Turbulence model combined with machine learning is one of the research hotspots in fluid mechanics. The existing approaches reconstruct or modify the turbulence eddy viscosity or Reynolds stress based on the experimental/numerical data. In this paper, we reconstruct the mapping function between intermittency and the mean flow variables by deep neural network (ResNet), developing an quasi-algebraic transition model coupled with the Spallart-Allmaras (SA) model. We mainly concentrate on the natural transition flows and take the results calculated by the computational fluid dynamics solver with the SST-
γ-Reθmodel as the training data. Seventeen local mean flow quantities satisfying the Galilean invariants are selected as the input features. Five-time cross validation is performed to avoid overfitting. Combining with the high-precision weighted compact nonlinear format, S&K, T3a- transition plate and S809 airfoil are used to test the performance of the model. The results are compared with those from the SST-
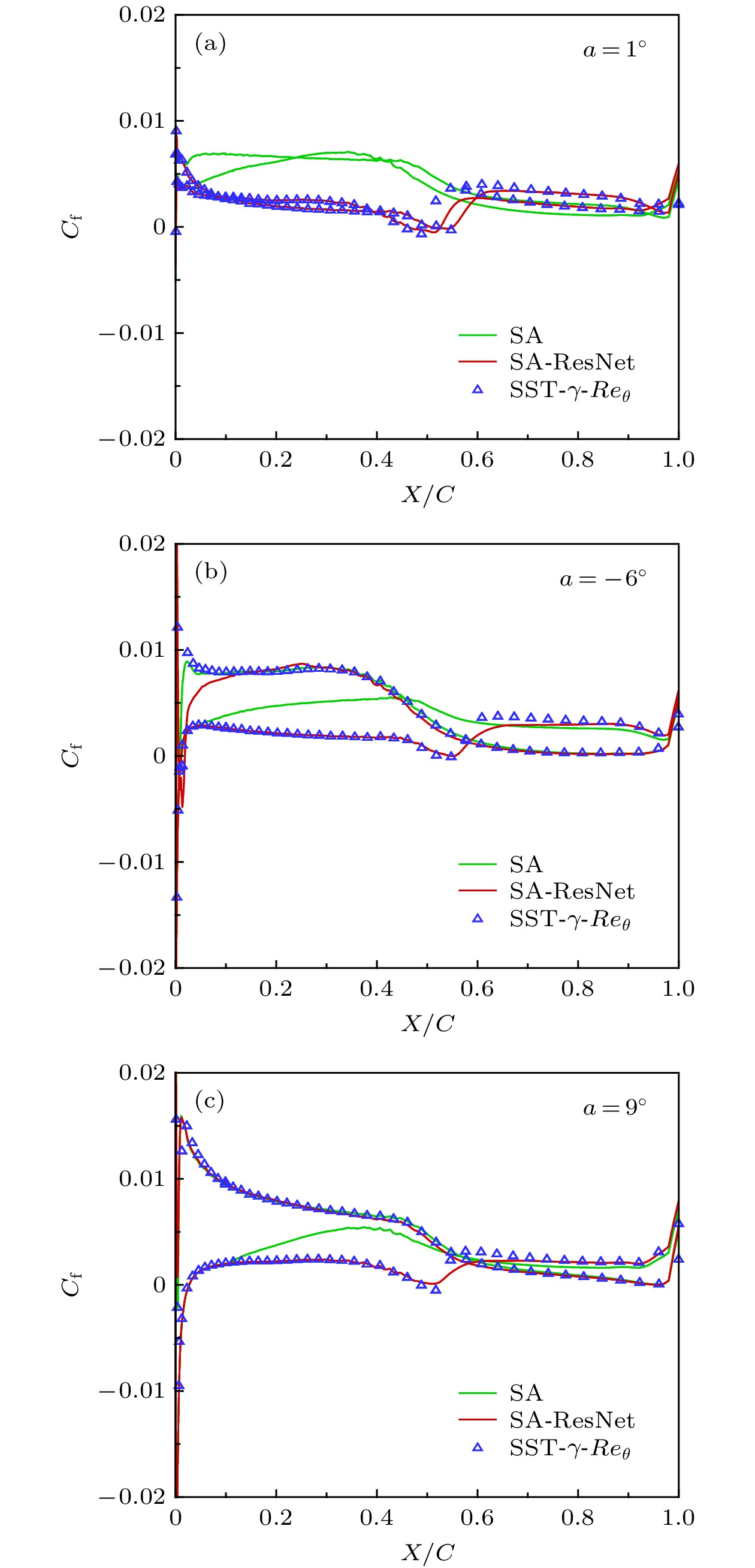
γ-Reθtransition model, showing that the pure data-driven ResNet model can predict the intermittent field accurately, which greatly improves the ability of SA model to simulate the natural transition flow. For the example of S&K and T3a- transition plate, the comparison of wall friction shows that the SA-ResNet model is in good agreement with the experimental result, but the BC model, which is also an algebraic model, predicts the transition position of the T3a- transition plate model prematurely. The training data do not contain any numerical solution about airfoil, but the model can still be applied to the case of S809 airfoil with different attack angles. The predicted results of lift resistance characteristics, frictional coefficient distribution and transition position are close to the results from the SST-
γ-Reθtransition model. On this basis, another advantage of the model is the solution efficiency. The efficiency is improved more significantly in the case with larger mesh quantity. With the same convergence accuracy, the CPU time required by the SA-ResNet model for the S&K plate case is 85.6% that of the SST-
γ-Reθtransition model, while the CPU time required by the S809 airfoil with a larger mesh volume is only 67.2% that of the later model. This study demonstrates the great potential of machine learning in the construction of transition models.