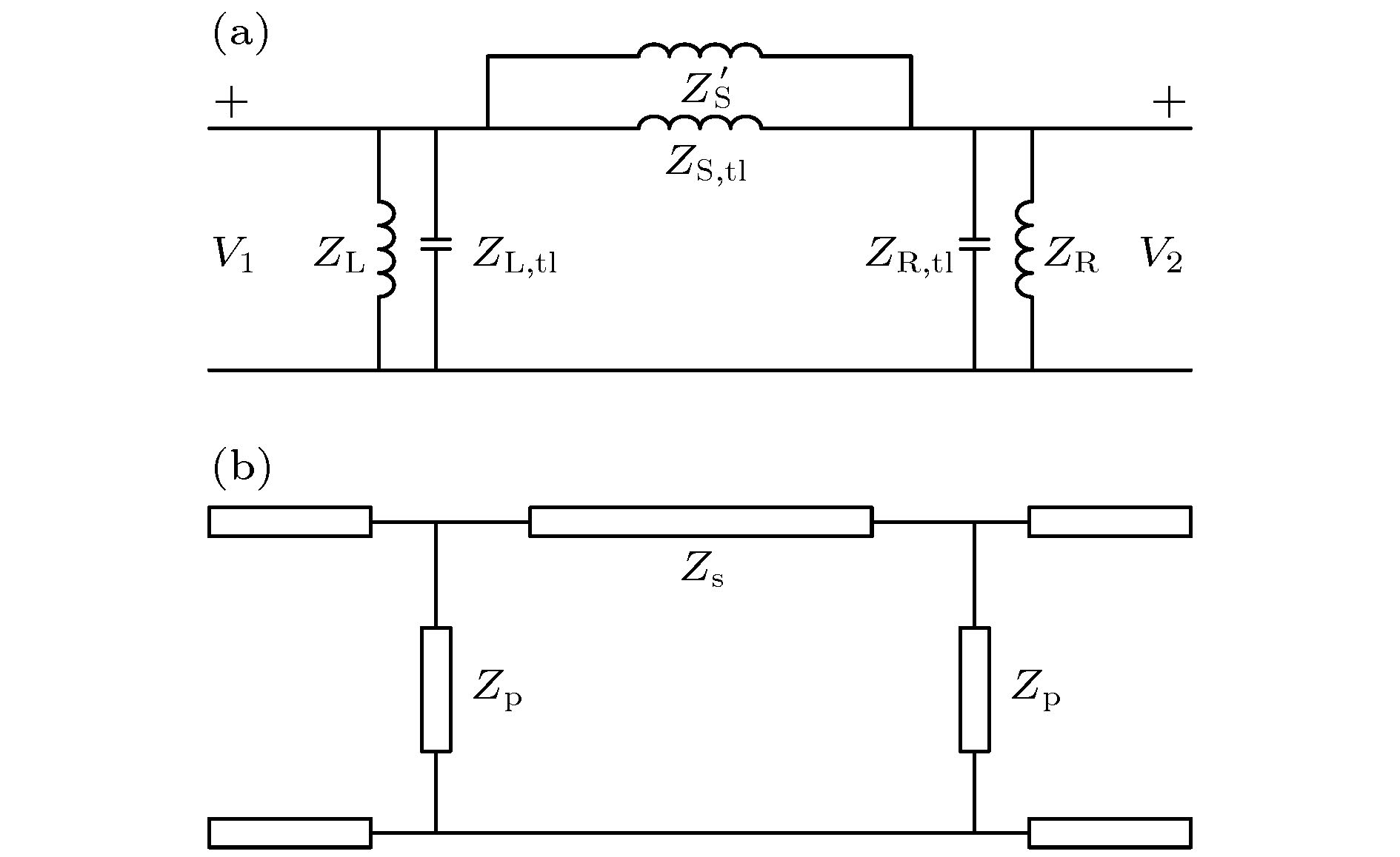
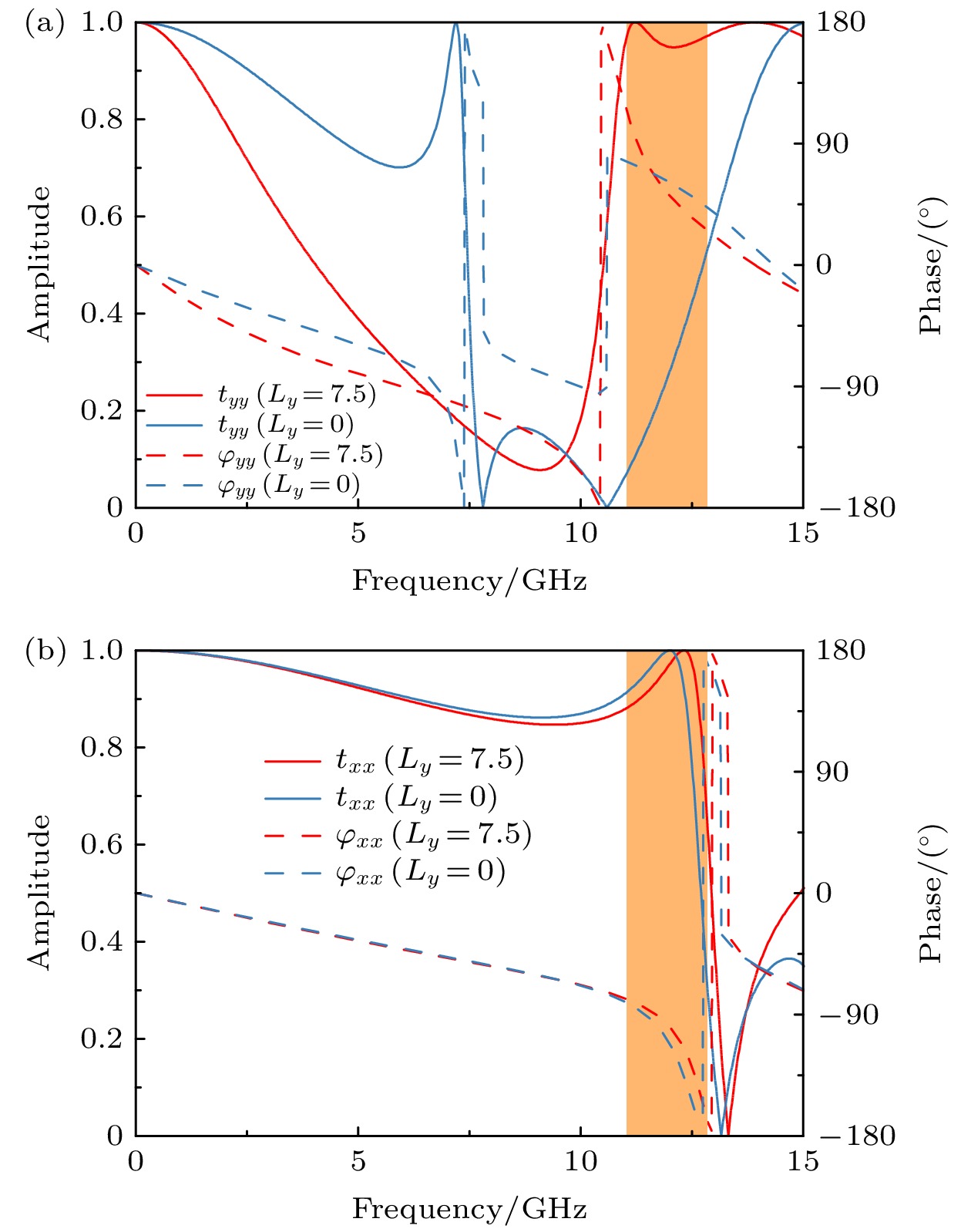
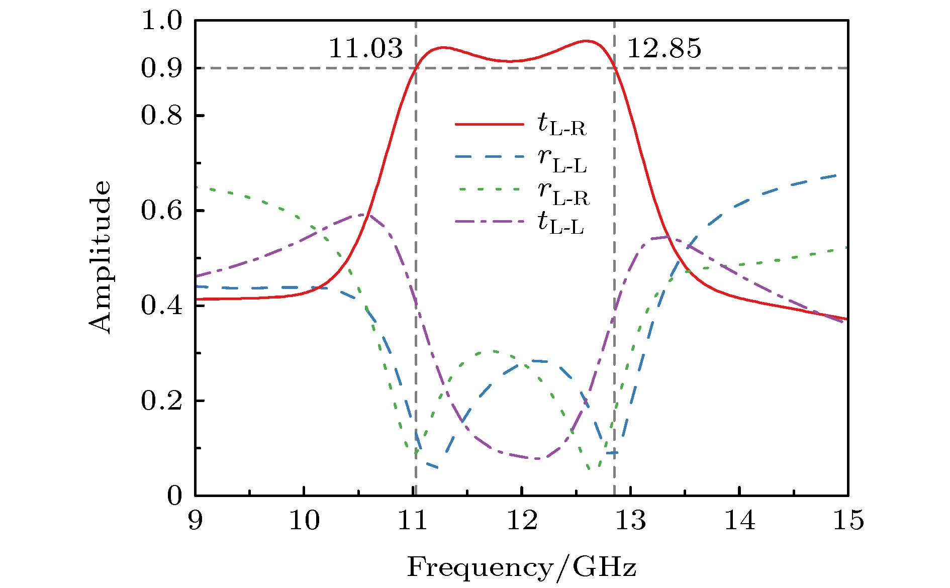
| [1] |
Jiang Zai-Chao, Gong Zheng, Zhong Yun-Xiang, Cui Bin, Zou Bin, Yang Yu-Ping.Encoding terahertz metasurface reflectors based on geometrical phase modulation. Acta Physica Sinica, 2023, 72(24): 248707.doi:10.7498/aps.72.20230989 |
| [2] |
Xu Meng-Min, Li Xiao-Qing, Tang Rong, Ji Xiao-Ling.Influence of wind-dominated thermal blooming on orbital angular momentum and phase singularity of dual-mode vortex beams. Acta Physica Sinica, 2023, 72(16): 164202.doi:10.7498/aps.72.20230684 |
| [3] |
Xie Zhi-Qiang, He Yan-Liang, Wang Pei-Pei, Su Ming-Yang, Chen Xue-Yu, Yang Bo, Liu Jun-Min, Zhou Xin-Xing, Li Ying, Chen Shu-Qing, Fan Dian-Yuan.Two-dimensional optical edge detection based on Pancharatnam-Berry phase metasurface. Acta Physica Sinica, 2020, 69(1): 014101.doi:10.7498/aps.69.20191181 |
| [4] |
Zhou Lu, Zhao Guo-Zhong, Li Xiao-Nan.Broadband terahertz vortex beam generation based on metasurface of double-split resonant rings. Acta Physica Sinica, 2019, 68(10): 108701.doi:10.7498/aps.68.20182147 |
| [5] |
