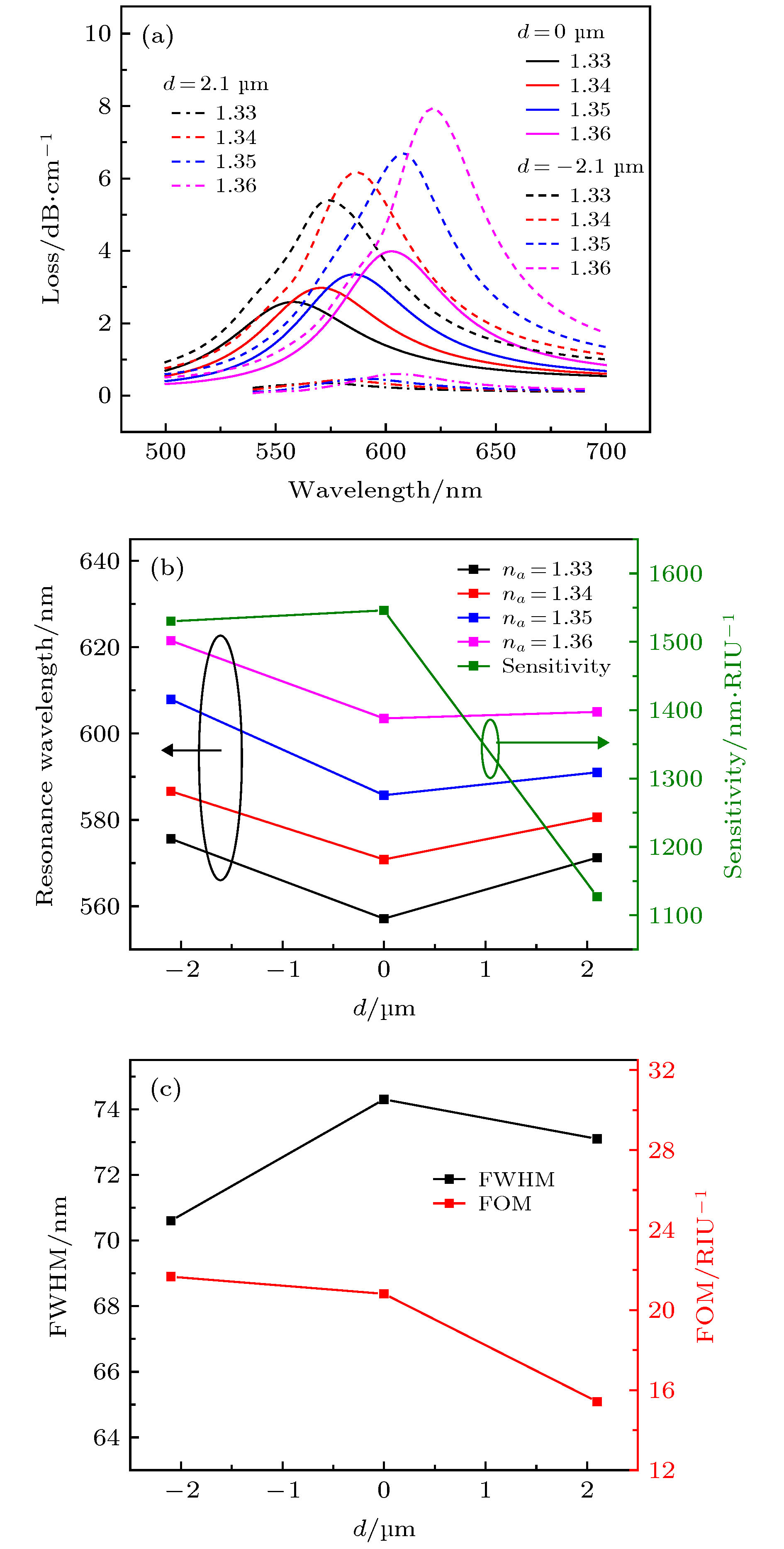
Based on the structural characteristics of the few-mode multicore fiber (FM-MCF), a multi-channel FM-MCF surface plasmon resonance (SPR) biosensor with open air-hole is presented. Due to the air-hole distribution of the FM-MCF, the six outer air-holes naturally become open air-holes, i.e. groove sensing channels, fabricated by chemical etching. Then, compared with D-shape structure, tapered structure of fiber and air-hole of photonic crystal fiber (PCF), the open groove structure is easy to accommodate the liquid analyte. In order to obtain better sensing performance, a sensing model of the presented FM-MCF SPR biosensor with sensitive dielectric layer is established and numerical simulations are performed using the finite element method. In the simulations, the effect of core-hole distance, coating thickness, sensing dielectrics, transmission modes in optical fiber on the sensing performance as well as the role of multi-channel are analyzed. The simulation results show that when the air-hole is tangent to the core (
d= 0 μm), the FM-MCF SPR biosensor has the better performance because the core-hole distance
ddetermines the leakage intensity of the evanescent wave. As the evanescent field excited by high-order mode (LP
11axmode) is stronger than that by fundamental mode (LP
01xmode), the performance of biosensors for SPR excitation by using high-order mode is better than by using fundamental mode. Meanwhile when the coating thickness of gold, silver and indium tin oxides (ITOs) is 40 nm, 30 nm and 100 nm respectively, the FWHM of loss spectrum reaches a minimum value, which means that the presented biosensor has the better performance in this sense. For the case of different sensing dielectrics, it is observed that the resonance wavelength of gold and silver film are in the visible wavelength range, while the ITO is at near-infrared wavelength. Then it is useful for our biosensor to simultaneously detect many liquid analytes in one SPR transmittance spectrum. In addition, the calculation results also show that when one of the groove channels is coated with 100 nm ITO for the LP
11axmode, the FM-MCF SPR biosensor has a highest sensitivity of 20824.66 nm/RIU and refractive index (RI) resolution is 4.8 × 10
–6RIU with the surrounding RI changing from 1.33 to 1.39, in which the RI of bovine serum albumin (BSA) solution, human Immunoglobulin G and C-reactive protein can be detected. Moreover, when the outer groove channels of our biosensor are coated with gold, silver and ITO film with different thickness, many biological liquid analytes can be detected separately or the same biological liquid analyte can be detected jointly, which reveals that the control flexibility of the groove sensing channel and the diversity of the detection analytes .