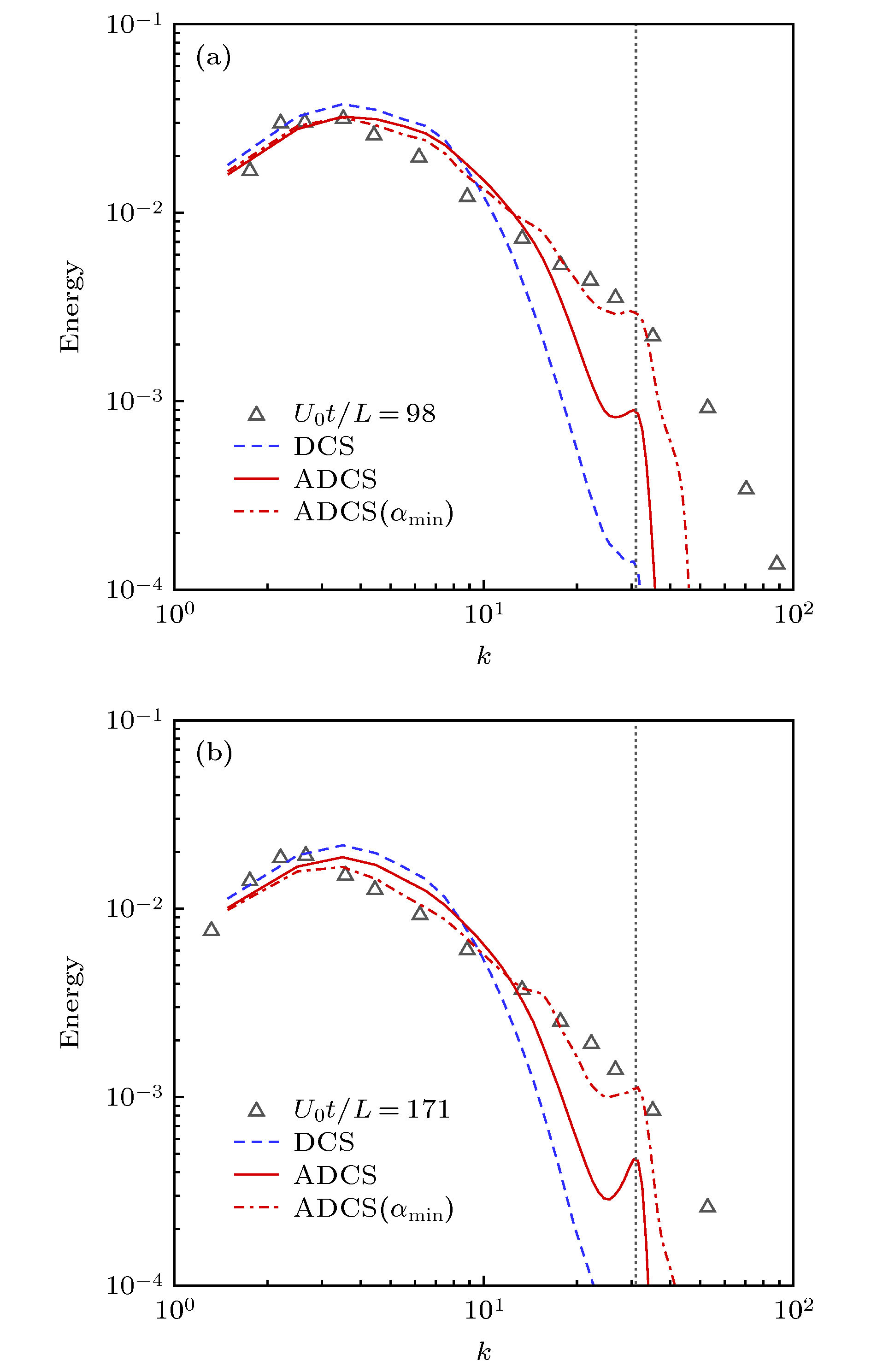
Separate flow is a typical complex turbulent phenomenon. The full development of small-scaled structures is of great importance for accurate numerical simulation. However, these small-scaled structures can be easily damped by the inherent dissipation of numerical method. Therefore, based on the 5th-order dissipative compact scheme (DCS), we propose an adaptive dissipative compact scheme (ADCS), which can adjust the numerical dissipation with self-adaptive capability by incorporating a flow related adjusting parameter. Combining with the delay detached eddy simulation (DDES), the ADCS can reduce the influence of numerical dissipation in LES region to enhance the ability to discern small-scaled structures, and restore the normal dissipation level in the RANS region to keep numerical stability. In the process of numerical simulation, firstly, the approximate dispersion relation (ADR) is obtained, it shows that the ADCS method can effectively