By means of state-of-the-art density functional theory (DFT) computations, We designed a new two-dimensional material TiO
2. We further investigated the stability, electronic structure, carrier mobility, and optical properties of monolayer TiO
2. Our results show that monolayer TiO
2has good kinetic, thermodynamic and mechanical stability and can exist stably at room temperature. The results were demonstrated using the binding energy, phonon spectrum, molecular dynamics simulation, and elastic constant calculation. The band structure indicates that the monolayer TiO
2is an indirect bandgap semiconductor with energy gaps of 1.19 eV (GGA+PBE) and 2.76 eV (HSE06), respectively. The results of state density show that the Ti-3d state electrons constitute the top of the valence band and Ti-4s state electrons constitute the bottom of the conduction band. The electron states of O atoms contribute very little near the Fermi energy level and are mainly distributed in the deep energy level. In addition, the carrier mobility of monolayer TiO
2is smaller than monolayer MoS
2, and the electron and hole mobility can reach 31.09 cm
2·V
–1·s
–1and 36.29 cm
2·V
–1·s
–1, respectively. Due to the anisotropy of hole mobility and electron mobility, the composite rate of electrons and holes is relatively low. This ensures longer service life and better photocatalytic activity of monolayer TiO
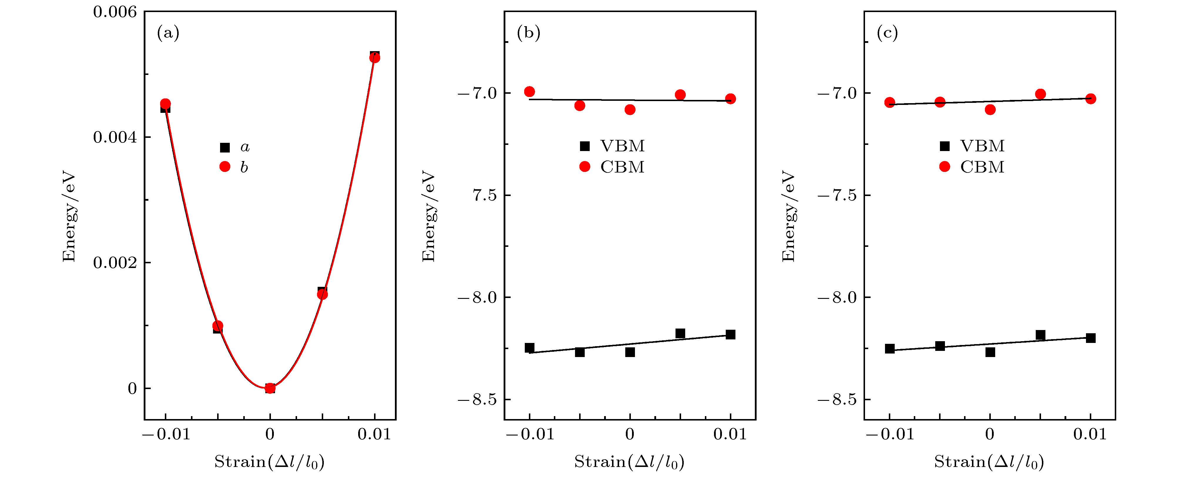
2. Furthermore, under the condition of uniaxial strain and biaxial strain, the energy gap of monolayer TiO
2has a clear response. The energy gap is more sensitive to biaxial strain than uniaxial strain, indicating that monolayer TiO
2can be applied to various semiconductor devices. The band-edge potential and optical properties of semiconductors indicate that two-dimensional TiO
2is capable of photo-splitting water production, H
2at –5~2% single/biaxial strain, and O
2, H
2O
2, O
3, etc. at –5~5% single/biaxial strain. Moreover, the monolayer TiO
2has a high absorption coefficient for visible and ultraviolet light. In conclusion, the monolayer TiO
2has a potential application prospect in the field of optoelectronic devices and photocatalytic materials in the future.