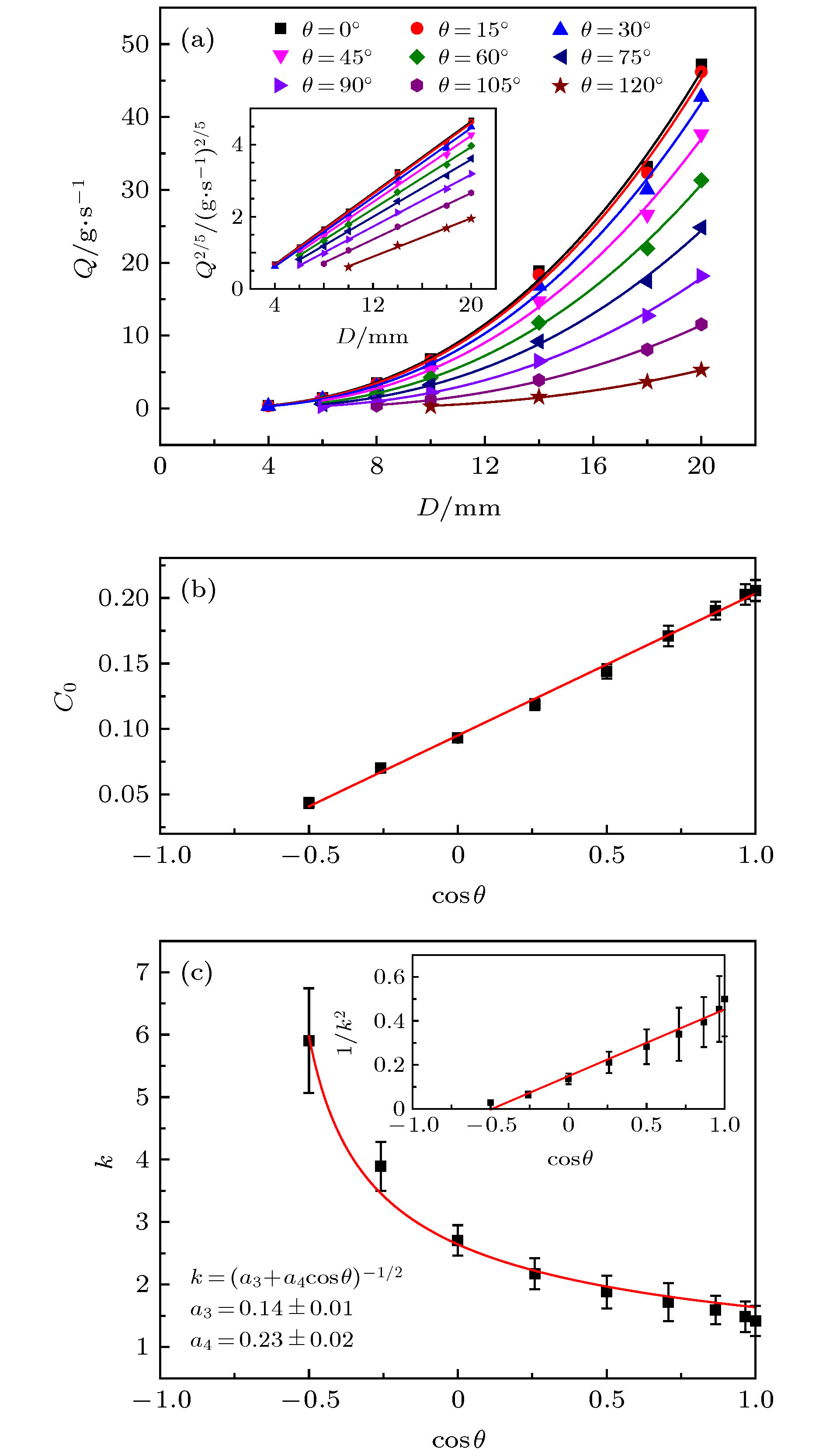
\begin{document}$\cos \theta $\end{document}, i.e. \begin{document}$\dfrac{Q}{{{Q_0}}} = 1 - \dfrac{{\cos \theta - 1}}{{\cos {\theta _{\rm c}} - 1}}$\end{document}, where Q0 is flow rate at \begin{document}$\theta ={0^ \circ }$\end{document}, and \begin{document}${\theta _{\rm c}}$\end{document} is the critical angle of flow ceasing obtained by linear extrapolation. Moreover, \begin{document}${\theta _{\rm c}}$\end{document} increased linearly with ratio between grain and orifice diameter d/D, and at the limit of d/D going to zero (that is, D going to infinity), the angle of repose of the sample \begin{document}${\theta _{\rm r}}~( = 180^ \circ - \theta _{\rm c\infty})$\end{document} was obtained. Since the flow of GOF is very stable, we believe that the linear extrapolation of the above-mentioned inclined GOF provides a novel method for accurately measuring the angle of repose of granular materials. This method has been proved to be effective in a wider orifice size range by another work [Acta Phys. Sin. 65 084502 (2016)]; and three angles, namely the repose angle measured by GOF, the free accumulation angle of a sandpile and the internal friction angle of the granular material measured by Coulomb yielding, are confirmed to be consistent. In this work, we extend this method to underwater, measuring the mass flow rate of a granular sample (glass beads) which completely immersed in water and driven by gravity, discharged from an inclined orifice for various inclination angles and orifice diameters. It is found that similar to the case in air, regardless of the orifice size, the flow rate increase linearly with the cosine of the inclination; the critical angle of flow ceasing increases linearly with ratio between grain and orifice diameter; at the limit of infinite orifice, this critical angle is consistent with the repose angle of the underwater sample within the experimental error range. In addition, all measurements can be well fitted by using the Beverloo formula \begin{document}$Q = {C_0}\rho {g^{1/2}}{(D - kd)^{5/2}}$\end{document}, where the parameters C0 and k are only related to the cosine of the inclination, and are linear and inversely squared, respectively. Compared with the results of GOF in air reported by previous work, it is found that the difference mainly comes from the influence of buoyancy and fluid drag forces on the parameter C0. These results show that both the method of measuring angle of repose with the inclined GOF and the Beverloo formula have certain universality. The behavior of GOF is qualitatively the same whether the interstitial fluid is water or air."> - 必威体育下载

Search

Article

x

留言板

姓名
邮箱
手机号码
标题
留言内容
验证码

downloadPDF
Citation:

Xie Wen-Tao, Li Ruo-Ru, Peng Zheng, Jiang Yi-Min
PDF
HTML
Get Citation
Metrics
  • Abstract views:7059
  • PDF Downloads:119
  • Cited By:0
Publishing process
  • Received Date:13 February 2020
  • Accepted Date:09 March 2020
  • Published Online:20 May 2020

    返回文章
    返回
      Baidu
      map