reduce the influence of dissipation in the high wave number region, without contaminating the dispersive performance, which is conducive to enhancing the resolution of turbulent structures. Secondly, the advection of vortical structure is simulated. Compared with DCS, the ADCS can reach the theoretical accuracy in an efficient way and acquire more advanced resolution of vortical structure even on a relatively coarse mesh scale, which proves that the ADCS reduces the negative influence of dissipation on vortical structure. The third case is the decay of isotropic turbulence. The energy spectral curves stay close to the reference before cut-off number, showing that more small-scaled structures can be distinguished by the ADCS method, and most of the vortical dominated regions are solved at a near-minimum level. The forth case is the plate channel turbulent flow. Both of DCS method and ADCS method give acceptable results. The ADCS method is performed with optimal dissipation in the near-wall region and reduces the dissipative level in the vortex dominated region, and it is also exhibited that the ADCS method can maintain the stability for flow with high gradient and avoid divergence. Finally, the sub-critical
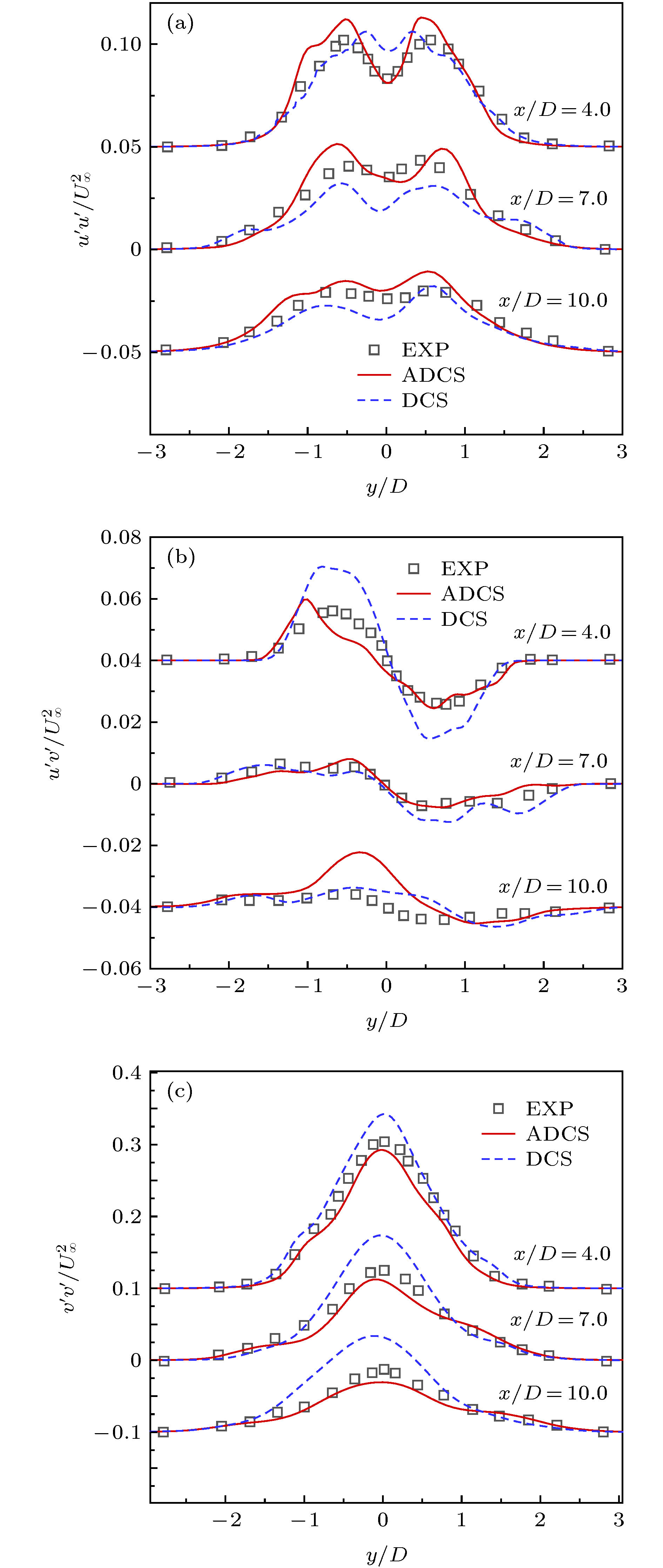
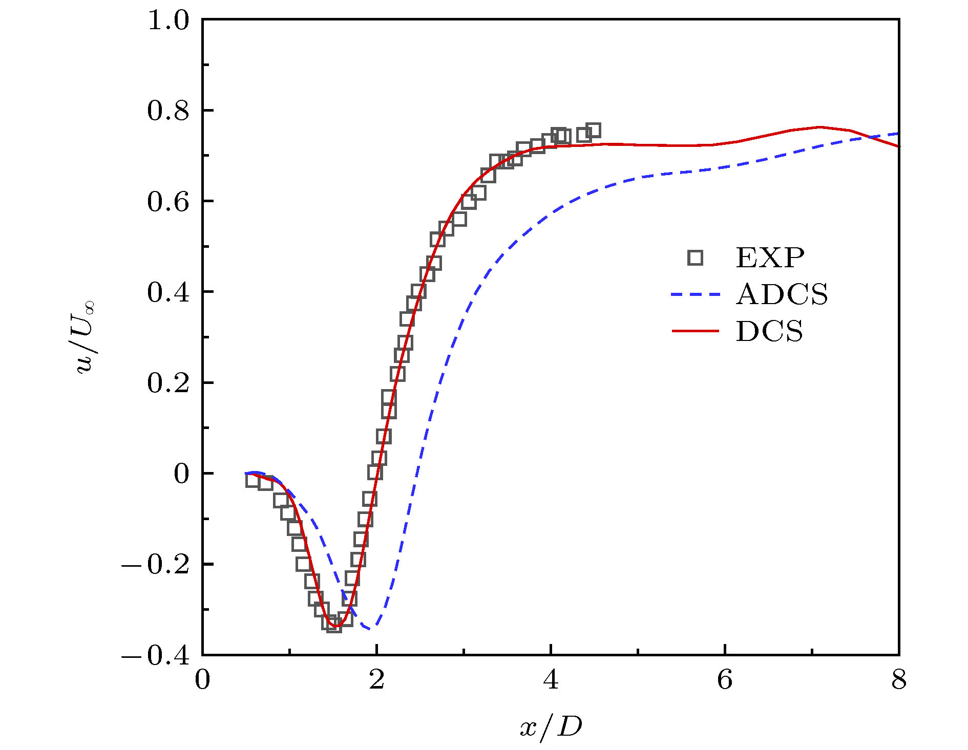
Re= 3900circular cylinder is simulated, and the fully separate flow is developed in the wake. The turbulent fluctuation near the wall is sensitive to the effect of numerical dissipation. The contour of flow field shows that the ADCS method obtains more small-scale structures. As for the pressure coefficient and mean velocity, the ADCS method shows an acceptable accuracy. Considering the Reynolds stress profile, which can be easily affected by the dissipation, the ADCS exhibits more accurate results than the traditional DCS method. Generally, the ADCS method can reduce the influence of dissipation and is beneficial to acquiring more accurate results in separate flow.