Liu Jin-An, Tu Jia-Long, Lu Zhi-Li, Wu Bai-Wei, Hu Qi, Ma Hong-Hua, Chen Huan, Yi Xu-Nong.Manipulating longitudinal photonic spin Hall effect based on dynamic and Pancharatnam-Berry phase. Acta Physica Sinica, 2019, 68(6): 064201.doi:10.7498/aps.68.20182004 |
| [6] |
Wang Dong, Xu Jun, Chen Yi-Hang.Broadband absorption caused by coupling of epsilon-near-zero mode with plasmon mode. Acta Physica Sinica, 2018, 67(20): 207301.doi:10.7498/aps.67.20181106 |
| [7] |
Gao Qiang, Wang Xiao-Hua, Wang Bing-Zhong.Far-field super-resolution imaging based on wideband stereo-metalens. Acta Physica Sinica, 2018, 67(9): 094101.doi:10.7498/aps.67.20172608 |
| [8] |
Li Tang-Jing, Liang Jian-Gang, Li Hai-Peng, Niu Xue-Bin, Liu Ya-Qiao.Broadband circularly polarized high-gain antenna design based on linear-to-circular polarization conversion focusing metasurface. Acta Physica Sinica, 2017, 66(6): 064102.doi:10.7498/aps.66.064102 |
| [9] |
Ning Ren-Xia, Bao Jie, Jiao Zheng.Wide band electromagnetically induced transparency in graphene metasurface of composite structure. Acta Physica Sinica, 2017, 66(10): 100202.doi:10.7498/aps.66.100202 |
| [10] |
Chen Huan, Ling Xiao-Hui, He Wu-Guang, Li Qian-Guang, Yi Xu-Nong.Generation of Bessel beam by manipulating Pancharatnam-Berry phase. Acta Physica Sinica, 2017, 66(4): 044203.doi:10.7498/aps.66.044203 |
| [11] |
Han Jiang-Feng, Cao Xiang-Yu, Gao Jun, Li Si-Jia, Zhang Chen.Design of broadband reflective 90 polarization rotator based on metamaterial. Acta Physica Sinica, 2016, 65(4): 044201.doi:10.7498/aps.65.044201 |
| [12] |
Li Tang-Jing, Liang Jian-Gang, Li Hai-Peng.Broadband circularly polarized high-gain antenna design based on single-layer reflecting metasurface. Acta Physica Sinica, 2016, 65(10): 104101.doi:10.7498/aps.65.104101 |
| [13] |
Hou Hai-Sheng, Wang Guang-Ming, Li Hai-Peng, Cai Tong, Guo Wen-Long.Ultra-thin broadband flat metasurface to focus electromagnetic waves and its application in high-gain antenna. Acta Physica Sinica, 2016, 65(2): 027701.doi:10.7498/aps.65.027701 |
| [14] |
Guo Fei, Du Hong-Liang, Qu Shao-Bo, Xia Song, Xu Zhuo, Zhao Jian-Feng, Zhang Hong-Mei.Design and fabrication of a broadband metamaterial absorber based on a dielectric and magnetic hybrid substrate. Acta Physica Sinica, 2015, 64(7): 077801.doi:10.7498/aps.64.077801 |
| [15] |
Li Yong-Feng, Zhang Jie-Qiu, Qu Shao-Bo, Wang Jia-Fu, Wu Xiang, Xu Zhuo, Zhang An-Xue.Design and verification of a two-dimensional wide band phase-gradient metasurface. Acta Physica Sinica, 2015, 64(9): 094101.doi:10.7498/aps.64.094101 |
| [16] |
Yang Huan-Huan, Cao Xiang-Yu, Gao Jun, Liu Tao, Li Si-Jia, Zhao Yi, Yuan Zi-Dong, Zhang Hao.Broadband low-RCS metamaterial absorber based on electromagnetic resonance separation. Acta Physica Sinica, 2013, 62(21): 214101.doi:10.7498/aps.62.214101 |
| [17] |
Wang Ying, Cheng Yong-Zhi, Nie Yan, Gong Rong-Zhou.Design and experiments of low-frequency broadband metamaterial absorber based on lumped elements. Acta Physica Sinica, 2013, 62(7): 074101.doi:10.7498/aps.62.074101 |
| [18] |
Qi Xiao-Qing, Gao Chun-Qing.Experimental study of detecting orbital angular momentumstates of spiral phase beams. Acta Physica Sinica, 2011, 60(1): 014208.doi:10.7498/aps.60.014208 |
| [19] |
Chen Xiao-Yi, Li Hai-Xia, Song Hong-Sheng, Teng Shu-Yun, Cheng Chuan-Fu, Liu Man.Measurement of orbital angular momentum of Laguerre-Gaussian beam by using phase vortices of interference fields. Acta Physica Sinica, 2010, 59(12): 8490-8498.doi:10.7498/aps.59.8490 |
| [20] |
Zhang Qing-Bin, Lan Peng-Fei, Hong Wei-Yi, Liao Qing, Yang Zhen-Yu, Lu Pei-Xiang.The effect of controlling laser field on broadband suppercontinuum generation. Acta Physica Sinica, 2009, 58(7): 4908-4913.doi:10.7498/aps.58.4908 |